Dersler

Knowunity AI

Uygulamaya git

Dersler

2.339

26 Oca 2026

3 sayfa

Üslü Sayılar: Konu Anlatımı ve Örnek Sorular

user profile picture

Gizem Göksun

@gizemgksun

Üslü sayılar, denklemler ve eşitsizlikler konusunda pratik çözüm yöntemlerini öğrenmek... Daha fazla göster

Page 1
Page 2
Page 3
1 / 3
Saru Taktibi:
* a.xⁿ + bxⁿ-cxⁿ
xⁿ(a+b-c)
* Tabanı ve kuvveti aynı olan üslü sayının katsayıları toplanıp çıkarılır.
8.10¹²+9.10¹²-2-10¹² işl

Üslü Sayılarda Pratik Taktikler

Aynı tabanlı üslü ifadelerde işlem yaparken kullanabileceğin harika bir taktik var. Tabanı ve kuvveti aynı olan üslü sayılarda sadece katsayılarla işlem yapabilirsin. Örneğin, $8 \cdot 10^{12} + 9 \cdot 10^{12} - 2 \cdot 10^{12}is\clemini işlemini 10^{12}(8+9-2)$ şeklinde yazarak kolayca sonuca ulaşabilirsin.

Kesirli üslü ifadelerle uğraşırken, kesri sadeleştirerek tabanları eşit olan üslü denklem haline getirmek işini kolaylaştırır. (a0,01)x=(100)2x(a \cdot 0,01)^{-x} = (100)^{2-x} gibi bir eşitlikte, önce her iki tarafı aynı tabana dönüştürüp $10^{2x} = 10^{4-2x}$ üsleri eşitleyerek sonuca ulaşabilirsin.

Üstel denklemleri çözerken üssün tek mi çift mi olduğuna dikkat etmen gerekir. Üs tek sayı ise tabanlar doğrudan eşitlenir: (3x+1)17=(x)17    3x+1=x(3x+1)^{17} = (-x)^{17} \implies 3x+1 = -x. Üs çift sayı olduğunda ise tabanlar mutlak değerce eşittir: (7x+1)6=126    7x+1=1266=12(7x+1)^6 = 126 \implies |7x+1| = \sqrt[6]{126} = 12.

💡 Pratik İpucu: Üstel denklemlerde üssün tek veya çift olması, denklemi çözme şeklini tamamen değiştirir. Üs tekse tabanları eşitle, üs çiftse tabanların mutlak değerlerini eşitle ve iki farklı denklemi çöz.

Saru Taktibi:
* a.xⁿ + bxⁿ-cxⁿ
xⁿ(a+b-c)
* Tabanı ve kuvveti aynı olan üslü sayının katsayıları toplanıp çıkarılır.
8.10¹²+9.10¹²-2-10¹² işl

Denklem Çözme Stratejileri

Aynı değişkene sahip denklemlerle karşılaştığında, taraf tarafa işlem yaparak tek değişkene indirgemelisin. $3^x + y = 17ve ve 3^x - y = 7denklemlerindebutaktig˘ikullanarak denklemlerinde bu taktiği kullanarak 3^xve ve y$ değerlerini kolayca bulabilirsin.

Üslü sayılarda sıralama yaparken taban 1'den büyükse üssü büyük olan daha büyüktür. Örneğin, a=(33)4a=(3^3)^4, b=(32)7b = (3^{-2})^7, c=321c= 3^{21} olduğunda, önce hepsini aynı tabanda yazarsak a=312a=3^{12}, b=314b=3^{-14}, c=321c=3^{21} olur ve c>a>bc>a>b şeklinde sıralanır.

1'e eşit olan denklemlerde şu üç durumu incelemelisin: ya üs sıfırdır, ya taban 1'dir, ya da taban -1 ve üs çifttir. Örneğin, (2x3)x+7=1(2x-3)^{x+7}=1 denkleminde bu üç durumu tek tek kontrol ederek çözüme ulaşırsın.

⚠️ Dikkat: Üslü ifadelerde eşitsizlikleri çözerken tabanın 0-1 arasında olup olmadığına dikkat et! Eğer taban 0 ile 1 arasındaysa, eşitsizliğin yönü üs alınırken tersine döner.

Eşitsizliklerle çalışırken tabanın değeri çok önemlidir. Taban 1'den büyükse, eşitsizliğin yönü aynı kalır. $1 < 3^{5-x}es\citsizlig˘inde eşitsizliğinde x<5sonucunaulas\cılırve sonucuna ulaşılır ve x$ değerleri 1, 2, 3, 4 olabilir. Taban 0 ile 1 arasındaysa, negatif üs kullanarak tabanı 1'den büyük hale getirmeyi unutma!

Saru Taktibi:
* a.xⁿ + bxⁿ-cxⁿ
xⁿ(a+b-c)
* Tabanı ve kuvveti aynı olan üslü sayının katsayıları toplanıp çıkarılır.
8.10¹²+9.10¹²-2-10¹² işl

Özel Durumlar ve İleri Taktikler

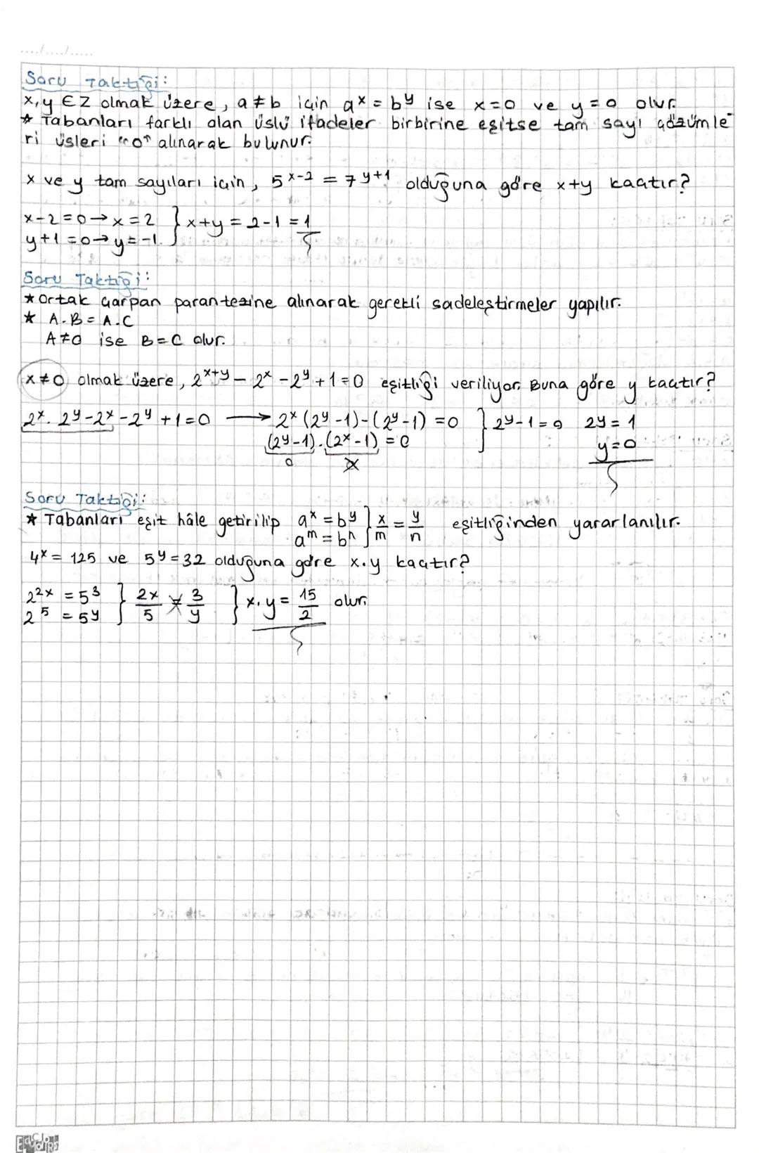
Farklı tabanlı üslü ifadelerin eşitliğinde güzel bir püf noktası vardır: x,yZx,y \in \mathbb{Z} olmak üzere, aba \neq b için ax=bya^x = b^y ise x=0x=0 ve y=0y=0 olur. Örneğin, $5^{x-2} = 7^{y+1}es\citlig˘indetamsayıc\co¨zu¨mleriic\cin eşitliğinde tam sayı çözümleri için x=2ve ve y=-1$ olmalı.

Ortak çarpanları parantezine alarak birçok üslü denklemi kolayca çözebilirsin. $2^{x+y}-2^x-2^y + 1 = 0gibibirdenklemdeortakifadeleribulup gibi bir denklemde ortak ifadeleri bulup 2^x2y12^y-1-2y12^y-1=0s\ceklindedu¨zenleyerek şeklinde düzenleyerek 2y12^y-12x12^x-1=0$ sonucuna ulaşabilirsin.

Farklı tabanlar içeren denklemlerde, tabanları eşit hale getirip üsler arasındaki ilişkiyi bulmak çok işe yarar. $4^x = 125ve ve 5^y=32gibibirsoruda,herikitarafıdaaynıtabanac\cevirip gibi bir soruda, her iki tarafı da aynı tabana çevirip 2^{2x} = 5^3ve ve 5^y = 2^5yazarak yazarak \frac{2x}{5} = \frac{3}{y}$ bağıntısını elde edebilirsin.

💡 İpucu: Üslü sayı sorularında kağıda yazdığın her adımda tabanların ve üslerin ne olduğuna dikkat et. Bir sonraki adımda yapacağın işlemi belirlerken, denklemin türüne göre stratejiyi belirle.



Hiç sormayacaksın sanmıştık...

Knowunity yapay zeka arkadaşı nedir?

Yapay zeka arkadaşımız öğrencilerin ihtiyaçlarına göre özel olarak tasarlanmıştır. Platformda bulunan milyonlarca içeriğe dayanarak öğrencilere gerçekten anlamlı ve ilgili yanıtlar verebiliyoruz. Ancak mesele sadece cevaplar değil, refakatçi aynı zamanda kişiselleştirilmiş öğrenme planları, sınavlar veya sohbet içerikleri ve öğrencilerin becerilerine ve gelişimlerine dayalı %100 kişiselleştirme ile öğrencilere günlük öğrenme zorluklarında rehberlik ediyor.

Knowunity uygulamasını nereden indirebilirim?

Uygulamayı Google Play Store ve Apple App Store'dan indirebilirsiniz.

Knowunity ücretsiz mi?

Knowunity uygulaması ücretsiz! Uygulamamız çok yakında indirmeye hazır olacak, bekle bizi. 💙

En popüler içerikler: Solving Exponential Expressions

Aradığını bulamıyor musun? Diğer derslere göz at.

Kullanıcılarımızdan yorumlar. Onlar her şeyi çok beğendi — sen de beğeneceksin.

4.6/5

App Store

4.7/5

Google Play

Uygulama çok kolay kullanılıyor ve güzel tasarlanmış. Şu ana kadar aradığım her şeyi buldum ve sunumlardan çok şey öğrendim! Kesinlikle ödevlerim için hep kullanacağım!

A.S.

iOS kullanıcısı

Uygulama çok iyi. Çok fazla ders notu ve yardımlaşma var. Örneğin benim problem yaşadığım bir ders Geometriydi ve ANINDA yardım ettiler beraber hem sorularımı çözdük hem konu anlatımı buldum. Herkese tavsiye ederim.

S.L.

Android kullanıcısı

BEN ŞOK. Reklamını sık sık gördüğüm için uygulamayı denedim ve gerçekten hayran kaldım. Bu uygulama okul için tam ihtiyacım olan şey. Anında ödev yardımı, konu anlatımı, örnek sınavlar, flaşkartlar hepsi hepsi var, şiddetle tavsiye ederim ✅

A.

iOS kullanıcısı

Knowunity'yi keşfedinceye kadar ödevlerimi zamanında tamamlamakta zorlanıyordum, Knowunity sadece kendi ders notlarımı yüklemeyi kolaylaştırmakla kalmıyor, aynı zamanda çalışmamı daha hızlı ve verimli hale getiren harika özetler de sunuyor.

Thomas R

iOS kullanıcısı

Ödevlerim için önemli bilgilerin tümünü bulmak her zaman bir zorluktu - Knowunity'yi kullanmaya başladığımdan beri, ders notlarımı kolayca yükleyebilir ve başkalarının özetlerinden faydalanabilirim, bu da organizasyon konusunda bana çok yardımcı oluyor.

Lisa M

Android kullanıcısı

Ders çalışırken genellikle yeterince genel bakışa sahip olmadığımı hissederdim, ama Knowunity'yi kullanmaya başladığımdan beri bu artık sorun değil - ders notlarımı yüklüyorum ve platformda her zaman yardımcı özetler buluyorum, bu da öğrenmemi çok daha kolaylaştırıyor.

David K

iOS kullanıcısı

Uygulama acayip iyi! Konuyu yazıyorum hemen yanıt alıyorum. Bi şeyi anlamak için 10 tane youtube videosu izlemem gerekmiyor. Kesssinlikle tavsiye ederim!

Sudenaz Ocak

Android kullanıcısı

Matematikte baya kötüydüm ama bu uygulama sayesinde şimdi daha iyiyim. Uygulamayı yapanlara için çok teşekkürler!

G.B.

Android kullanıcısı

Sunumlarım için tüm bilgileri toplamak gerçekten zordu. Ama Knowunity'yi kullanmaya başladığımdan beri, notlarımı yüklüyorum ve başkalarından harika özetler buluyorum - bu da çalışmamı çok daha verimli hale getiriyor!

Julia S

Android kullanıcısı

Tüm çalışma materyalleriyle sürekli stres altındaydım, ama Knowunity'yi kullanmaya başladığımdan beri, notlarımı yüklüyor ve başkalarının harika özetlerine bakıyorum - her şeyi daha iyi yönetmemi sağlıyor ve çok daha az stresli.

Marco B

iOS kullanıcısı

QUİZLER VE FLASHCARDLAR ÇOK FAYDALI VE Knowunity AI'I ÇOK SEVİYORUM. AYRICA TAM OLARAK CHATGPT GİBİ AMA DAHA AKILLI!! RİMEL SORUNLARIMDA DA YARDIM ETTİ!! GERÇEK DERSLERİMDE DE TABII Kİ! DUHHH 😍😁😲🤑💗✨🎀😮

Sarah L

Android kullanıcısı

Eskiden okul materyallerini Google'da aramakla saatler harcardım, ama şimdi sadece notlarımı Knowunity'ye yüklüyorum ve başkalarının faydalı özetlerine bakıyorum - sınavlara hazırlanırken kendimi çok daha güvende hissediyorum.

Paul T

iOS kullanıcısı

Uygulama çok kolay kullanılıyor ve güzel tasarlanmış. Şu ana kadar aradığım her şeyi buldum ve sunumlardan çok şey öğrendim! Kesinlikle ödevlerim için hep kullanacağım!

A.S.

iOS kullanıcısı

Uygulama çok iyi. Çok fazla ders notu ve yardımlaşma var. Örneğin benim problem yaşadığım bir ders Geometriydi ve ANINDA yardım ettiler beraber hem sorularımı çözdük hem konu anlatımı buldum. Herkese tavsiye ederim.

S.L.

Android kullanıcısı

BEN ŞOK. Reklamını sık sık gördüğüm için uygulamayı denedim ve gerçekten hayran kaldım. Bu uygulama okul için tam ihtiyacım olan şey. Anında ödev yardımı, konu anlatımı, örnek sınavlar, flaşkartlar hepsi hepsi var, şiddetle tavsiye ederim ✅

A.

iOS kullanıcısı

Knowunity'yi keşfedinceye kadar ödevlerimi zamanında tamamlamakta zorlanıyordum, Knowunity sadece kendi ders notlarımı yüklemeyi kolaylaştırmakla kalmıyor, aynı zamanda çalışmamı daha hızlı ve verimli hale getiren harika özetler de sunuyor.

Thomas R

iOS kullanıcısı

Ödevlerim için önemli bilgilerin tümünü bulmak her zaman bir zorluktu - Knowunity'yi kullanmaya başladığımdan beri, ders notlarımı kolayca yükleyebilir ve başkalarının özetlerinden faydalanabilirim, bu da organizasyon konusunda bana çok yardımcı oluyor.

Lisa M

Android kullanıcısı

Ders çalışırken genellikle yeterince genel bakışa sahip olmadığımı hissederdim, ama Knowunity'yi kullanmaya başladığımdan beri bu artık sorun değil - ders notlarımı yüklüyorum ve platformda her zaman yardımcı özetler buluyorum, bu da öğrenmemi çok daha kolaylaştırıyor.

David K

iOS kullanıcısı

Uygulama acayip iyi! Konuyu yazıyorum hemen yanıt alıyorum. Bi şeyi anlamak için 10 tane youtube videosu izlemem gerekmiyor. Kesssinlikle tavsiye ederim!

Sudenaz Ocak

Android kullanıcısı

Matematikte baya kötüydüm ama bu uygulama sayesinde şimdi daha iyiyim. Uygulamayı yapanlara için çok teşekkürler!

G.B.

Android kullanıcısı

Sunumlarım için tüm bilgileri toplamak gerçekten zordu. Ama Knowunity'yi kullanmaya başladığımdan beri, notlarımı yüklüyorum ve başkalarından harika özetler buluyorum - bu da çalışmamı çok daha verimli hale getiriyor!

Julia S

Android kullanıcısı

Tüm çalışma materyalleriyle sürekli stres altındaydım, ama Knowunity'yi kullanmaya başladığımdan beri, notlarımı yüklüyor ve başkalarının harika özetlerine bakıyorum - her şeyi daha iyi yönetmemi sağlıyor ve çok daha az stresli.

Marco B

iOS kullanıcısı

QUİZLER VE FLASHCARDLAR ÇOK FAYDALI VE Knowunity AI'I ÇOK SEVİYORUM. AYRICA TAM OLARAK CHATGPT GİBİ AMA DAHA AKILLI!! RİMEL SORUNLARIMDA DA YARDIM ETTİ!! GERÇEK DERSLERİMDE DE TABII Kİ! DUHHH 😍😁😲🤑💗✨🎀😮

Sarah L

Android kullanıcısı

Eskiden okul materyallerini Google'da aramakla saatler harcardım, ama şimdi sadece notlarımı Knowunity'ye yüklüyorum ve başkalarının faydalı özetlerine bakıyorum - sınavlara hazırlanırken kendimi çok daha güvende hissediyorum.

Paul T

iOS kullanıcısı

 

Matematik

2.339

26 Oca 2026

3 sayfa

Üslü Sayılar: Konu Anlatımı ve Örnek Sorular

user profile picture

Gizem Göksun

@gizemgksun

Üslü sayılar, denklemler ve eşitsizlikler konusunda pratik çözüm yöntemlerini öğrenmek matematik derslerinde başarılı olmanın anahtarıdır. Bu notlar, üslü ifadelerde kullanabileceğin taktikleri ve püf noktalarını içeriyor.

Saru Taktibi:
* a.xⁿ + bxⁿ-cxⁿ
xⁿ(a+b-c)
* Tabanı ve kuvveti aynı olan üslü sayının katsayıları toplanıp çıkarılır.
8.10¹²+9.10¹²-2-10¹² işl

Ders notlarını görmek için kaydolÜcretsiz!

Tüm belgeleri görebilirsin

Notlarını Yükselt

Milyonlarca öğrenciye katıl

Kaydolduğunda Hizmet Şartları ve Gizlilik Politikasını kabul etmiş olursun

Üslü Sayılarda Pratik Taktikler

Aynı tabanlı üslü ifadelerde işlem yaparken kullanabileceğin harika bir taktik var. Tabanı ve kuvveti aynı olan üslü sayılarda sadece katsayılarla işlem yapabilirsin. Örneğin, $8 \cdot 10^{12} + 9 \cdot 10^{12} - 2 \cdot 10^{12}is\clemini işlemini 10^{12}(8+9-2)$ şeklinde yazarak kolayca sonuca ulaşabilirsin.

Kesirli üslü ifadelerle uğraşırken, kesri sadeleştirerek tabanları eşit olan üslü denklem haline getirmek işini kolaylaştırır. (a0,01)x=(100)2x(a \cdot 0,01)^{-x} = (100)^{2-x} gibi bir eşitlikte, önce her iki tarafı aynı tabana dönüştürüp $10^{2x} = 10^{4-2x}$ üsleri eşitleyerek sonuca ulaşabilirsin.

Üstel denklemleri çözerken üssün tek mi çift mi olduğuna dikkat etmen gerekir. Üs tek sayı ise tabanlar doğrudan eşitlenir: (3x+1)17=(x)17    3x+1=x(3x+1)^{17} = (-x)^{17} \implies 3x+1 = -x. Üs çift sayı olduğunda ise tabanlar mutlak değerce eşittir: (7x+1)6=126    7x+1=1266=12(7x+1)^6 = 126 \implies |7x+1| = \sqrt[6]{126} = 12.

💡 Pratik İpucu: Üstel denklemlerde üssün tek veya çift olması, denklemi çözme şeklini tamamen değiştirir. Üs tekse tabanları eşitle, üs çiftse tabanların mutlak değerlerini eşitle ve iki farklı denklemi çöz.

Saru Taktibi:
* a.xⁿ + bxⁿ-cxⁿ
xⁿ(a+b-c)
* Tabanı ve kuvveti aynı olan üslü sayının katsayıları toplanıp çıkarılır.
8.10¹²+9.10¹²-2-10¹² işl

Ders notlarını görmek için kaydolÜcretsiz!

Tüm belgeleri görebilirsin

Notlarını Yükselt

Milyonlarca öğrenciye katıl

Kaydolduğunda Hizmet Şartları ve Gizlilik Politikasını kabul etmiş olursun

Denklem Çözme Stratejileri

Aynı değişkene sahip denklemlerle karşılaştığında, taraf tarafa işlem yaparak tek değişkene indirgemelisin. $3^x + y = 17ve ve 3^x - y = 7denklemlerindebutaktig˘ikullanarak denklemlerinde bu taktiği kullanarak 3^xve ve y$ değerlerini kolayca bulabilirsin.

Üslü sayılarda sıralama yaparken taban 1'den büyükse üssü büyük olan daha büyüktür. Örneğin, a=(33)4a=(3^3)^4, b=(32)7b = (3^{-2})^7, c=321c= 3^{21} olduğunda, önce hepsini aynı tabanda yazarsak a=312a=3^{12}, b=314b=3^{-14}, c=321c=3^{21} olur ve c>a>bc>a>b şeklinde sıralanır.

1'e eşit olan denklemlerde şu üç durumu incelemelisin: ya üs sıfırdır, ya taban 1'dir, ya da taban -1 ve üs çifttir. Örneğin, (2x3)x+7=1(2x-3)^{x+7}=1 denkleminde bu üç durumu tek tek kontrol ederek çözüme ulaşırsın.

⚠️ Dikkat: Üslü ifadelerde eşitsizlikleri çözerken tabanın 0-1 arasında olup olmadığına dikkat et! Eğer taban 0 ile 1 arasındaysa, eşitsizliğin yönü üs alınırken tersine döner.

Eşitsizliklerle çalışırken tabanın değeri çok önemlidir. Taban 1'den büyükse, eşitsizliğin yönü aynı kalır. $1 < 3^{5-x}es\citsizlig˘inde eşitsizliğinde x<5sonucunaulas\cılırve sonucuna ulaşılır ve x$ değerleri 1, 2, 3, 4 olabilir. Taban 0 ile 1 arasındaysa, negatif üs kullanarak tabanı 1'den büyük hale getirmeyi unutma!

Saru Taktibi:
* a.xⁿ + bxⁿ-cxⁿ
xⁿ(a+b-c)
* Tabanı ve kuvveti aynı olan üslü sayının katsayıları toplanıp çıkarılır.
8.10¹²+9.10¹²-2-10¹² işl

Ders notlarını görmek için kaydolÜcretsiz!

Tüm belgeleri görebilirsin

Notlarını Yükselt

Milyonlarca öğrenciye katıl

Kaydolduğunda Hizmet Şartları ve Gizlilik Politikasını kabul etmiş olursun

Özel Durumlar ve İleri Taktikler

Farklı tabanlı üslü ifadelerin eşitliğinde güzel bir püf noktası vardır: x,yZx,y \in \mathbb{Z} olmak üzere, aba \neq b için ax=bya^x = b^y ise x=0x=0 ve y=0y=0 olur. Örneğin, $5^{x-2} = 7^{y+1}es\citlig˘indetamsayıc\co¨zu¨mleriic\cin eşitliğinde tam sayı çözümleri için x=2ve ve y=-1$ olmalı.

Ortak çarpanları parantezine alarak birçok üslü denklemi kolayca çözebilirsin. $2^{x+y}-2^x-2^y + 1 = 0gibibirdenklemdeortakifadeleribulup gibi bir denklemde ortak ifadeleri bulup 2^x2y12^y-1-2y12^y-1=0s\ceklindedu¨zenleyerek şeklinde düzenleyerek 2y12^y-12x12^x-1=0$ sonucuna ulaşabilirsin.

Farklı tabanlar içeren denklemlerde, tabanları eşit hale getirip üsler arasındaki ilişkiyi bulmak çok işe yarar. $4^x = 125ve ve 5^y=32gibibirsoruda,herikitarafıdaaynıtabanac\cevirip gibi bir soruda, her iki tarafı da aynı tabana çevirip 2^{2x} = 5^3ve ve 5^y = 2^5yazarak yazarak \frac{2x}{5} = \frac{3}{y}$ bağıntısını elde edebilirsin.

💡 İpucu: Üslü sayı sorularında kağıda yazdığın her adımda tabanların ve üslerin ne olduğuna dikkat et. Bir sonraki adımda yapacağın işlemi belirlerken, denklemin türüne göre stratejiyi belirle.

Hiç sormayacaksın sanmıştık...

Knowunity yapay zeka arkadaşı nedir?

Yapay zeka arkadaşımız öğrencilerin ihtiyaçlarına göre özel olarak tasarlanmıştır. Platformda bulunan milyonlarca içeriğe dayanarak öğrencilere gerçekten anlamlı ve ilgili yanıtlar verebiliyoruz. Ancak mesele sadece cevaplar değil, refakatçi aynı zamanda kişiselleştirilmiş öğrenme planları, sınavlar veya sohbet içerikleri ve öğrencilerin becerilerine ve gelişimlerine dayalı %100 kişiselleştirme ile öğrencilere günlük öğrenme zorluklarında rehberlik ediyor.

Knowunity uygulamasını nereden indirebilirim?

Uygulamayı Google Play Store ve Apple App Store'dan indirebilirsiniz.

Knowunity ücretsiz mi?

Knowunity uygulaması ücretsiz! Uygulamamız çok yakında indirmeye hazır olacak, bekle bizi. 💙

18

Akıllı Araçlar YENİ

Bu notu şunlara dönüştür: ✓ 50+ Alıştırma Sorusu ✓ Etkileşimli Flash Kartları ✓ Tam Deneme Sınavı ✓ Kompozisyon Taslakları

Deneme Sınavı
Quiz
Flashcard
Kompozisyon

En popüler içerikler: Solving Exponential Expressions

Aradığını bulamıyor musun? Diğer derslere göz at.

Kullanıcılarımızdan yorumlar. Onlar her şeyi çok beğendi — sen de beğeneceksin.

4.6/5

App Store

4.7/5

Google Play

Uygulama çok kolay kullanılıyor ve güzel tasarlanmış. Şu ana kadar aradığım her şeyi buldum ve sunumlardan çok şey öğrendim! Kesinlikle ödevlerim için hep kullanacağım!

A.S.

iOS kullanıcısı

Uygulama çok iyi. Çok fazla ders notu ve yardımlaşma var. Örneğin benim problem yaşadığım bir ders Geometriydi ve ANINDA yardım ettiler beraber hem sorularımı çözdük hem konu anlatımı buldum. Herkese tavsiye ederim.

S.L.

Android kullanıcısı

BEN ŞOK. Reklamını sık sık gördüğüm için uygulamayı denedim ve gerçekten hayran kaldım. Bu uygulama okul için tam ihtiyacım olan şey. Anında ödev yardımı, konu anlatımı, örnek sınavlar, flaşkartlar hepsi hepsi var, şiddetle tavsiye ederim ✅

A.

iOS kullanıcısı

Knowunity'yi keşfedinceye kadar ödevlerimi zamanında tamamlamakta zorlanıyordum, Knowunity sadece kendi ders notlarımı yüklemeyi kolaylaştırmakla kalmıyor, aynı zamanda çalışmamı daha hızlı ve verimli hale getiren harika özetler de sunuyor.

Thomas R

iOS kullanıcısı

Ödevlerim için önemli bilgilerin tümünü bulmak her zaman bir zorluktu - Knowunity'yi kullanmaya başladığımdan beri, ders notlarımı kolayca yükleyebilir ve başkalarının özetlerinden faydalanabilirim, bu da organizasyon konusunda bana çok yardımcı oluyor.

Lisa M

Android kullanıcısı

Ders çalışırken genellikle yeterince genel bakışa sahip olmadığımı hissederdim, ama Knowunity'yi kullanmaya başladığımdan beri bu artık sorun değil - ders notlarımı yüklüyorum ve platformda her zaman yardımcı özetler buluyorum, bu da öğrenmemi çok daha kolaylaştırıyor.

David K

iOS kullanıcısı

Uygulama acayip iyi! Konuyu yazıyorum hemen yanıt alıyorum. Bi şeyi anlamak için 10 tane youtube videosu izlemem gerekmiyor. Kesssinlikle tavsiye ederim!

Sudenaz Ocak

Android kullanıcısı

Matematikte baya kötüydüm ama bu uygulama sayesinde şimdi daha iyiyim. Uygulamayı yapanlara için çok teşekkürler!

G.B.

Android kullanıcısı

Sunumlarım için tüm bilgileri toplamak gerçekten zordu. Ama Knowunity'yi kullanmaya başladığımdan beri, notlarımı yüklüyorum ve başkalarından harika özetler buluyorum - bu da çalışmamı çok daha verimli hale getiriyor!

Julia S

Android kullanıcısı

Tüm çalışma materyalleriyle sürekli stres altındaydım, ama Knowunity'yi kullanmaya başladığımdan beri, notlarımı yüklüyor ve başkalarının harika özetlerine bakıyorum - her şeyi daha iyi yönetmemi sağlıyor ve çok daha az stresli.

Marco B

iOS kullanıcısı

QUİZLER VE FLASHCARDLAR ÇOK FAYDALI VE Knowunity AI'I ÇOK SEVİYORUM. AYRICA TAM OLARAK CHATGPT GİBİ AMA DAHA AKILLI!! RİMEL SORUNLARIMDA DA YARDIM ETTİ!! GERÇEK DERSLERİMDE DE TABII Kİ! DUHHH 😍😁😲🤑💗✨🎀😮

Sarah L

Android kullanıcısı

Eskiden okul materyallerini Google'da aramakla saatler harcardım, ama şimdi sadece notlarımı Knowunity'ye yüklüyorum ve başkalarının faydalı özetlerine bakıyorum - sınavlara hazırlanırken kendimi çok daha güvende hissediyorum.

Paul T

iOS kullanıcısı

Uygulama çok kolay kullanılıyor ve güzel tasarlanmış. Şu ana kadar aradığım her şeyi buldum ve sunumlardan çok şey öğrendim! Kesinlikle ödevlerim için hep kullanacağım!

A.S.

iOS kullanıcısı

Uygulama çok iyi. Çok fazla ders notu ve yardımlaşma var. Örneğin benim problem yaşadığım bir ders Geometriydi ve ANINDA yardım ettiler beraber hem sorularımı çözdük hem konu anlatımı buldum. Herkese tavsiye ederim.

S.L.

Android kullanıcısı

BEN ŞOK. Reklamını sık sık gördüğüm için uygulamayı denedim ve gerçekten hayran kaldım. Bu uygulama okul için tam ihtiyacım olan şey. Anında ödev yardımı, konu anlatımı, örnek sınavlar, flaşkartlar hepsi hepsi var, şiddetle tavsiye ederim ✅

A.

iOS kullanıcısı

Knowunity'yi keşfedinceye kadar ödevlerimi zamanında tamamlamakta zorlanıyordum, Knowunity sadece kendi ders notlarımı yüklemeyi kolaylaştırmakla kalmıyor, aynı zamanda çalışmamı daha hızlı ve verimli hale getiren harika özetler de sunuyor.

Thomas R

iOS kullanıcısı

Ödevlerim için önemli bilgilerin tümünü bulmak her zaman bir zorluktu - Knowunity'yi kullanmaya başladığımdan beri, ders notlarımı kolayca yükleyebilir ve başkalarının özetlerinden faydalanabilirim, bu da organizasyon konusunda bana çok yardımcı oluyor.

Lisa M

Android kullanıcısı

Ders çalışırken genellikle yeterince genel bakışa sahip olmadığımı hissederdim, ama Knowunity'yi kullanmaya başladığımdan beri bu artık sorun değil - ders notlarımı yüklüyorum ve platformda her zaman yardımcı özetler buluyorum, bu da öğrenmemi çok daha kolaylaştırıyor.

David K

iOS kullanıcısı

Uygulama acayip iyi! Konuyu yazıyorum hemen yanıt alıyorum. Bi şeyi anlamak için 10 tane youtube videosu izlemem gerekmiyor. Kesssinlikle tavsiye ederim!

Sudenaz Ocak

Android kullanıcısı

Matematikte baya kötüydüm ama bu uygulama sayesinde şimdi daha iyiyim. Uygulamayı yapanlara için çok teşekkürler!

G.B.

Android kullanıcısı

Sunumlarım için tüm bilgileri toplamak gerçekten zordu. Ama Knowunity'yi kullanmaya başladığımdan beri, notlarımı yüklüyorum ve başkalarından harika özetler buluyorum - bu da çalışmamı çok daha verimli hale getiriyor!

Julia S

Android kullanıcısı

Tüm çalışma materyalleriyle sürekli stres altındaydım, ama Knowunity'yi kullanmaya başladığımdan beri, notlarımı yüklüyor ve başkalarının harika özetlerine bakıyorum - her şeyi daha iyi yönetmemi sağlıyor ve çok daha az stresli.

Marco B

iOS kullanıcısı

QUİZLER VE FLASHCARDLAR ÇOK FAYDALI VE Knowunity AI'I ÇOK SEVİYORUM. AYRICA TAM OLARAK CHATGPT GİBİ AMA DAHA AKILLI!! RİMEL SORUNLARIMDA DA YARDIM ETTİ!! GERÇEK DERSLERİMDE DE TABII Kİ! DUHHH 😍😁😲🤑💗✨🎀😮

Sarah L

Android kullanıcısı

Eskiden okul materyallerini Google'da aramakla saatler harcardım, ama şimdi sadece notlarımı Knowunity'ye yüklüyorum ve başkalarının faydalı özetlerine bakıyorum - sınavlara hazırlanırken kendimi çok daha güvende hissediyorum.

Paul T

iOS kullanıcısı