İntegral konusu, matematiğin en önemli konularından biridir ve türev kavramının... Daha fazla göster
Ders notlarını görmek için kaydolÜcretsiz!
Tüm belgeleri görebilirsin
Notlarını Yükselt
Milyonlarca öğrenciye katıl
Knowunity AI
Daha fazla
Dersler
Triangle Congruence and Similarity Theorems
Triangle Properties and Classification
Linear Equations and Graphs
Geometric Angle Relationships
Trigonometric Functions and Identities
Equation Solving Techniques
Circle Geometry Fundamentals
Division Operations and Methods
Basic Differentiation Rules
Exponent and Logarithm Properties
Tüm konuları göster
Human Organ Systems
Reproductive Cell Cycles
Biological Sciences Subdisciplines
Cellular Energy Metabolism
Autotrophic Energy Processes
Inheritance Patterns and Principles
Biomolecular Structure and Organization
Cell Cycle and Division Mechanics
Cellular Organization and Development
Biological Structural Organization
Tüm konuları göster
Chemical Sciences and Applications
Atomic Structure and Composition
Molecular Electron Structure Representation
Atomic Electron Behavior
Matter Properties and Water
Mole Concept and Calculations
Gas Laws and Behavior
Periodic Table Organization
Chemical Thermodynamics Fundamentals
Chemical Bond Types and Properties
Tüm konuları göster
European Renaissance and Enlightenment
European Cultural Movements 800-1920
American Revolution Era 1763-1797
American Civil War 1861-1865
Global Imperial Systems
Mongol and Chinese Dynasties
U.S. Presidents and World Leaders
Historical Sources and Documentation
World Wars Era and Impact
World Religious Systems
Tüm konuları göster
Classic and Contemporary Novels
Literary Character Analysis
Rhetorical Theory and Practice
Classic Literary Narratives
Reading Analysis and Interpretation
Narrative Structure and Techniques
English Language Components
Influential English-Language Authors
Basic Sentence Structure
Narrative Voice and Perspective
Tüm konuları göster
1,102
•
Güncellendi Mar 22, 2026
•
reyhan
@rey_d07wm
İntegral konusu, matematiğin en önemli konularından biridir ve türev kavramının... Daha fazla göster


















































İntegral, matematiğin en temel ve kullanışlı konularından biridir. Fizik, ekonomi, mühendislik gibi birçok alanda karşımıza çıkar. Bu ünitede integral tanımı, özellikleri ve uygulamaları üzerinde duracağız.
İntegral temel olarak üç başlık altında incelenir:
Hatırlatma: İntegral ile türev arasında sıkı bir ilişki vardır. Türevin tersi işlemi olarak integral, eğrilerin altında kalan alanların hesaplanmasından karmaşık fiziksel problemlerin çözümüne kadar birçok alanda kullanılır.

İntegral hesabının temel teoremi, türev ve integral arasındaki ilişkiyi açıklar. Eğer f fonksiyonunun bir F antitürevi varsa, yani F'(x) = f(x) ise, bu durumda:
∫f(x)dx = F(x) + c şeklinde gösterilir. Burada c, integral sabitidir.
Belirsiz integral, bir fonksiyonun antitürevini bulmaktır. F'(x) = f(x) olacak şekilde bir F fonksiyonuna f'nin antitürevi denir.
∫f(x)dx = F(x) + c formunda gösterilir.
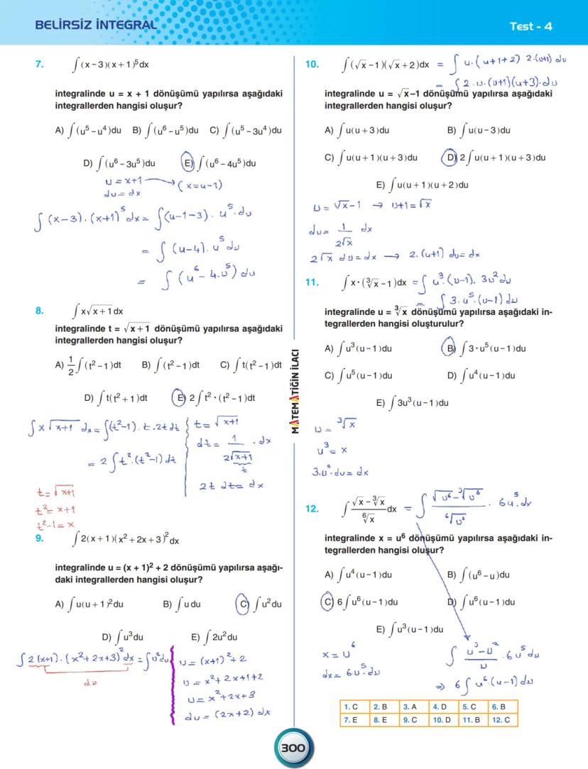
İntegrali alınacak ifadedeki çarpanlar birbirinin türevi oluyorsa, çarpanlardan birine u diyelim. u'nun diferansiyelini alarak integrali daha kolay çözülebilir duruma getiririz.
Önemli: İntegralde u-dönüşümü yaparken, dx yerine du yazarak dönüşümü tamamlamalısınız. Bu, zor integralleri çözmek için en temel yöntemlerden biridir.

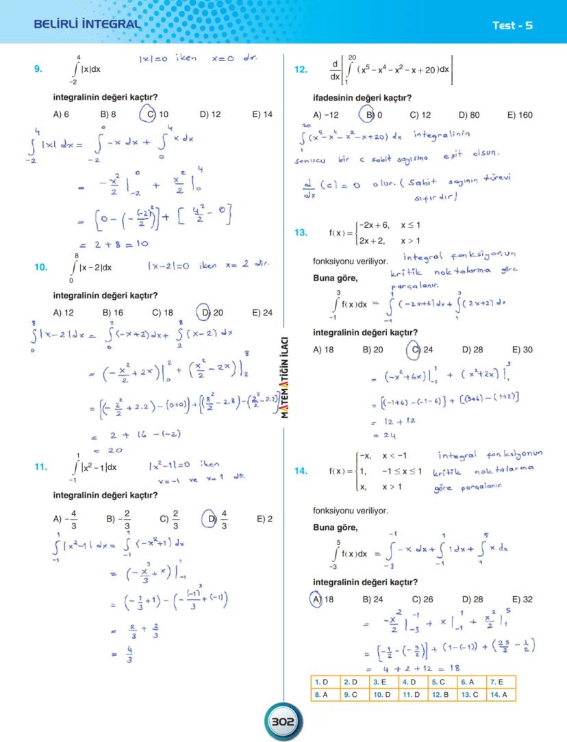
Belirli İntegral, [a, b] aralığında tanımlı f fonksiyonu için:
∫ₐᵇ f(x)dx = F(b) - F(a) şeklinde hesaplanır.
[a, b] aralığı n eşit parçaya bölündüğünde, P = {x₀, x₁, x₂, ..., xₙ} kümesine "düzgün bölüntü" denir. Her bir aralığın uzunluğu /n'dir.
Bir fonksiyonun belirli integrali, aslında fonksiyonun grafiği ile x ekseni arasında kalan alanın ölçüsüdür. Bu alan, Riemann toplamları ile yaklaşık olarak hesaplanabilir.
n sonsuza giderken, alt ve üst toplamlar birbirine yaklaşır ve belirli integralin değerini verir.
Alan Hesabı İpucu: Bir fonksiyon grafiği ile x ekseni arasındaki alanı hesaplarken, fonksiyonun negatif olduğu bölgelerdeki alanlar negatif değer verir. Mutlak alan hesabı için |f(x)| kullanmalısınız.

İntegral yardımıyla alan hesabı yaparken, fonksiyonun grafiği ile x ekseni arasında kalan alanı hesaplamak için belirli integral kullanırız.
Eğer f(x) fonksiyonu [a, b] aralığında sürekli ve f(x) ≥ 0 ise, grafiği ile x ekseni arasında kalan alan:
A = ∫ₐᵇ f(x)dx
Eğer f(x) fonksiyonunun işareti değişiyorsa, alanı doğru hesaplamak için mutlak değer kullanmalıyız:
A = ∫ₐᵇ |f(x)|dx
Eğer f(x) ve g(x) fonksiyonları [a, b] aralığında sürekli ve f(x) ≥ g(x) ise, iki eğri arasındaki alan:
A = ∫ₐᵇ dx
Eğer f(x) tek bir fonksiyon ise :
Eğer f(x) çift bir fonksiyon ise :
Pratik İpucu: Bir parabolün simetri ekseninden geçen doğru ile parabolün sınırladığı alanı hesaplarken, S = 2·h·b/3 formülünü kullanabilirsiniz (h: yükseklik, b: taban).

Belirsiz integral problemlerinde, bir fonksiyonun antitürevini bulmak amaçlanır. İşte bazı temel integral örnekleri:
∫3dx = 3x + c
∫dx = - + c
∫4x³dx = 4· + c = x⁴ + c
∫dx, u = 2x+1 için: du = 2dx, dx = du/2 ∫dx = ∫u· = (1/2)∫udu = (1/2)· + c = + c = + c
∫dx = 3· + 4· - x + c = x³ + 2x² - x + c
Problem Çözme Stratejisi: İntegral alırken, fonksiyonu parçalara ayırıp her parçanın integralini ayrı ayrı hesaplamak işinizi kolaylaştırır. Özellikle polinom integrallerde bu yöntem çok işe yarar.

Belirli integral, belirsiz integralin belirli sınırlar arasındaki değerini hesaplamak için kullanılır. Aşağıda bazı belirli integral örnekleri verilmiştir:
∫₁² 3dx = 3x |₁² = 3·2 - 3·1 = 6 - 3 = 3
∫₁³ 4x dx = 4· |₁³ = 4·(3²/2 - 1²/2) = 4·(9/2 - 1/2) = 4·4 = 16
f(x) tek fonksiyon ise, ∫₍₋ₐ₎ᵃ f(x)dx = 0 f(x) çift fonksiyon ise, ∫₍₋ₐ₎ᵃ f(x)dx = 2∫₀ᵃ f(x)dx
∫₀³ |x-1|dx = ∫₀¹ dx + ∫₁³ dx = ₀¹ + ₁³ = (1 - 1/2) - (0 - 0) + (9/2 - 3) - (1/2 - 1) = 1/2 + 9/2 - 3 + 1/2 = 4
Dikkat Edilmesi Gereken Nokta: Mutlak değer içeren integrallerde, mutlak değerin sıfıra eşit olduğu noktalar kritik noktalardır ve integrali bu noktalara göre parçalara ayırmalısınız.

İntegral yardımıyla alan hesabı yaparken kullanılan farklı durumlar için çeşitli örnekler inceleyelim.
y = x² fonksiyonunun x = 0 ile x = 3 arasında kalan alanı bulalım: A = ∫₀³ x²dx = ₀³ = 3³/3 - 0³/3 = 9 birimkare
y = x³ fonksiyonunun x = -2 ile x = 2 arasındaki alanını bulalım: ∫₍₋₂₎² x³dx = ₍₋₂₎² = 2⁴/4 - (-2)⁴/4 = 4 - 4 = 0
Burada sonuç sıfır çıksa da, gerçek alan sıfır değildir çünkü fonksiyon işaret değiştirir. Doğru yaklaşım: A = ∫₍₋₂₎⁰ |x³|dx + ∫₀² |x³|dx = ∫₍₋₂₎⁰ dx + ∫₀² x³dx = 4 + 4 = 8 birimkare
y = 2x ve y = x² eğrileri arasında kalan alanı bulalım. Önce kesim noktalarını buluruz: 2x = x² ⟹ x = 0 ⟹ x = 0 veya x = 2
Alan: A = ∫₀² dx = ₀² = (4 - 8/3) - 0 = 4 - 8/3 = 4/3 birimkare
Önemli İpucu: İki eğri arasındaki alanı hesaplarken, önce eğrilerin kesim noktalarını bulun, sonra üstteki fonksiyondan alttaki fonksiyonu çıkararak integrali alın.

İntegral, fiziksel problemleri çözmek için güçlü bir araçtır. Özellikle hız, yol ve ivme arasındaki ilişkiler integral ile modellenebilir.
Bir cismin t anındaki hızı V(t) ise, t₁ ve t₂ anları arasında aldığı yol:
x(t₂) - x(t₁) = ∫ₜ₁ᵗ² V(t)dt
Bir cismin t anındaki ivmesi a(t) ise, t₁ ve t₂ anları arasındaki hız değişimi:
V(t₂) - V(t₁) = ∫ₜ₁ᵗ² a(t)dt
Yukarıdan aşağıya V₀ = 30 m/sn hızla atılan bir cisim 5 saniyede yere düşüyor. Cismin atıldığı yükseklik kaçtır?
Çözüm:
Fizik Problemi Çözme İpucu: Hareket problemlerinde, genellikle konum fonksiyonu x(t), hız fonksiyonu v(t)'nin integrali, hız fonksiyonu da ivme fonksiyonu a(t)'nin integralidir. Sınır koşullarını doğru belirleyerek integral sabitlerini bulabilirsiniz.

Riemann toplamları, bir fonksiyonun grafiği altında kalan alanı yaklaşık olarak hesaplamak için kullanılır.
[a, b] aralığını n eşit parçaya böldüğümüzde, her bir alt aralığın uzunluğu Δx = /n'dir. Bu bölünmüş aralıklara "düzgün bölüntü" denir.
[0, 3] aralığını 3 eşit parçaya bölelim:
Riemann Alt Toplamı: S₍ₐₗₜ₎ = f(1)·Δx + f(2)·Δx + f(3)·Δx = 8·1 + 5·1 + 0·1 = 13
Riemann Üst Toplamı: S₍üₛₜ₎ = f(0)·Δx + f(1)·Δx + f(2)·Δx = 9·1 + 8·1 + 5·1 = 22
Temel İlke: n sonsuza giderken, alt toplam ve üst toplam belirli integrale yakınsar: lim₍ₙ→∞₎ S₍ₐₗₜ₎ = lim₍ₙ→∞₎ S₍üₛₜ₎ = ∫ₐᵇ f(x)dx








































Yapay zeka arkadaşımız öğrencilerin ihtiyaçlarına göre özel olarak tasarlanmıştır. Platformda bulunan milyonlarca içeriğe dayanarak öğrencilere gerçekten anlamlı ve ilgili yanıtlar verebiliyoruz. Ancak mesele sadece cevaplar değil, refakatçi aynı zamanda kişiselleştirilmiş öğrenme planları, sınavlar veya sohbet içerikleri ve öğrencilerin becerilerine ve gelişimlerine dayalı %100 kişiselleştirme ile öğrencilere günlük öğrenme zorluklarında rehberlik ediyor.
Uygulamayı Google Play Store ve Apple App Store'dan indirebilirsiniz.
Knowunity uygulaması ücretsiz! Uygulamamız çok yakında indirmeye hazır olacak, bekle bizi. 💙
Tyt Matematik Kavram Haritası özet
App Store
Google Play
Uygulama çok kolay kullanılıyor ve güzel tasarlanmış. Şu ana kadar aradığım her şeyi buldum ve sunumlardan çok şey öğrendim! Kesinlikle ödevlerim için hep kullanacağım!
A.S.
iOS kullanıcısı
Uygulama çok iyi. Çok fazla ders notu ve yardımlaşma var. Örneğin benim problem yaşadığım bir ders Geometriydi ve ANINDA yardım ettiler beraber hem sorularımı çözdük hem konu anlatımı buldum. Herkese tavsiye ederim.
S.L.
Android kullanıcısı
BEN ŞOK. Reklamını sık sık gördüğüm için uygulamayı denedim ve gerçekten hayran kaldım. Bu uygulama okul için tam ihtiyacım olan şey. Anında ödev yardımı, konu anlatımı, örnek sınavlar, flaşkartlar hepsi hepsi var, şiddetle tavsiye ederim ✅
A.
iOS kullanıcısı
Knowunity'yi keşfedinceye kadar ödevlerimi zamanında tamamlamakta zorlanıyordum, Knowunity sadece kendi ders notlarımı yüklemeyi kolaylaştırmakla kalmıyor, aynı zamanda çalışmamı daha hızlı ve verimli hale getiren harika özetler de sunuyor.
Thomas R
iOS kullanıcısı
Ödevlerim için önemli bilgilerin tümünü bulmak her zaman bir zorluktu - Knowunity'yi kullanmaya başladığımdan beri, ders notlarımı kolayca yükleyebilir ve başkalarının özetlerinden faydalanabilirim, bu da organizasyon konusunda bana çok yardımcı oluyor.
Lisa M
Android kullanıcısı
Ders çalışırken genellikle yeterince genel bakışa sahip olmadığımı hissederdim, ama Knowunity'yi kullanmaya başladığımdan beri bu artık sorun değil - ders notlarımı yüklüyorum ve platformda her zaman yardımcı özetler buluyorum, bu da öğrenmemi çok daha kolaylaştırıyor.
David K
iOS kullanıcısı
Uygulama acayip iyi! Konuyu yazıyorum hemen yanıt alıyorum. Bi şeyi anlamak için 10 tane youtube videosu izlemem gerekmiyor. Kesssinlikle tavsiye ederim!
Sudenaz Ocak
Android kullanıcısı
Matematikte baya kötüydüm ama bu uygulama sayesinde şimdi daha iyiyim. Uygulamayı yapanlara için çok teşekkürler!
G.B.
Android kullanıcısı
Sunumlarım için tüm bilgileri toplamak gerçekten zordu. Ama Knowunity'yi kullanmaya başladığımdan beri, notlarımı yüklüyorum ve başkalarından harika özetler buluyorum - bu da çalışmamı çok daha verimli hale getiriyor!
Julia S
Android kullanıcısı
Tüm çalışma materyalleriyle sürekli stres altındaydım, ama Knowunity'yi kullanmaya başladığımdan beri, notlarımı yüklüyor ve başkalarının harika özetlerine bakıyorum - her şeyi daha iyi yönetmemi sağlıyor ve çok daha az stresli.
Marco B
iOS kullanıcısı
QUİZLER VE FLASHCARDLAR ÇOK FAYDALI VE Knowunity AI'I ÇOK SEVİYORUM. AYRICA TAM OLARAK CHATGPT GİBİ AMA DAHA AKILLI!! RİMEL SORUNLARIMDA DA YARDIM ETTİ!! GERÇEK DERSLERİMDE DE TABII Kİ! DUHHH 😍😁😲🤑💗✨🎀😮
Sarah L
Android kullanıcısı
Eskiden okul materyallerini Google'da aramakla saatler harcardım, ama şimdi sadece notlarımı Knowunity'ye yüklüyorum ve başkalarının faydalı özetlerine bakıyorum - sınavlara hazırlanırken kendimi çok daha güvende hissediyorum.
Paul T
iOS kullanıcısı
Uygulama çok kolay kullanılıyor ve güzel tasarlanmış. Şu ana kadar aradığım her şeyi buldum ve sunumlardan çok şey öğrendim! Kesinlikle ödevlerim için hep kullanacağım!
A.S.
iOS kullanıcısı
Uygulama çok iyi. Çok fazla ders notu ve yardımlaşma var. Örneğin benim problem yaşadığım bir ders Geometriydi ve ANINDA yardım ettiler beraber hem sorularımı çözdük hem konu anlatımı buldum. Herkese tavsiye ederim.
S.L.
Android kullanıcısı
BEN ŞOK. Reklamını sık sık gördüğüm için uygulamayı denedim ve gerçekten hayran kaldım. Bu uygulama okul için tam ihtiyacım olan şey. Anında ödev yardımı, konu anlatımı, örnek sınavlar, flaşkartlar hepsi hepsi var, şiddetle tavsiye ederim ✅
A.
iOS kullanıcısı
Knowunity'yi keşfedinceye kadar ödevlerimi zamanında tamamlamakta zorlanıyordum, Knowunity sadece kendi ders notlarımı yüklemeyi kolaylaştırmakla kalmıyor, aynı zamanda çalışmamı daha hızlı ve verimli hale getiren harika özetler de sunuyor.
Thomas R
iOS kullanıcısı
Ödevlerim için önemli bilgilerin tümünü bulmak her zaman bir zorluktu - Knowunity'yi kullanmaya başladığımdan beri, ders notlarımı kolayca yükleyebilir ve başkalarının özetlerinden faydalanabilirim, bu da organizasyon konusunda bana çok yardımcı oluyor.
Lisa M
Android kullanıcısı
Ders çalışırken genellikle yeterince genel bakışa sahip olmadığımı hissederdim, ama Knowunity'yi kullanmaya başladığımdan beri bu artık sorun değil - ders notlarımı yüklüyorum ve platformda her zaman yardımcı özetler buluyorum, bu da öğrenmemi çok daha kolaylaştırıyor.
David K
iOS kullanıcısı
Uygulama acayip iyi! Konuyu yazıyorum hemen yanıt alıyorum. Bi şeyi anlamak için 10 tane youtube videosu izlemem gerekmiyor. Kesssinlikle tavsiye ederim!
Sudenaz Ocak
Android kullanıcısı
Matematikte baya kötüydüm ama bu uygulama sayesinde şimdi daha iyiyim. Uygulamayı yapanlara için çok teşekkürler!
G.B.
Android kullanıcısı
Sunumlarım için tüm bilgileri toplamak gerçekten zordu. Ama Knowunity'yi kullanmaya başladığımdan beri, notlarımı yüklüyorum ve başkalarından harika özetler buluyorum - bu da çalışmamı çok daha verimli hale getiriyor!
Julia S
Android kullanıcısı
Tüm çalışma materyalleriyle sürekli stres altındaydım, ama Knowunity'yi kullanmaya başladığımdan beri, notlarımı yüklüyor ve başkalarının harika özetlerine bakıyorum - her şeyi daha iyi yönetmemi sağlıyor ve çok daha az stresli.
Marco B
iOS kullanıcısı
QUİZLER VE FLASHCARDLAR ÇOK FAYDALI VE Knowunity AI'I ÇOK SEVİYORUM. AYRICA TAM OLARAK CHATGPT GİBİ AMA DAHA AKILLI!! RİMEL SORUNLARIMDA DA YARDIM ETTİ!! GERÇEK DERSLERİMDE DE TABII Kİ! DUHHH 😍😁😲🤑💗✨🎀😮
Sarah L
Android kullanıcısı
Eskiden okul materyallerini Google'da aramakla saatler harcardım, ama şimdi sadece notlarımı Knowunity'ye yüklüyorum ve başkalarının faydalı özetlerine bakıyorum - sınavlara hazırlanırken kendimi çok daha güvende hissediyorum.
Paul T
iOS kullanıcısı
reyhan
@rey_d07wm
İntegral konusu, matematiğin en önemli konularından biridir ve türev kavramının tersi olarak düşünülebilir. Bu ünitede, belirsiz ve belirli integraller, integral hesabının temel teoremi ve alan hesapları gibi kritik konuları ele alacağız.

Tüm belgeleri görebilirsin
Notlarını Yükselt
Milyonlarca öğrenciye katıl
İntegral, matematiğin en temel ve kullanışlı konularından biridir. Fizik, ekonomi, mühendislik gibi birçok alanda karşımıza çıkar. Bu ünitede integral tanımı, özellikleri ve uygulamaları üzerinde duracağız.
İntegral temel olarak üç başlık altında incelenir:
Hatırlatma: İntegral ile türev arasında sıkı bir ilişki vardır. Türevin tersi işlemi olarak integral, eğrilerin altında kalan alanların hesaplanmasından karmaşık fiziksel problemlerin çözümüne kadar birçok alanda kullanılır.

Tüm belgeleri görebilirsin
Notlarını Yükselt
Milyonlarca öğrenciye katıl
İntegral hesabının temel teoremi, türev ve integral arasındaki ilişkiyi açıklar. Eğer f fonksiyonunun bir F antitürevi varsa, yani F'(x) = f(x) ise, bu durumda:
∫f(x)dx = F(x) + c şeklinde gösterilir. Burada c, integral sabitidir.
Belirsiz integral, bir fonksiyonun antitürevini bulmaktır. F'(x) = f(x) olacak şekilde bir F fonksiyonuna f'nin antitürevi denir.
∫f(x)dx = F(x) + c formunda gösterilir.
İntegrali alınacak ifadedeki çarpanlar birbirinin türevi oluyorsa, çarpanlardan birine u diyelim. u'nun diferansiyelini alarak integrali daha kolay çözülebilir duruma getiririz.
Önemli: İntegralde u-dönüşümü yaparken, dx yerine du yazarak dönüşümü tamamlamalısınız. Bu, zor integralleri çözmek için en temel yöntemlerden biridir.

Tüm belgeleri görebilirsin
Notlarını Yükselt
Milyonlarca öğrenciye katıl
Belirli İntegral, [a, b] aralığında tanımlı f fonksiyonu için:
∫ₐᵇ f(x)dx = F(b) - F(a) şeklinde hesaplanır.
[a, b] aralığı n eşit parçaya bölündüğünde, P = {x₀, x₁, x₂, ..., xₙ} kümesine "düzgün bölüntü" denir. Her bir aralığın uzunluğu /n'dir.
Bir fonksiyonun belirli integrali, aslında fonksiyonun grafiği ile x ekseni arasında kalan alanın ölçüsüdür. Bu alan, Riemann toplamları ile yaklaşık olarak hesaplanabilir.
n sonsuza giderken, alt ve üst toplamlar birbirine yaklaşır ve belirli integralin değerini verir.
Alan Hesabı İpucu: Bir fonksiyon grafiği ile x ekseni arasındaki alanı hesaplarken, fonksiyonun negatif olduğu bölgelerdeki alanlar negatif değer verir. Mutlak alan hesabı için |f(x)| kullanmalısınız.

Tüm belgeleri görebilirsin
Notlarını Yükselt
Milyonlarca öğrenciye katıl
İntegral yardımıyla alan hesabı yaparken, fonksiyonun grafiği ile x ekseni arasında kalan alanı hesaplamak için belirli integral kullanırız.
Eğer f(x) fonksiyonu [a, b] aralığında sürekli ve f(x) ≥ 0 ise, grafiği ile x ekseni arasında kalan alan:
A = ∫ₐᵇ f(x)dx
Eğer f(x) fonksiyonunun işareti değişiyorsa, alanı doğru hesaplamak için mutlak değer kullanmalıyız:
A = ∫ₐᵇ |f(x)|dx
Eğer f(x) ve g(x) fonksiyonları [a, b] aralığında sürekli ve f(x) ≥ g(x) ise, iki eğri arasındaki alan:
A = ∫ₐᵇ dx
Eğer f(x) tek bir fonksiyon ise :
Eğer f(x) çift bir fonksiyon ise :
Pratik İpucu: Bir parabolün simetri ekseninden geçen doğru ile parabolün sınırladığı alanı hesaplarken, S = 2·h·b/3 formülünü kullanabilirsiniz (h: yükseklik, b: taban).

Tüm belgeleri görebilirsin
Notlarını Yükselt
Milyonlarca öğrenciye katıl
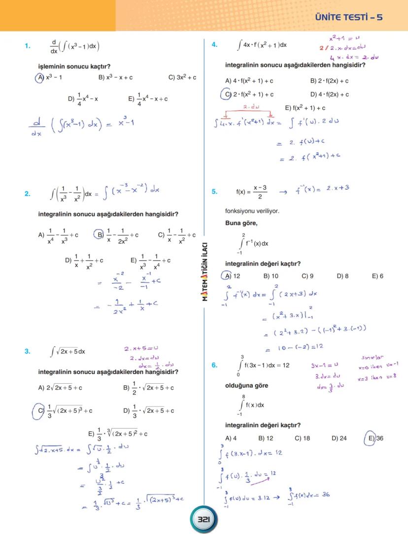
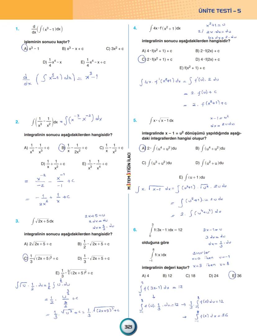
Belirsiz integral problemlerinde, bir fonksiyonun antitürevini bulmak amaçlanır. İşte bazı temel integral örnekleri:
∫3dx = 3x + c
∫dx = - + c
∫4x³dx = 4· + c = x⁴ + c
∫dx, u = 2x+1 için: du = 2dx, dx = du/2 ∫dx = ∫u· = (1/2)∫udu = (1/2)· + c = + c = + c
∫dx = 3· + 4· - x + c = x³ + 2x² - x + c
Problem Çözme Stratejisi: İntegral alırken, fonksiyonu parçalara ayırıp her parçanın integralini ayrı ayrı hesaplamak işinizi kolaylaştırır. Özellikle polinom integrallerde bu yöntem çok işe yarar.

Tüm belgeleri görebilirsin
Notlarını Yükselt
Milyonlarca öğrenciye katıl
Belirli integral, belirsiz integralin belirli sınırlar arasındaki değerini hesaplamak için kullanılır. Aşağıda bazı belirli integral örnekleri verilmiştir:
∫₁² 3dx = 3x |₁² = 3·2 - 3·1 = 6 - 3 = 3
∫₁³ 4x dx = 4· |₁³ = 4·(3²/2 - 1²/2) = 4·(9/2 - 1/2) = 4·4 = 16
f(x) tek fonksiyon ise, ∫₍₋ₐ₎ᵃ f(x)dx = 0 f(x) çift fonksiyon ise, ∫₍₋ₐ₎ᵃ f(x)dx = 2∫₀ᵃ f(x)dx
∫₀³ |x-1|dx = ∫₀¹ dx + ∫₁³ dx = ₀¹ + ₁³ = (1 - 1/2) - (0 - 0) + (9/2 - 3) - (1/2 - 1) = 1/2 + 9/2 - 3 + 1/2 = 4
Dikkat Edilmesi Gereken Nokta: Mutlak değer içeren integrallerde, mutlak değerin sıfıra eşit olduğu noktalar kritik noktalardır ve integrali bu noktalara göre parçalara ayırmalısınız.

Tüm belgeleri görebilirsin
Notlarını Yükselt
Milyonlarca öğrenciye katıl
İntegral yardımıyla alan hesabı yaparken kullanılan farklı durumlar için çeşitli örnekler inceleyelim.
y = x² fonksiyonunun x = 0 ile x = 3 arasında kalan alanı bulalım: A = ∫₀³ x²dx = ₀³ = 3³/3 - 0³/3 = 9 birimkare
y = x³ fonksiyonunun x = -2 ile x = 2 arasındaki alanını bulalım: ∫₍₋₂₎² x³dx = ₍₋₂₎² = 2⁴/4 - (-2)⁴/4 = 4 - 4 = 0
Burada sonuç sıfır çıksa da, gerçek alan sıfır değildir çünkü fonksiyon işaret değiştirir. Doğru yaklaşım: A = ∫₍₋₂₎⁰ |x³|dx + ∫₀² |x³|dx = ∫₍₋₂₎⁰ dx + ∫₀² x³dx = 4 + 4 = 8 birimkare
y = 2x ve y = x² eğrileri arasında kalan alanı bulalım. Önce kesim noktalarını buluruz: 2x = x² ⟹ x = 0 ⟹ x = 0 veya x = 2
Alan: A = ∫₀² dx = ₀² = (4 - 8/3) - 0 = 4 - 8/3 = 4/3 birimkare
Önemli İpucu: İki eğri arasındaki alanı hesaplarken, önce eğrilerin kesim noktalarını bulun, sonra üstteki fonksiyondan alttaki fonksiyonu çıkararak integrali alın.

Tüm belgeleri görebilirsin
Notlarını Yükselt
Milyonlarca öğrenciye katıl
İntegral, fiziksel problemleri çözmek için güçlü bir araçtır. Özellikle hız, yol ve ivme arasındaki ilişkiler integral ile modellenebilir.
Bir cismin t anındaki hızı V(t) ise, t₁ ve t₂ anları arasında aldığı yol:
x(t₂) - x(t₁) = ∫ₜ₁ᵗ² V(t)dt
Bir cismin t anındaki ivmesi a(t) ise, t₁ ve t₂ anları arasındaki hız değişimi:
V(t₂) - V(t₁) = ∫ₜ₁ᵗ² a(t)dt
Yukarıdan aşağıya V₀ = 30 m/sn hızla atılan bir cisim 5 saniyede yere düşüyor. Cismin atıldığı yükseklik kaçtır?
Çözüm:
Fizik Problemi Çözme İpucu: Hareket problemlerinde, genellikle konum fonksiyonu x(t), hız fonksiyonu v(t)'nin integrali, hız fonksiyonu da ivme fonksiyonu a(t)'nin integralidir. Sınır koşullarını doğru belirleyerek integral sabitlerini bulabilirsiniz.

Tüm belgeleri görebilirsin
Notlarını Yükselt
Milyonlarca öğrenciye katıl
Riemann toplamları, bir fonksiyonun grafiği altında kalan alanı yaklaşık olarak hesaplamak için kullanılır.
[a, b] aralığını n eşit parçaya böldüğümüzde, her bir alt aralığın uzunluğu Δx = /n'dir. Bu bölünmüş aralıklara "düzgün bölüntü" denir.
[0, 3] aralığını 3 eşit parçaya bölelim:
Riemann Alt Toplamı: S₍ₐₗₜ₎ = f(1)·Δx + f(2)·Δx + f(3)·Δx = 8·1 + 5·1 + 0·1 = 13
Riemann Üst Toplamı: S₍üₛₜ₎ = f(0)·Δx + f(1)·Δx + f(2)·Δx = 9·1 + 8·1 + 5·1 = 22
Temel İlke: n sonsuza giderken, alt toplam ve üst toplam belirli integrale yakınsar: lim₍ₙ→∞₎ S₍ₐₗₜ₎ = lim₍ₙ→∞₎ S₍üₛₜ₎ = ∫ₐᵇ f(x)dx

Tüm belgeleri görebilirsin
Notlarını Yükselt
Milyonlarca öğrenciye katıl

Tüm belgeleri görebilirsin
Notlarını Yükselt
Milyonlarca öğrenciye katıl

Tüm belgeleri görebilirsin
Notlarını Yükselt
Milyonlarca öğrenciye katıl

Tüm belgeleri görebilirsin
Notlarını Yükselt
Milyonlarca öğrenciye katıl

Tüm belgeleri görebilirsin
Notlarını Yükselt
Milyonlarca öğrenciye katıl

Tüm belgeleri görebilirsin
Notlarını Yükselt
Milyonlarca öğrenciye katıl

Tüm belgeleri görebilirsin
Notlarını Yükselt
Milyonlarca öğrenciye katıl

Tüm belgeleri görebilirsin
Notlarını Yükselt
Milyonlarca öğrenciye katıl

Tüm belgeleri görebilirsin
Notlarını Yükselt
Milyonlarca öğrenciye katıl

Tüm belgeleri görebilirsin
Notlarını Yükselt
Milyonlarca öğrenciye katıl

Tüm belgeleri görebilirsin
Notlarını Yükselt
Milyonlarca öğrenciye katıl

Tüm belgeleri görebilirsin
Notlarını Yükselt
Milyonlarca öğrenciye katıl

Tüm belgeleri görebilirsin
Notlarını Yükselt
Milyonlarca öğrenciye katıl

Tüm belgeleri görebilirsin
Notlarını Yükselt
Milyonlarca öğrenciye katıl

Tüm belgeleri görebilirsin
Notlarını Yükselt
Milyonlarca öğrenciye katıl

Tüm belgeleri görebilirsin
Notlarını Yükselt
Milyonlarca öğrenciye katıl

Tüm belgeleri görebilirsin
Notlarını Yükselt
Milyonlarca öğrenciye katıl

Tüm belgeleri görebilirsin
Notlarını Yükselt
Milyonlarca öğrenciye katıl

Tüm belgeleri görebilirsin
Notlarını Yükselt
Milyonlarca öğrenciye katıl

Tüm belgeleri görebilirsin
Notlarını Yükselt
Milyonlarca öğrenciye katıl

Tüm belgeleri görebilirsin
Notlarını Yükselt
Milyonlarca öğrenciye katıl

Tüm belgeleri görebilirsin
Notlarını Yükselt
Milyonlarca öğrenciye katıl

Tüm belgeleri görebilirsin
Notlarını Yükselt
Milyonlarca öğrenciye katıl

Tüm belgeleri görebilirsin
Notlarını Yükselt
Milyonlarca öğrenciye katıl

Tüm belgeleri görebilirsin
Notlarını Yükselt
Milyonlarca öğrenciye katıl

Tüm belgeleri görebilirsin
Notlarını Yükselt
Milyonlarca öğrenciye katıl

Tüm belgeleri görebilirsin
Notlarını Yükselt
Milyonlarca öğrenciye katıl

Tüm belgeleri görebilirsin
Notlarını Yükselt
Milyonlarca öğrenciye katıl

Tüm belgeleri görebilirsin
Notlarını Yükselt
Milyonlarca öğrenciye katıl

Tüm belgeleri görebilirsin
Notlarını Yükselt
Milyonlarca öğrenciye katıl

Tüm belgeleri görebilirsin
Notlarını Yükselt
Milyonlarca öğrenciye katıl

Tüm belgeleri görebilirsin
Notlarını Yükselt
Milyonlarca öğrenciye katıl

Tüm belgeleri görebilirsin
Notlarını Yükselt
Milyonlarca öğrenciye katıl

Tüm belgeleri görebilirsin
Notlarını Yükselt
Milyonlarca öğrenciye katıl

Tüm belgeleri görebilirsin
Notlarını Yükselt
Milyonlarca öğrenciye katıl

Tüm belgeleri görebilirsin
Notlarını Yükselt
Milyonlarca öğrenciye katıl

Tüm belgeleri görebilirsin
Notlarını Yükselt
Milyonlarca öğrenciye katıl

Tüm belgeleri görebilirsin
Notlarını Yükselt
Milyonlarca öğrenciye katıl

Tüm belgeleri görebilirsin
Notlarını Yükselt
Milyonlarca öğrenciye katıl

Tüm belgeleri görebilirsin
Notlarını Yükselt
Milyonlarca öğrenciye katıl
Yapay zeka arkadaşımız öğrencilerin ihtiyaçlarına göre özel olarak tasarlanmıştır. Platformda bulunan milyonlarca içeriğe dayanarak öğrencilere gerçekten anlamlı ve ilgili yanıtlar verebiliyoruz. Ancak mesele sadece cevaplar değil, refakatçi aynı zamanda kişiselleştirilmiş öğrenme planları, sınavlar veya sohbet içerikleri ve öğrencilerin becerilerine ve gelişimlerine dayalı %100 kişiselleştirme ile öğrencilere günlük öğrenme zorluklarında rehberlik ediyor.
Uygulamayı Google Play Store ve Apple App Store'dan indirebilirsiniz.
Knowunity uygulaması ücretsiz! Uygulamamız çok yakında indirmeye hazır olacak, bekle bizi. 💙
15
Akıllı Araçlar YENİ
Bu notu şunlara dönüştür: ✓ 50+ Alıştırma Sorusu ✓ Etkileşimli Flash Kartları ✓ Tam Deneme Sınavı ✓ Kompozisyon Taslakları
Tyt Matematik Kavram Haritası özet
App Store
Google Play
Uygulama çok kolay kullanılıyor ve güzel tasarlanmış. Şu ana kadar aradığım her şeyi buldum ve sunumlardan çok şey öğrendim! Kesinlikle ödevlerim için hep kullanacağım!
A.S.
iOS kullanıcısı
Uygulama çok iyi. Çok fazla ders notu ve yardımlaşma var. Örneğin benim problem yaşadığım bir ders Geometriydi ve ANINDA yardım ettiler beraber hem sorularımı çözdük hem konu anlatımı buldum. Herkese tavsiye ederim.
S.L.
Android kullanıcısı
BEN ŞOK. Reklamını sık sık gördüğüm için uygulamayı denedim ve gerçekten hayran kaldım. Bu uygulama okul için tam ihtiyacım olan şey. Anında ödev yardımı, konu anlatımı, örnek sınavlar, flaşkartlar hepsi hepsi var, şiddetle tavsiye ederim ✅
A.
iOS kullanıcısı
Knowunity'yi keşfedinceye kadar ödevlerimi zamanında tamamlamakta zorlanıyordum, Knowunity sadece kendi ders notlarımı yüklemeyi kolaylaştırmakla kalmıyor, aynı zamanda çalışmamı daha hızlı ve verimli hale getiren harika özetler de sunuyor.
Thomas R
iOS kullanıcısı
Ödevlerim için önemli bilgilerin tümünü bulmak her zaman bir zorluktu - Knowunity'yi kullanmaya başladığımdan beri, ders notlarımı kolayca yükleyebilir ve başkalarının özetlerinden faydalanabilirim, bu da organizasyon konusunda bana çok yardımcı oluyor.
Lisa M
Android kullanıcısı
Ders çalışırken genellikle yeterince genel bakışa sahip olmadığımı hissederdim, ama Knowunity'yi kullanmaya başladığımdan beri bu artık sorun değil - ders notlarımı yüklüyorum ve platformda her zaman yardımcı özetler buluyorum, bu da öğrenmemi çok daha kolaylaştırıyor.
David K
iOS kullanıcısı
Uygulama acayip iyi! Konuyu yazıyorum hemen yanıt alıyorum. Bi şeyi anlamak için 10 tane youtube videosu izlemem gerekmiyor. Kesssinlikle tavsiye ederim!
Sudenaz Ocak
Android kullanıcısı
Matematikte baya kötüydüm ama bu uygulama sayesinde şimdi daha iyiyim. Uygulamayı yapanlara için çok teşekkürler!
G.B.
Android kullanıcısı
Sunumlarım için tüm bilgileri toplamak gerçekten zordu. Ama Knowunity'yi kullanmaya başladığımdan beri, notlarımı yüklüyorum ve başkalarından harika özetler buluyorum - bu da çalışmamı çok daha verimli hale getiriyor!
Julia S
Android kullanıcısı
Tüm çalışma materyalleriyle sürekli stres altındaydım, ama Knowunity'yi kullanmaya başladığımdan beri, notlarımı yüklüyor ve başkalarının harika özetlerine bakıyorum - her şeyi daha iyi yönetmemi sağlıyor ve çok daha az stresli.
Marco B
iOS kullanıcısı
QUİZLER VE FLASHCARDLAR ÇOK FAYDALI VE Knowunity AI'I ÇOK SEVİYORUM. AYRICA TAM OLARAK CHATGPT GİBİ AMA DAHA AKILLI!! RİMEL SORUNLARIMDA DA YARDIM ETTİ!! GERÇEK DERSLERİMDE DE TABII Kİ! DUHHH 😍😁😲🤑💗✨🎀😮
Sarah L
Android kullanıcısı
Eskiden okul materyallerini Google'da aramakla saatler harcardım, ama şimdi sadece notlarımı Knowunity'ye yüklüyorum ve başkalarının faydalı özetlerine bakıyorum - sınavlara hazırlanırken kendimi çok daha güvende hissediyorum.
Paul T
iOS kullanıcısı
Uygulama çok kolay kullanılıyor ve güzel tasarlanmış. Şu ana kadar aradığım her şeyi buldum ve sunumlardan çok şey öğrendim! Kesinlikle ödevlerim için hep kullanacağım!
A.S.
iOS kullanıcısı
Uygulama çok iyi. Çok fazla ders notu ve yardımlaşma var. Örneğin benim problem yaşadığım bir ders Geometriydi ve ANINDA yardım ettiler beraber hem sorularımı çözdük hem konu anlatımı buldum. Herkese tavsiye ederim.
S.L.
Android kullanıcısı
BEN ŞOK. Reklamını sık sık gördüğüm için uygulamayı denedim ve gerçekten hayran kaldım. Bu uygulama okul için tam ihtiyacım olan şey. Anında ödev yardımı, konu anlatımı, örnek sınavlar, flaşkartlar hepsi hepsi var, şiddetle tavsiye ederim ✅
A.
iOS kullanıcısı
Knowunity'yi keşfedinceye kadar ödevlerimi zamanında tamamlamakta zorlanıyordum, Knowunity sadece kendi ders notlarımı yüklemeyi kolaylaştırmakla kalmıyor, aynı zamanda çalışmamı daha hızlı ve verimli hale getiren harika özetler de sunuyor.
Thomas R
iOS kullanıcısı
Ödevlerim için önemli bilgilerin tümünü bulmak her zaman bir zorluktu - Knowunity'yi kullanmaya başladığımdan beri, ders notlarımı kolayca yükleyebilir ve başkalarının özetlerinden faydalanabilirim, bu da organizasyon konusunda bana çok yardımcı oluyor.
Lisa M
Android kullanıcısı
Ders çalışırken genellikle yeterince genel bakışa sahip olmadığımı hissederdim, ama Knowunity'yi kullanmaya başladığımdan beri bu artık sorun değil - ders notlarımı yüklüyorum ve platformda her zaman yardımcı özetler buluyorum, bu da öğrenmemi çok daha kolaylaştırıyor.
David K
iOS kullanıcısı
Uygulama acayip iyi! Konuyu yazıyorum hemen yanıt alıyorum. Bi şeyi anlamak için 10 tane youtube videosu izlemem gerekmiyor. Kesssinlikle tavsiye ederim!
Sudenaz Ocak
Android kullanıcısı
Matematikte baya kötüydüm ama bu uygulama sayesinde şimdi daha iyiyim. Uygulamayı yapanlara için çok teşekkürler!
G.B.
Android kullanıcısı
Sunumlarım için tüm bilgileri toplamak gerçekten zordu. Ama Knowunity'yi kullanmaya başladığımdan beri, notlarımı yüklüyorum ve başkalarından harika özetler buluyorum - bu da çalışmamı çok daha verimli hale getiriyor!
Julia S
Android kullanıcısı
Tüm çalışma materyalleriyle sürekli stres altındaydım, ama Knowunity'yi kullanmaya başladığımdan beri, notlarımı yüklüyor ve başkalarının harika özetlerine bakıyorum - her şeyi daha iyi yönetmemi sağlıyor ve çok daha az stresli.
Marco B
iOS kullanıcısı
QUİZLER VE FLASHCARDLAR ÇOK FAYDALI VE Knowunity AI'I ÇOK SEVİYORUM. AYRICA TAM OLARAK CHATGPT GİBİ AMA DAHA AKILLI!! RİMEL SORUNLARIMDA DA YARDIM ETTİ!! GERÇEK DERSLERİMDE DE TABII Kİ! DUHHH 😍😁😲🤑💗✨🎀😮
Sarah L
Android kullanıcısı
Eskiden okul materyallerini Google'da aramakla saatler harcardım, ama şimdi sadece notlarımı Knowunity'ye yüklüyorum ve başkalarının faydalı özetlerine bakıyorum - sınavlara hazırlanırken kendimi çok daha güvende hissediyorum.
Paul T
iOS kullanıcısı