İntegral, matematikte türevin tam tersi işlemidir ve sürekli değerlerin toplamını... Daha fazla göster
Ders notlarını görmek için kaydolÜcretsiz!
Tüm belgeleri görebilirsin
Notlarını Yükselt
Milyonlarca öğrenciye katıl
Knowunity AI
Daha fazla
Dersler
Triangle Congruence and Similarity Theorems
Triangle Properties and Classification
Linear Equations and Graphs
Geometric Angle Relationships
Trigonometric Functions and Identities
Equation Solving Techniques
Circle Geometry Fundamentals
Division Operations and Methods
Basic Differentiation Rules
Exponent and Logarithm Properties
Tüm konuları göster
Human Organ Systems
Reproductive Cell Cycles
Biological Sciences Subdisciplines
Cellular Energy Metabolism
Autotrophic Energy Processes
Inheritance Patterns and Principles
Biomolecular Structure and Organization
Cell Cycle and Division Mechanics
Cellular Organization and Development
Biological Structural Organization
Tüm konuları göster
Chemical Sciences and Applications
Atomic Structure and Composition
Molecular Electron Structure Representation
Atomic Electron Behavior
Matter Properties and Water
Mole Concept and Calculations
Gas Laws and Behavior
Periodic Table Organization
Chemical Thermodynamics Fundamentals
Chemical Bond Types and Properties
Tüm konuları göster
European Renaissance and Enlightenment
European Cultural Movements 800-1920
American Revolution Era 1763-1797
American Civil War 1861-1865
Global Imperial Systems
Mongol and Chinese Dynasties
U.S. Presidents and World Leaders
Historical Sources and Documentation
World Wars Era and Impact
World Religious Systems
Tüm konuları göster
Classic and Contemporary Novels
Literary Character Analysis
Rhetorical Theory and Practice
Classic Literary Narratives
Reading Analysis and Interpretation
Narrative Structure and Techniques
English Language Components
Influential English-Language Authors
Basic Sentence Structure
Narrative Voice and Perspective
Tüm konuları göster
280
•
Güncellendi Mar 21, 2026
•
ÖMER FARUK FAKIOĞLU
@omerffakioglu
İntegral, matematikte türevin tam tersi işlemidir ve sürekli değerlerin toplamını... Daha fazla göster












İntegralı anlamanın en kolay yolu onu türevin tersi olarak düşünmektir. Türev alırken fonksiyondan elde ettiğimiz şeyi, integral alırken geri elde ederiz.
Türev aldığımızda sabit sayılar kaybolur çünkü sabitin türevi sıfırdır. Bu yüzden integral alırken sonuca +C sabiti eklenir. Örneğin, 2x-3 ve 2x+1 fonksiyonlarının türevi aynıdır (ikisi de 2), ama integrallerinde C sabiti farkı yaratır.
İntegraller iki türe ayrılır: Belirsiz integral (sınırları olmayan) ∫f(x)dx = F(x)+C şeklinde yazılır. Belirli integral ise alt ve üst sınırları olan ∫ᵃᵇf(x)dx şeklindedir.
Önemli: İntegral sembolü ∫, toplama anlamına gelen "S" harfinden gelir. İntegral aslında sürekli değerlerde toplama işlemi yapar.

Sabit sayının integrali çok basittir: sabitin yanına x gelir. ∫3dx = 3x + C gibi. Bu kural türevden gelir çünkü 3x'in türevi 3'tür.
Üslü fonksiyonlar için temel kural: üssü bir artır, yeni üsse böl. ∫xⁿdx = xⁿ⁺¹/ + C. Örneğin ∫x²dx = x³/3 + C olur.
Katsayı çıkarma kuralı çok kullanışlıdır: ∫af(x)dx = a∫f(x)dx. Yani sabit çarpanları integral işaretinin dışına çıkarabilirsin. Toplama-çıkarma kuralı da benzer şekilde: ∫(f(x) ± g(x))dx = ∫f(x)dx ± ∫g(x)dx.
Püf Noktası: Karekök ifadeleri üslü şekilde yazarak integral alma kurallarını daha kolay uygulayabilirsin.

Parantezli fonksiyonlar için özel bir kural var: ∫ⁿdx = ⁿ⁺¹/ + C. Yani üssü bir artır, hem yeni üsse hem de parantezin türevine böl.
Dikkat et: Bu kural sadece parantez içi 1. derece olduğunda geçerli. ∫⁷dx gibi ifadelerde bu kuralı kullanamazsın çünkü parantez içi 2. derece.
Üstel fonksiyonlar da benzer mantıkla çalışır: ∫eˣdx = eˣ + C, ∫e³ˣdx = e³ˣ/3 + C. Üstel fonksiyon aynen yazılır, üssün türevine bölünür.
Genel üstel fonksiyonlar için: ∫aᵐˣdx = aᵐˣ/(m·lna) + C. Burada üstel fonksiyon aynen yazılır, üssün türevine ve ln(a)'ya bölünür.
Uyarı: Bu kurallar sadece üss 1. derece olduğunda geçerli! ∫eˣ²dx veya ∫xe^x dx gibi ifadeler için farklı yöntemler gerekir.

1/x'in integrali özeldir: ∫dx = ln|x| + C. Genel olarak ∫1/dx = ln|ax+b|/a + C şeklinde yazılır.
Sinüs ve kosinüs integralleri birbirinin tersidir: ∫sindx = -cos/a + C ve ∫cosdx = sin/a + C. Dikkat et, sinüsün integralinde eksi işaret var!
Tanjant ve kotanjant için özel ifadeler var: ∫dx = ∫sec²x dx = tanx + C ve ∫dx = ∫cosec²x dx = -cotx + C.
Diğer trigonometrik fonksiyonlar: ∫tanx dx = -ln|cosx| + C, ∫cotx dx = ln|sinx| + C, ∫secx dx = ln|secx + tanx| + C.
Hatırlatma: Trigonometrik integrallerde parantez içi yine 1. derece olmalı. 2. ve daha yüksek dereceli ifadeler için özel yöntemler gerekir.

Ters trigonometrik fonksiyonlar çıkan özel integral türleri vardır. En önemlisi: ∫dx/ = arctan/a + C.
Ters sinüs çıkan integral: ∫dx/√ = arcsin/a + C. Bu tür integraller genelde geometrik problemlerde karşına çıkar.
Bu integraller doğrudan ezberlenecek türlerdir çünkü temel kurallarla çözülemezler. Sınav öncesi bu özel durumları mutlaka tekrarla.
Not: Bu özel integral türleri genelde daha karmaşık problemlerin parçası olarak gelir. Bunları tanımak önemli çünkü zaman kazandırır.

Temel kurallar işe yaramadığında integral alma yöntemlerine başvuruyoruz. Bunlar: değişken değiştirme, kısmi integral, kesirlere ayırma ve trigonometrik dönüşüm.
Değişken değiştirme yöntemi en sık kullanılan yöntemdir. Bu yöntem için f(x) ve f'(x)'in çarpım halinde olması gerekir: ∫f(x)·f'(x)dx şeklinde.
Yöntem şöyle uygulanır: u = f(x) denir, du = f'(x)dx yazılır, sonra integral ∫du şekline dönüştürülür. Sonucu bulup u yerine f(x)'i geri yazarsın.
Örnek: ∫x³·3x²dx integralinde u = x³, du = 3x²dx diyerek ∫u du = u²/2 + C = (x³)²/2 + C elde ederiz.
Püf Noktası: Değişken değiştirmede u'yu nasıl seçeceğini anlamak pratikle gelir. İçteki fonksiyonu u yapmak genelde işe yarar.

Kısmi integral farklı türdeki fonksiyonların çarpımı olduğu integraller için kullanılır. LAPTÜ sıralaması hangi fonksiyonun u, hangisinin dv olacağını belirler.
LAPTÜ sıralaması: Logaritma - Arctan - Polinom - Trigonometrik - Üstel. Sol tarafta olan fonksiyon u olur, gerisi dv olur.
Formül: ∫u dv = uv - ∫v du. Bu formülü uygularken üç adım var: 1) u ve dv'yi belirle, 2) du ve v'yi bul, 3) formülü uygula.
Örnek: ∫xe^x dx için u = x (polinom), dv = e^x dx (üstel). Sonuç: xe^x - e^x + C.
Dikkat: Kısmi integral sadece çarpım durumundaki fonksiyonları çözer. Bölüm durumundakileri çözemez!




Yapay zeka arkadaşımız öğrencilerin ihtiyaçlarına göre özel olarak tasarlanmıştır. Platformda bulunan milyonlarca içeriğe dayanarak öğrencilere gerçekten anlamlı ve ilgili yanıtlar verebiliyoruz. Ancak mesele sadece cevaplar değil, refakatçi aynı zamanda kişiselleştirilmiş öğrenme planları, sınavlar veya sohbet içerikleri ve öğrencilerin becerilerine ve gelişimlerine dayalı %100 kişiselleştirme ile öğrencilere günlük öğrenme zorluklarında rehberlik ediyor.
Uygulamayı Google Play Store ve Apple App Store'dan indirebilirsiniz.
Knowunity uygulaması ücretsiz! Uygulamamız çok yakında indirmeye hazır olacak, bekle bizi. 💙
Tyt Matematik Kavram Haritası özet
App Store
Google Play
Uygulama çok kolay kullanılıyor ve güzel tasarlanmış. Şu ana kadar aradığım her şeyi buldum ve sunumlardan çok şey öğrendim! Kesinlikle ödevlerim için hep kullanacağım!
A.S.
iOS kullanıcısı
Uygulama çok iyi. Çok fazla ders notu ve yardımlaşma var. Örneğin benim problem yaşadığım bir ders Geometriydi ve ANINDA yardım ettiler beraber hem sorularımı çözdük hem konu anlatımı buldum. Herkese tavsiye ederim.
S.L.
Android kullanıcısı
BEN ŞOK. Reklamını sık sık gördüğüm için uygulamayı denedim ve gerçekten hayran kaldım. Bu uygulama okul için tam ihtiyacım olan şey. Anında ödev yardımı, konu anlatımı, örnek sınavlar, flaşkartlar hepsi hepsi var, şiddetle tavsiye ederim ✅
A.
iOS kullanıcısı
Knowunity'yi keşfedinceye kadar ödevlerimi zamanında tamamlamakta zorlanıyordum, Knowunity sadece kendi ders notlarımı yüklemeyi kolaylaştırmakla kalmıyor, aynı zamanda çalışmamı daha hızlı ve verimli hale getiren harika özetler de sunuyor.
Thomas R
iOS kullanıcısı
Ödevlerim için önemli bilgilerin tümünü bulmak her zaman bir zorluktu - Knowunity'yi kullanmaya başladığımdan beri, ders notlarımı kolayca yükleyebilir ve başkalarının özetlerinden faydalanabilirim, bu da organizasyon konusunda bana çok yardımcı oluyor.
Lisa M
Android kullanıcısı
Ders çalışırken genellikle yeterince genel bakışa sahip olmadığımı hissederdim, ama Knowunity'yi kullanmaya başladığımdan beri bu artık sorun değil - ders notlarımı yüklüyorum ve platformda her zaman yardımcı özetler buluyorum, bu da öğrenmemi çok daha kolaylaştırıyor.
David K
iOS kullanıcısı
Uygulama acayip iyi! Konuyu yazıyorum hemen yanıt alıyorum. Bi şeyi anlamak için 10 tane youtube videosu izlemem gerekmiyor. Kesssinlikle tavsiye ederim!
Sudenaz Ocak
Android kullanıcısı
Matematikte baya kötüydüm ama bu uygulama sayesinde şimdi daha iyiyim. Uygulamayı yapanlara için çok teşekkürler!
G.B.
Android kullanıcısı
Sunumlarım için tüm bilgileri toplamak gerçekten zordu. Ama Knowunity'yi kullanmaya başladığımdan beri, notlarımı yüklüyorum ve başkalarından harika özetler buluyorum - bu da çalışmamı çok daha verimli hale getiriyor!
Julia S
Android kullanıcısı
Tüm çalışma materyalleriyle sürekli stres altındaydım, ama Knowunity'yi kullanmaya başladığımdan beri, notlarımı yüklüyor ve başkalarının harika özetlerine bakıyorum - her şeyi daha iyi yönetmemi sağlıyor ve çok daha az stresli.
Marco B
iOS kullanıcısı
QUİZLER VE FLASHCARDLAR ÇOK FAYDALI VE Knowunity AI'I ÇOK SEVİYORUM. AYRICA TAM OLARAK CHATGPT GİBİ AMA DAHA AKILLI!! RİMEL SORUNLARIMDA DA YARDIM ETTİ!! GERÇEK DERSLERİMDE DE TABII Kİ! DUHHH 😍😁😲🤑💗✨🎀😮
Sarah L
Android kullanıcısı
Eskiden okul materyallerini Google'da aramakla saatler harcardım, ama şimdi sadece notlarımı Knowunity'ye yüklüyorum ve başkalarının faydalı özetlerine bakıyorum - sınavlara hazırlanırken kendimi çok daha güvende hissediyorum.
Paul T
iOS kullanıcısı
Uygulama çok kolay kullanılıyor ve güzel tasarlanmış. Şu ana kadar aradığım her şeyi buldum ve sunumlardan çok şey öğrendim! Kesinlikle ödevlerim için hep kullanacağım!
A.S.
iOS kullanıcısı
Uygulama çok iyi. Çok fazla ders notu ve yardımlaşma var. Örneğin benim problem yaşadığım bir ders Geometriydi ve ANINDA yardım ettiler beraber hem sorularımı çözdük hem konu anlatımı buldum. Herkese tavsiye ederim.
S.L.
Android kullanıcısı
BEN ŞOK. Reklamını sık sık gördüğüm için uygulamayı denedim ve gerçekten hayran kaldım. Bu uygulama okul için tam ihtiyacım olan şey. Anında ödev yardımı, konu anlatımı, örnek sınavlar, flaşkartlar hepsi hepsi var, şiddetle tavsiye ederim ✅
A.
iOS kullanıcısı
Knowunity'yi keşfedinceye kadar ödevlerimi zamanında tamamlamakta zorlanıyordum, Knowunity sadece kendi ders notlarımı yüklemeyi kolaylaştırmakla kalmıyor, aynı zamanda çalışmamı daha hızlı ve verimli hale getiren harika özetler de sunuyor.
Thomas R
iOS kullanıcısı
Ödevlerim için önemli bilgilerin tümünü bulmak her zaman bir zorluktu - Knowunity'yi kullanmaya başladığımdan beri, ders notlarımı kolayca yükleyebilir ve başkalarının özetlerinden faydalanabilirim, bu da organizasyon konusunda bana çok yardımcı oluyor.
Lisa M
Android kullanıcısı
Ders çalışırken genellikle yeterince genel bakışa sahip olmadığımı hissederdim, ama Knowunity'yi kullanmaya başladığımdan beri bu artık sorun değil - ders notlarımı yüklüyorum ve platformda her zaman yardımcı özetler buluyorum, bu da öğrenmemi çok daha kolaylaştırıyor.
David K
iOS kullanıcısı
Uygulama acayip iyi! Konuyu yazıyorum hemen yanıt alıyorum. Bi şeyi anlamak için 10 tane youtube videosu izlemem gerekmiyor. Kesssinlikle tavsiye ederim!
Sudenaz Ocak
Android kullanıcısı
Matematikte baya kötüydüm ama bu uygulama sayesinde şimdi daha iyiyim. Uygulamayı yapanlara için çok teşekkürler!
G.B.
Android kullanıcısı
Sunumlarım için tüm bilgileri toplamak gerçekten zordu. Ama Knowunity'yi kullanmaya başladığımdan beri, notlarımı yüklüyorum ve başkalarından harika özetler buluyorum - bu da çalışmamı çok daha verimli hale getiriyor!
Julia S
Android kullanıcısı
Tüm çalışma materyalleriyle sürekli stres altındaydım, ama Knowunity'yi kullanmaya başladığımdan beri, notlarımı yüklüyor ve başkalarının harika özetlerine bakıyorum - her şeyi daha iyi yönetmemi sağlıyor ve çok daha az stresli.
Marco B
iOS kullanıcısı
QUİZLER VE FLASHCARDLAR ÇOK FAYDALI VE Knowunity AI'I ÇOK SEVİYORUM. AYRICA TAM OLARAK CHATGPT GİBİ AMA DAHA AKILLI!! RİMEL SORUNLARIMDA DA YARDIM ETTİ!! GERÇEK DERSLERİMDE DE TABII Kİ! DUHHH 😍😁😲🤑💗✨🎀😮
Sarah L
Android kullanıcısı
Eskiden okul materyallerini Google'da aramakla saatler harcardım, ama şimdi sadece notlarımı Knowunity'ye yüklüyorum ve başkalarının faydalı özetlerine bakıyorum - sınavlara hazırlanırken kendimi çok daha güvende hissediyorum.
Paul T
iOS kullanıcısı
ÖMER FARUK FAKIOĞLU
@omerffakioglu
İntegral, matematikte türevin tam tersi işlemidir ve sürekli değerlerin toplamını bulmanın bir yoludur. Bu konu 11. sınıf matematik müfredatının en önemli konularından biridir ve hem belirsiz hem de belirli olmak üzere iki farklı türü bulunur.

Tüm belgeleri görebilirsin
Notlarını Yükselt
Milyonlarca öğrenciye katıl
İntegralı anlamanın en kolay yolu onu türevin tersi olarak düşünmektir. Türev alırken fonksiyondan elde ettiğimiz şeyi, integral alırken geri elde ederiz.
Türev aldığımızda sabit sayılar kaybolur çünkü sabitin türevi sıfırdır. Bu yüzden integral alırken sonuca +C sabiti eklenir. Örneğin, 2x-3 ve 2x+1 fonksiyonlarının türevi aynıdır (ikisi de 2), ama integrallerinde C sabiti farkı yaratır.
İntegraller iki türe ayrılır: Belirsiz integral (sınırları olmayan) ∫f(x)dx = F(x)+C şeklinde yazılır. Belirli integral ise alt ve üst sınırları olan ∫ᵃᵇf(x)dx şeklindedir.
Önemli: İntegral sembolü ∫, toplama anlamına gelen "S" harfinden gelir. İntegral aslında sürekli değerlerde toplama işlemi yapar.

Tüm belgeleri görebilirsin
Notlarını Yükselt
Milyonlarca öğrenciye katıl
Sabit sayının integrali çok basittir: sabitin yanına x gelir. ∫3dx = 3x + C gibi. Bu kural türevden gelir çünkü 3x'in türevi 3'tür.
Üslü fonksiyonlar için temel kural: üssü bir artır, yeni üsse böl. ∫xⁿdx = xⁿ⁺¹/ + C. Örneğin ∫x²dx = x³/3 + C olur.
Katsayı çıkarma kuralı çok kullanışlıdır: ∫af(x)dx = a∫f(x)dx. Yani sabit çarpanları integral işaretinin dışına çıkarabilirsin. Toplama-çıkarma kuralı da benzer şekilde: ∫(f(x) ± g(x))dx = ∫f(x)dx ± ∫g(x)dx.
Püf Noktası: Karekök ifadeleri üslü şekilde yazarak integral alma kurallarını daha kolay uygulayabilirsin.

Tüm belgeleri görebilirsin
Notlarını Yükselt
Milyonlarca öğrenciye katıl
Parantezli fonksiyonlar için özel bir kural var: ∫ⁿdx = ⁿ⁺¹/ + C. Yani üssü bir artır, hem yeni üsse hem de parantezin türevine böl.
Dikkat et: Bu kural sadece parantez içi 1. derece olduğunda geçerli. ∫⁷dx gibi ifadelerde bu kuralı kullanamazsın çünkü parantez içi 2. derece.
Üstel fonksiyonlar da benzer mantıkla çalışır: ∫eˣdx = eˣ + C, ∫e³ˣdx = e³ˣ/3 + C. Üstel fonksiyon aynen yazılır, üssün türevine bölünür.
Genel üstel fonksiyonlar için: ∫aᵐˣdx = aᵐˣ/(m·lna) + C. Burada üstel fonksiyon aynen yazılır, üssün türevine ve ln(a)'ya bölünür.
Uyarı: Bu kurallar sadece üss 1. derece olduğunda geçerli! ∫eˣ²dx veya ∫xe^x dx gibi ifadeler için farklı yöntemler gerekir.

Tüm belgeleri görebilirsin
Notlarını Yükselt
Milyonlarca öğrenciye katıl
1/x'in integrali özeldir: ∫dx = ln|x| + C. Genel olarak ∫1/dx = ln|ax+b|/a + C şeklinde yazılır.
Sinüs ve kosinüs integralleri birbirinin tersidir: ∫sindx = -cos/a + C ve ∫cosdx = sin/a + C. Dikkat et, sinüsün integralinde eksi işaret var!
Tanjant ve kotanjant için özel ifadeler var: ∫dx = ∫sec²x dx = tanx + C ve ∫dx = ∫cosec²x dx = -cotx + C.
Diğer trigonometrik fonksiyonlar: ∫tanx dx = -ln|cosx| + C, ∫cotx dx = ln|sinx| + C, ∫secx dx = ln|secx + tanx| + C.
Hatırlatma: Trigonometrik integrallerde parantez içi yine 1. derece olmalı. 2. ve daha yüksek dereceli ifadeler için özel yöntemler gerekir.

Tüm belgeleri görebilirsin
Notlarını Yükselt
Milyonlarca öğrenciye katıl
Ters trigonometrik fonksiyonlar çıkan özel integral türleri vardır. En önemlisi: ∫dx/ = arctan/a + C.
Ters sinüs çıkan integral: ∫dx/√ = arcsin/a + C. Bu tür integraller genelde geometrik problemlerde karşına çıkar.
Bu integraller doğrudan ezberlenecek türlerdir çünkü temel kurallarla çözülemezler. Sınav öncesi bu özel durumları mutlaka tekrarla.
Not: Bu özel integral türleri genelde daha karmaşık problemlerin parçası olarak gelir. Bunları tanımak önemli çünkü zaman kazandırır.

Tüm belgeleri görebilirsin
Notlarını Yükselt
Milyonlarca öğrenciye katıl
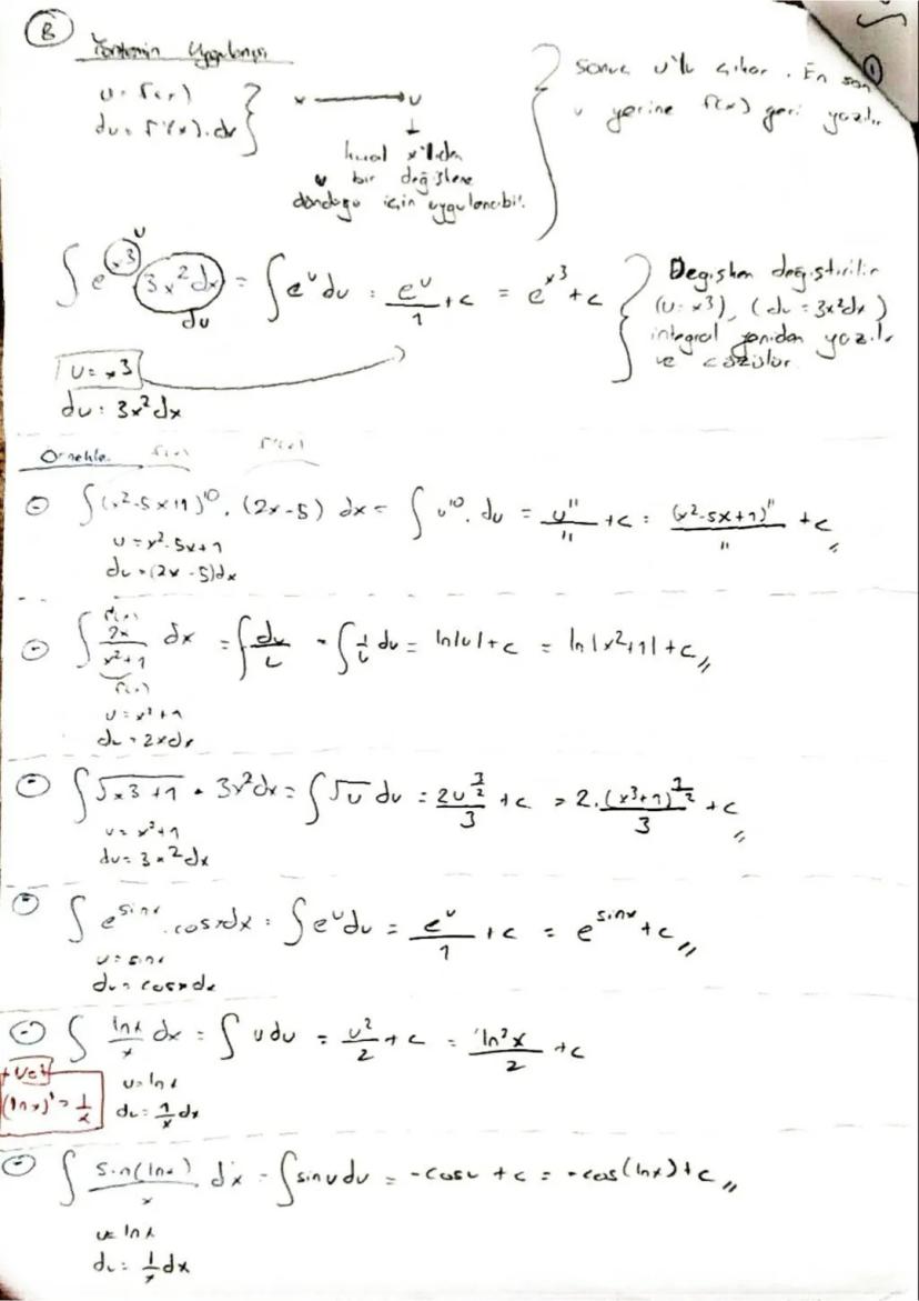
Temel kurallar işe yaramadığında integral alma yöntemlerine başvuruyoruz. Bunlar: değişken değiştirme, kısmi integral, kesirlere ayırma ve trigonometrik dönüşüm.
Değişken değiştirme yöntemi en sık kullanılan yöntemdir. Bu yöntem için f(x) ve f'(x)'in çarpım halinde olması gerekir: ∫f(x)·f'(x)dx şeklinde.
Yöntem şöyle uygulanır: u = f(x) denir, du = f'(x)dx yazılır, sonra integral ∫du şekline dönüştürülür. Sonucu bulup u yerine f(x)'i geri yazarsın.
Örnek: ∫x³·3x²dx integralinde u = x³, du = 3x²dx diyerek ∫u du = u²/2 + C = (x³)²/2 + C elde ederiz.
Püf Noktası: Değişken değiştirmede u'yu nasıl seçeceğini anlamak pratikle gelir. İçteki fonksiyonu u yapmak genelde işe yarar.

Tüm belgeleri görebilirsin
Notlarını Yükselt
Milyonlarca öğrenciye katıl
Kısmi integral farklı türdeki fonksiyonların çarpımı olduğu integraller için kullanılır. LAPTÜ sıralaması hangi fonksiyonun u, hangisinin dv olacağını belirler.
LAPTÜ sıralaması: Logaritma - Arctan - Polinom - Trigonometrik - Üstel. Sol tarafta olan fonksiyon u olur, gerisi dv olur.
Formül: ∫u dv = uv - ∫v du. Bu formülü uygularken üç adım var: 1) u ve dv'yi belirle, 2) du ve v'yi bul, 3) formülü uygula.
Örnek: ∫xe^x dx için u = x (polinom), dv = e^x dx (üstel). Sonuç: xe^x - e^x + C.
Dikkat: Kısmi integral sadece çarpım durumundaki fonksiyonları çözer. Bölüm durumundakileri çözemez!

Tüm belgeleri görebilirsin
Notlarını Yükselt
Milyonlarca öğrenciye katıl

Tüm belgeleri görebilirsin
Notlarını Yükselt
Milyonlarca öğrenciye katıl

Tüm belgeleri görebilirsin
Notlarını Yükselt
Milyonlarca öğrenciye katıl

Tüm belgeleri görebilirsin
Notlarını Yükselt
Milyonlarca öğrenciye katıl
Yapay zeka arkadaşımız öğrencilerin ihtiyaçlarına göre özel olarak tasarlanmıştır. Platformda bulunan milyonlarca içeriğe dayanarak öğrencilere gerçekten anlamlı ve ilgili yanıtlar verebiliyoruz. Ancak mesele sadece cevaplar değil, refakatçi aynı zamanda kişiselleştirilmiş öğrenme planları, sınavlar veya sohbet içerikleri ve öğrencilerin becerilerine ve gelişimlerine dayalı %100 kişiselleştirme ile öğrencilere günlük öğrenme zorluklarında rehberlik ediyor.
Uygulamayı Google Play Store ve Apple App Store'dan indirebilirsiniz.
Knowunity uygulaması ücretsiz! Uygulamamız çok yakında indirmeye hazır olacak, bekle bizi. 💙
1
Akıllı Araçlar YENİ
Bu notu şunlara dönüştür: ✓ 50+ Alıştırma Sorusu ✓ Etkileşimli Flash Kartları ✓ Tam Deneme Sınavı ✓ Kompozisyon Taslakları
Tyt Matematik Kavram Haritası özet
App Store
Google Play
Uygulama çok kolay kullanılıyor ve güzel tasarlanmış. Şu ana kadar aradığım her şeyi buldum ve sunumlardan çok şey öğrendim! Kesinlikle ödevlerim için hep kullanacağım!
A.S.
iOS kullanıcısı
Uygulama çok iyi. Çok fazla ders notu ve yardımlaşma var. Örneğin benim problem yaşadığım bir ders Geometriydi ve ANINDA yardım ettiler beraber hem sorularımı çözdük hem konu anlatımı buldum. Herkese tavsiye ederim.
S.L.
Android kullanıcısı
BEN ŞOK. Reklamını sık sık gördüğüm için uygulamayı denedim ve gerçekten hayran kaldım. Bu uygulama okul için tam ihtiyacım olan şey. Anında ödev yardımı, konu anlatımı, örnek sınavlar, flaşkartlar hepsi hepsi var, şiddetle tavsiye ederim ✅
A.
iOS kullanıcısı
Knowunity'yi keşfedinceye kadar ödevlerimi zamanında tamamlamakta zorlanıyordum, Knowunity sadece kendi ders notlarımı yüklemeyi kolaylaştırmakla kalmıyor, aynı zamanda çalışmamı daha hızlı ve verimli hale getiren harika özetler de sunuyor.
Thomas R
iOS kullanıcısı
Ödevlerim için önemli bilgilerin tümünü bulmak her zaman bir zorluktu - Knowunity'yi kullanmaya başladığımdan beri, ders notlarımı kolayca yükleyebilir ve başkalarının özetlerinden faydalanabilirim, bu da organizasyon konusunda bana çok yardımcı oluyor.
Lisa M
Android kullanıcısı
Ders çalışırken genellikle yeterince genel bakışa sahip olmadığımı hissederdim, ama Knowunity'yi kullanmaya başladığımdan beri bu artık sorun değil - ders notlarımı yüklüyorum ve platformda her zaman yardımcı özetler buluyorum, bu da öğrenmemi çok daha kolaylaştırıyor.
David K
iOS kullanıcısı
Uygulama acayip iyi! Konuyu yazıyorum hemen yanıt alıyorum. Bi şeyi anlamak için 10 tane youtube videosu izlemem gerekmiyor. Kesssinlikle tavsiye ederim!
Sudenaz Ocak
Android kullanıcısı
Matematikte baya kötüydüm ama bu uygulama sayesinde şimdi daha iyiyim. Uygulamayı yapanlara için çok teşekkürler!
G.B.
Android kullanıcısı
Sunumlarım için tüm bilgileri toplamak gerçekten zordu. Ama Knowunity'yi kullanmaya başladığımdan beri, notlarımı yüklüyorum ve başkalarından harika özetler buluyorum - bu da çalışmamı çok daha verimli hale getiriyor!
Julia S
Android kullanıcısı
Tüm çalışma materyalleriyle sürekli stres altındaydım, ama Knowunity'yi kullanmaya başladığımdan beri, notlarımı yüklüyor ve başkalarının harika özetlerine bakıyorum - her şeyi daha iyi yönetmemi sağlıyor ve çok daha az stresli.
Marco B
iOS kullanıcısı
QUİZLER VE FLASHCARDLAR ÇOK FAYDALI VE Knowunity AI'I ÇOK SEVİYORUM. AYRICA TAM OLARAK CHATGPT GİBİ AMA DAHA AKILLI!! RİMEL SORUNLARIMDA DA YARDIM ETTİ!! GERÇEK DERSLERİMDE DE TABII Kİ! DUHHH 😍😁😲🤑💗✨🎀😮
Sarah L
Android kullanıcısı
Eskiden okul materyallerini Google'da aramakla saatler harcardım, ama şimdi sadece notlarımı Knowunity'ye yüklüyorum ve başkalarının faydalı özetlerine bakıyorum - sınavlara hazırlanırken kendimi çok daha güvende hissediyorum.
Paul T
iOS kullanıcısı
Uygulama çok kolay kullanılıyor ve güzel tasarlanmış. Şu ana kadar aradığım her şeyi buldum ve sunumlardan çok şey öğrendim! Kesinlikle ödevlerim için hep kullanacağım!
A.S.
iOS kullanıcısı
Uygulama çok iyi. Çok fazla ders notu ve yardımlaşma var. Örneğin benim problem yaşadığım bir ders Geometriydi ve ANINDA yardım ettiler beraber hem sorularımı çözdük hem konu anlatımı buldum. Herkese tavsiye ederim.
S.L.
Android kullanıcısı
BEN ŞOK. Reklamını sık sık gördüğüm için uygulamayı denedim ve gerçekten hayran kaldım. Bu uygulama okul için tam ihtiyacım olan şey. Anında ödev yardımı, konu anlatımı, örnek sınavlar, flaşkartlar hepsi hepsi var, şiddetle tavsiye ederim ✅
A.
iOS kullanıcısı
Knowunity'yi keşfedinceye kadar ödevlerimi zamanında tamamlamakta zorlanıyordum, Knowunity sadece kendi ders notlarımı yüklemeyi kolaylaştırmakla kalmıyor, aynı zamanda çalışmamı daha hızlı ve verimli hale getiren harika özetler de sunuyor.
Thomas R
iOS kullanıcısı
Ödevlerim için önemli bilgilerin tümünü bulmak her zaman bir zorluktu - Knowunity'yi kullanmaya başladığımdan beri, ders notlarımı kolayca yükleyebilir ve başkalarının özetlerinden faydalanabilirim, bu da organizasyon konusunda bana çok yardımcı oluyor.
Lisa M
Android kullanıcısı
Ders çalışırken genellikle yeterince genel bakışa sahip olmadığımı hissederdim, ama Knowunity'yi kullanmaya başladığımdan beri bu artık sorun değil - ders notlarımı yüklüyorum ve platformda her zaman yardımcı özetler buluyorum, bu da öğrenmemi çok daha kolaylaştırıyor.
David K
iOS kullanıcısı
Uygulama acayip iyi! Konuyu yazıyorum hemen yanıt alıyorum. Bi şeyi anlamak için 10 tane youtube videosu izlemem gerekmiyor. Kesssinlikle tavsiye ederim!
Sudenaz Ocak
Android kullanıcısı
Matematikte baya kötüydüm ama bu uygulama sayesinde şimdi daha iyiyim. Uygulamayı yapanlara için çok teşekkürler!
G.B.
Android kullanıcısı
Sunumlarım için tüm bilgileri toplamak gerçekten zordu. Ama Knowunity'yi kullanmaya başladığımdan beri, notlarımı yüklüyorum ve başkalarından harika özetler buluyorum - bu da çalışmamı çok daha verimli hale getiriyor!
Julia S
Android kullanıcısı
Tüm çalışma materyalleriyle sürekli stres altındaydım, ama Knowunity'yi kullanmaya başladığımdan beri, notlarımı yüklüyor ve başkalarının harika özetlerine bakıyorum - her şeyi daha iyi yönetmemi sağlıyor ve çok daha az stresli.
Marco B
iOS kullanıcısı
QUİZLER VE FLASHCARDLAR ÇOK FAYDALI VE Knowunity AI'I ÇOK SEVİYORUM. AYRICA TAM OLARAK CHATGPT GİBİ AMA DAHA AKILLI!! RİMEL SORUNLARIMDA DA YARDIM ETTİ!! GERÇEK DERSLERİMDE DE TABII Kİ! DUHHH 😍😁😲🤑💗✨🎀😮
Sarah L
Android kullanıcısı
Eskiden okul materyallerini Google'da aramakla saatler harcardım, ama şimdi sadece notlarımı Knowunity'ye yüklüyorum ve başkalarının faydalı özetlerine bakıyorum - sınavlara hazırlanırken kendimi çok daha güvende hissediyorum.
Paul T
iOS kullanıcısı