Üslü sayılarla ilgili bu test, üslerin hesaplanması ve üslü ifadeler... Daha fazla göster
Ders notlarını görmek için kaydolÜcretsiz!
Tüm belgeleri görebilirsin
Notlarını Yükselt
Milyonlarca öğrenciye katıl
Knowunity AI
Daha fazla
Dersler
Triangle Congruence and Similarity Theorems
Triangle Properties and Classification
Linear Equations and Graphs
Geometric Angle Relationships
Trigonometric Functions and Identities
Equation Solving Techniques
Circle Geometry Fundamentals
Division Operations and Methods
Basic Differentiation Rules
Exponent and Logarithm Properties
Tüm konuları göster
Human Organ Systems
Reproductive Cell Cycles
Biological Sciences Subdisciplines
Cellular Energy Metabolism
Autotrophic Energy Processes
Inheritance Patterns and Principles
Biomolecular Structure and Organization
Cell Cycle and Division Mechanics
Cellular Organization and Development
Biological Structural Organization
Tüm konuları göster
Chemical Sciences and Applications
Atomic Structure and Composition
Molecular Electron Structure Representation
Atomic Electron Behavior
Matter Properties and Water
Mole Concept and Calculations
Gas Laws and Behavior
Periodic Table Organization
Chemical Thermodynamics Fundamentals
Chemical Bond Types and Properties
Tüm konuları göster
European Renaissance and Enlightenment
European Cultural Movements 800-1920
American Revolution Era 1763-1797
American Civil War 1861-1865
Global Imperial Systems
Mongol and Chinese Dynasties
U.S. Presidents and World Leaders
Historical Sources and Documentation
World Wars Era and Impact
World Religious Systems
Tüm konuları göster
Classic and Contemporary Novels
Literary Character Analysis
Rhetorical Theory and Practice
Classic Literary Narratives
Reading Analysis and Interpretation
Narrative Structure and Techniques
English Language Components
Influential English-Language Authors
Basic Sentence Structure
Narrative Voice and Perspective
Tüm konuları göster
747
•
Güncellendi Mar 20, 2026
•
NİSA Dunlayıcı
@nisa_.dnlyc
Üslü sayılarla ilgili bu test, üslerin hesaplanması ve üslü ifadeler... Daha fazla göster








Üslü sayılarla işlemler yaparken öncelikle temel kuralları hatırlamamız gerekiyor. İşlemlerde negatif üsler, sıfır üssü ve parantezli üslü ifadeler dikkatli hesaplanmalıdır.
Temel işlemlerde üslü sayıları hesaplarken, önce parantez içindeki değerleri hesaplamalıyız. Örneğin, ile farklı sonuçlar verir. İlkinde önce -2'nin 4. kuvveti alınır (pozitif sonuç), ikincisinde ise 2'nin 4. kuvveti alınıp başına eksi getirilir.
Negatif üslerde dönüşümünü kullanmayı unutmayın. Ayrıca, çift üslü sayılarda işaretin daima pozitif, tek üslü sayılarda ise tabanın işaretine bağlı olduğunu hatırlayın.
⭐ İpucu: Üslü sayılarda herhangi bir sayının 0. kuvvetinin 1'e eşit olduğunu unutmayın. Örneğin dir.
İşlemleri adım adım yaparak, özellikle daha karmaşık ifadeleri küçük parçalara ayırarak çözebilirsiniz. Bu, hesaplamalarda hata yapma riskinizi azaltır.

Üslü sayılarla karşılaşınca, üslerin birleştirilmesi ve ayrıştırılması kurallarını doğru kullanmak çözümü kolaylaştırır. Örneğin, aynı tabanlı üslü sayıları çarparken üsleri toplar, bölerken ise çıkarırız.
Karışık işlemlerde öncelikle üslü sayıların değerlerini basitleştirmek gerekir. Özellikle gibi ifadelerde, şeklinde basitleştirme yapabiliriz. Örneğin, olacaktır.
Üslü ifadelerde negatif işaretlere dikkat etmelisiniz. Örneğin, ifadesi her zaman pozitif olurken, ifadesi negatif sonuç verir.
💡 Not: Bir üslü ifade sorusuyla karşılaştığınızda, önce ifadeyi mümkün olduğunca basitleştirmeye çalışın. Bazen bir ifade aynı tabana indirgenebilir ve işlem kolaylaşır.
İfadeleri kendi terimleri cinsinden yazmak da yararlı olabilir. Örneğin, $5^x = x5^{x+1}5 \cdot x$ olacaktır. Bu tür dönüşümler karmaşık ifadelerin çözümünü kolaylaştırır.

Üslü sayılarda, tabanların ve üslerin farklı değerler alması durumunda işlem yöntemlerimiz değişebilir. Özellikle üs değişkenli denklemleri çözerken sistematik yaklaşım gerekir.
Üslü ifadelerde aynı tabana sahip ifadeleri birleştirmek işimizi kolaylaştırır. Örneğin, $5^{x-2} + 1 = 50 \cdot 5^{2-x}$ denklemi, tabanları aynı kefede toplayarak çözülebilir.
Farklı üsler içeren işlemlerde, ortak ifadeleri belirleyip, benzer ifadeleri grup halinde düşünmek yardımcı olur. Örneğin, ifadesinde, ortak çarpan $3^{-6}$ şeklinde çıkarılabilir.
🔑 Püf noktası: Üslü ifadelerde aynı tabanları kullanmak için, taban dönüşümleri yapabilirsiniz. Örneğin $125^a = ^a = 5^{3a}$ şeklinde yazılabilir.
Ayrıca, üslü ifadelerin birbirlerine oranlarında dikkatli olmalısınız. Örneğin ifadesinde, üsleri çarparak elde edebilir ve negatif işaretlerin üslere göre nasıl değiştiğini takip edebilirsiniz.

Üslü ifadeler içeren denklemleri çözerken, önce her iki tarafı aynı tabana dönüştürmeyi düşünmelisiniz. Bu, denklemi basitleştirir ve üsler arasında karşılaştırma yapmanızı sağlar.
Örneğin $3^{x+1} = 633^{x+1} = 2 \cdot 3$ şeklinde. Bu yöntem, farklı tabanlı üslü denklemleri çözmede çok kullanışlıdır.
Üslü denklemlerde bazen birden fazla değişkeni içeren ifadelerle karşılaşabiliriz. Böyle durumlarda, ek bilgilerden yararlanarak değişkenler arasında ilişkiler kurmamız gerekir. Örneğin $8^{x+1} = 2168 = 2^32$ tabanında ifade edebiliriz.
⚠️ Dikkat: Üslü ifadelerle ilgili denklemlerde logaritma almanın çözümü kolaylaştırdığını unutmayın. Ancak bu örneklerde doğrudan üs özelliklerini kullanarak da çözüm yapabilirsiniz.
Bazen denklemlerde üslü ifadeler farklı taban ve üslerle karşımıza çıkabilir. Bu durumda ortak bir taban bulmak ya da değişkenleri bir başka değişken cinsinden ifade etmek işimizi kolaylaştırır.

Üslü denklemlerde bazen birkaç üslü ifadenin toplamı veya farkı ile karşılaşabiliriz. Bu durumda, ortak faktörleri bulup çarpanlarına ayırma yöntemini kullanabilirsiniz.
Örneğin, $3^{x+2} - 3^{x+1} - 3^x = 4053^x3^x = 405$ şeklinde yazabiliriz. Bu, çözümü oldukça kolaylaştırır.
Bazı durumlarda, değişkenlerin birbirine bağlı olduğu üslü ifadelerle karşılaşırız. Örneğin, ve gibi. Bu tür durumlarda, istenilen ifadeyi x ve y cinsinden yazabilmek için cebirsel manipülasyonlar gerekir.
🔍 Önemli: Üslü denklemlerde bazen farklı üslü ifadelerin eşit olması için gerekli koşulları bulmanız gerekebilir. Örneğin, için, parantez içindeki ifadelerin eşit olması gerektiğini görebiliriz.
Üslü denklemlerde köklü ifadelere dönüşümler de yapabilirsiniz. denkleminde, her iki tarafın 4. dereceden kökünü alarak şeklinde çözüme ulaşabilirsiniz.

Üslü ifadeler içeren eşitsizlikleri çözerken, tabanın 1'den büyük veya küçük olmasına dikkat etmek gerekir. Bu, eşitsizliğin yönünü etkileyebilir.
Örneğin, eşitsizliğinde, taban 1'den küçük olduğu için, üs büyüdükçe ifadenin değeri küçülür. Bu durumda eşitsizliği çözerken yön değiştirecektir.
Üslü ifadelerle sistem denklemlerde, denklemleri uygun şekilde birleştirmek çözüme ulaşmanın anahtarıdır. Örneğin, $3^a = \frac{9^b}{2^{a+b-2}}9^b3^{2b}3$ tabanında ortak bir ifade elde edebiliriz.
🧠 Strateji: Eşitsizlikleri çözerken, her iki tarafın logaritmasını almak çözümü kolaylaştırabilir. Ancak tabanın 1'den büyük veya küçük olmasına göre eşitsizlik yönünü kontrol etmeyi unutmayın!
Bazı durumlarda, üslerle ilgili birden fazla değişken içeren denklemler verilir. Bu durumda, değişkenlerin toplamı gibi ifadeleri bulmak için, verilen denklemleri uygun şekilde düzenlemeniz gerekebilir.

Farklı tabanlı ve üslü sayıları karşılaştırırken, logaritma kullanmak veya sayıları aynı tabana dönüştürmek işinizi kolaylaştırır. Büyüklük karşılaştırması yaparken sistematik olmak önemlidir.
Örneğin, $3^{40}4^{30}5^{20}$ gibi büyük üslü sayıları karşılaştırırken, logaritma alarak veya her sayıyı aynı üsse sahip olacak şekilde düzenleyerek karşılaştırma yapabilirsiniz.
Üslü ifadelerde, verilen değişkenler arasında dönüşümler yaparak yeni ifadeler elde edebilirsiniz. Örneğin, $2^x = a3^x = b(108)^x108 = 2^2 \times 3^3$ şeklinde ayrıştırabilirsiniz.
🌟 Örnek: Eğer $2^x = a3^x = b5^x = c3600^x3600 = 2^4 \times 3^2 \times 5^23600^x = ^x \times ^x \times ^x = a^4 \times b^2 \times c^2$ olur.
Son olarak, $3^a = 5^b\frac{a}{b}$ oranını bularak, daha karmaşık ifadeleri hesaplayabilirsiniz. Bu tür sorularda, oranları kullanarak ifadeleri basitleştirmeyi düşünün.
Yapay zeka arkadaşımız öğrencilerin ihtiyaçlarına göre özel olarak tasarlanmıştır. Platformda bulunan milyonlarca içeriğe dayanarak öğrencilere gerçekten anlamlı ve ilgili yanıtlar verebiliyoruz. Ancak mesele sadece cevaplar değil, refakatçi aynı zamanda kişiselleştirilmiş öğrenme planları, sınavlar veya sohbet içerikleri ve öğrencilerin becerilerine ve gelişimlerine dayalı %100 kişiselleştirme ile öğrencilere günlük öğrenme zorluklarında rehberlik ediyor.
Uygulamayı Google Play Store ve Apple App Store'dan indirebilirsiniz.
Knowunity uygulaması ücretsiz! Uygulamamız çok yakında indirmeye hazır olacak, bekle bizi. 💙
Tyt Matematik Kavram Haritası özet
App Store
Google Play
Uygulama çok kolay kullanılıyor ve güzel tasarlanmış. Şu ana kadar aradığım her şeyi buldum ve sunumlardan çok şey öğrendim! Kesinlikle ödevlerim için hep kullanacağım!
A.S.
iOS kullanıcısı
Uygulama çok iyi. Çok fazla ders notu ve yardımlaşma var. Örneğin benim problem yaşadığım bir ders Geometriydi ve ANINDA yardım ettiler beraber hem sorularımı çözdük hem konu anlatımı buldum. Herkese tavsiye ederim.
S.L.
Android kullanıcısı
BEN ŞOK. Reklamını sık sık gördüğüm için uygulamayı denedim ve gerçekten hayran kaldım. Bu uygulama okul için tam ihtiyacım olan şey. Anında ödev yardımı, konu anlatımı, örnek sınavlar, flaşkartlar hepsi hepsi var, şiddetle tavsiye ederim ✅
A.
iOS kullanıcısı
Knowunity'yi keşfedinceye kadar ödevlerimi zamanında tamamlamakta zorlanıyordum, Knowunity sadece kendi ders notlarımı yüklemeyi kolaylaştırmakla kalmıyor, aynı zamanda çalışmamı daha hızlı ve verimli hale getiren harika özetler de sunuyor.
Thomas R
iOS kullanıcısı
Ödevlerim için önemli bilgilerin tümünü bulmak her zaman bir zorluktu - Knowunity'yi kullanmaya başladığımdan beri, ders notlarımı kolayca yükleyebilir ve başkalarının özetlerinden faydalanabilirim, bu da organizasyon konusunda bana çok yardımcı oluyor.
Lisa M
Android kullanıcısı
Ders çalışırken genellikle yeterince genel bakışa sahip olmadığımı hissederdim, ama Knowunity'yi kullanmaya başladığımdan beri bu artık sorun değil - ders notlarımı yüklüyorum ve platformda her zaman yardımcı özetler buluyorum, bu da öğrenmemi çok daha kolaylaştırıyor.
David K
iOS kullanıcısı
Uygulama acayip iyi! Konuyu yazıyorum hemen yanıt alıyorum. Bi şeyi anlamak için 10 tane youtube videosu izlemem gerekmiyor. Kesssinlikle tavsiye ederim!
Sudenaz Ocak
Android kullanıcısı
Matematikte baya kötüydüm ama bu uygulama sayesinde şimdi daha iyiyim. Uygulamayı yapanlara için çok teşekkürler!
G.B.
Android kullanıcısı
Sunumlarım için tüm bilgileri toplamak gerçekten zordu. Ama Knowunity'yi kullanmaya başladığımdan beri, notlarımı yüklüyorum ve başkalarından harika özetler buluyorum - bu da çalışmamı çok daha verimli hale getiriyor!
Julia S
Android kullanıcısı
Tüm çalışma materyalleriyle sürekli stres altındaydım, ama Knowunity'yi kullanmaya başladığımdan beri, notlarımı yüklüyor ve başkalarının harika özetlerine bakıyorum - her şeyi daha iyi yönetmemi sağlıyor ve çok daha az stresli.
Marco B
iOS kullanıcısı
QUİZLER VE FLASHCARDLAR ÇOK FAYDALI VE Knowunity AI'I ÇOK SEVİYORUM. AYRICA TAM OLARAK CHATGPT GİBİ AMA DAHA AKILLI!! RİMEL SORUNLARIMDA DA YARDIM ETTİ!! GERÇEK DERSLERİMDE DE TABII Kİ! DUHHH 😍😁😲🤑💗✨🎀😮
Sarah L
Android kullanıcısı
Eskiden okul materyallerini Google'da aramakla saatler harcardım, ama şimdi sadece notlarımı Knowunity'ye yüklüyorum ve başkalarının faydalı özetlerine bakıyorum - sınavlara hazırlanırken kendimi çok daha güvende hissediyorum.
Paul T
iOS kullanıcısı
Uygulama çok kolay kullanılıyor ve güzel tasarlanmış. Şu ana kadar aradığım her şeyi buldum ve sunumlardan çok şey öğrendim! Kesinlikle ödevlerim için hep kullanacağım!
A.S.
iOS kullanıcısı
Uygulama çok iyi. Çok fazla ders notu ve yardımlaşma var. Örneğin benim problem yaşadığım bir ders Geometriydi ve ANINDA yardım ettiler beraber hem sorularımı çözdük hem konu anlatımı buldum. Herkese tavsiye ederim.
S.L.
Android kullanıcısı
BEN ŞOK. Reklamını sık sık gördüğüm için uygulamayı denedim ve gerçekten hayran kaldım. Bu uygulama okul için tam ihtiyacım olan şey. Anında ödev yardımı, konu anlatımı, örnek sınavlar, flaşkartlar hepsi hepsi var, şiddetle tavsiye ederim ✅
A.
iOS kullanıcısı
Knowunity'yi keşfedinceye kadar ödevlerimi zamanında tamamlamakta zorlanıyordum, Knowunity sadece kendi ders notlarımı yüklemeyi kolaylaştırmakla kalmıyor, aynı zamanda çalışmamı daha hızlı ve verimli hale getiren harika özetler de sunuyor.
Thomas R
iOS kullanıcısı
Ödevlerim için önemli bilgilerin tümünü bulmak her zaman bir zorluktu - Knowunity'yi kullanmaya başladığımdan beri, ders notlarımı kolayca yükleyebilir ve başkalarının özetlerinden faydalanabilirim, bu da organizasyon konusunda bana çok yardımcı oluyor.
Lisa M
Android kullanıcısı
Ders çalışırken genellikle yeterince genel bakışa sahip olmadığımı hissederdim, ama Knowunity'yi kullanmaya başladığımdan beri bu artık sorun değil - ders notlarımı yüklüyorum ve platformda her zaman yardımcı özetler buluyorum, bu da öğrenmemi çok daha kolaylaştırıyor.
David K
iOS kullanıcısı
Uygulama acayip iyi! Konuyu yazıyorum hemen yanıt alıyorum. Bi şeyi anlamak için 10 tane youtube videosu izlemem gerekmiyor. Kesssinlikle tavsiye ederim!
Sudenaz Ocak
Android kullanıcısı
Matematikte baya kötüydüm ama bu uygulama sayesinde şimdi daha iyiyim. Uygulamayı yapanlara için çok teşekkürler!
G.B.
Android kullanıcısı
Sunumlarım için tüm bilgileri toplamak gerçekten zordu. Ama Knowunity'yi kullanmaya başladığımdan beri, notlarımı yüklüyorum ve başkalarından harika özetler buluyorum - bu da çalışmamı çok daha verimli hale getiriyor!
Julia S
Android kullanıcısı
Tüm çalışma materyalleriyle sürekli stres altındaydım, ama Knowunity'yi kullanmaya başladığımdan beri, notlarımı yüklüyor ve başkalarının harika özetlerine bakıyorum - her şeyi daha iyi yönetmemi sağlıyor ve çok daha az stresli.
Marco B
iOS kullanıcısı
QUİZLER VE FLASHCARDLAR ÇOK FAYDALI VE Knowunity AI'I ÇOK SEVİYORUM. AYRICA TAM OLARAK CHATGPT GİBİ AMA DAHA AKILLI!! RİMEL SORUNLARIMDA DA YARDIM ETTİ!! GERÇEK DERSLERİMDE DE TABII Kİ! DUHHH 😍😁😲🤑💗✨🎀😮
Sarah L
Android kullanıcısı
Eskiden okul materyallerini Google'da aramakla saatler harcardım, ama şimdi sadece notlarımı Knowunity'ye yüklüyorum ve başkalarının faydalı özetlerine bakıyorum - sınavlara hazırlanırken kendimi çok daha güvende hissediyorum.
Paul T
iOS kullanıcısı
NİSA Dunlayıcı
@nisa_.dnlyc
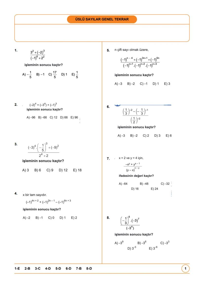
Üslü sayılarla ilgili bu test, üslerin hesaplanması ve üslü ifadeler içeren denklem ve eşitsizliklerin çözümüyle ilgili temel becerileri kapsamaktadır. Üslü sayıların özelliklerini öğrenip uygulayarak bu tür matematiksel problemleri kolayca çözebilirsiniz.

Tüm belgeleri görebilirsin
Notlarını Yükselt
Milyonlarca öğrenciye katıl
Üslü sayılarla işlemler yaparken öncelikle temel kuralları hatırlamamız gerekiyor. İşlemlerde negatif üsler, sıfır üssü ve parantezli üslü ifadeler dikkatli hesaplanmalıdır.
Temel işlemlerde üslü sayıları hesaplarken, önce parantez içindeki değerleri hesaplamalıyız. Örneğin, ile farklı sonuçlar verir. İlkinde önce -2'nin 4. kuvveti alınır (pozitif sonuç), ikincisinde ise 2'nin 4. kuvveti alınıp başına eksi getirilir.
Negatif üslerde dönüşümünü kullanmayı unutmayın. Ayrıca, çift üslü sayılarda işaretin daima pozitif, tek üslü sayılarda ise tabanın işaretine bağlı olduğunu hatırlayın.
⭐ İpucu: Üslü sayılarda herhangi bir sayının 0. kuvvetinin 1'e eşit olduğunu unutmayın. Örneğin dir.
İşlemleri adım adım yaparak, özellikle daha karmaşık ifadeleri küçük parçalara ayırarak çözebilirsiniz. Bu, hesaplamalarda hata yapma riskinizi azaltır.

Tüm belgeleri görebilirsin
Notlarını Yükselt
Milyonlarca öğrenciye katıl
Üslü sayılarla karşılaşınca, üslerin birleştirilmesi ve ayrıştırılması kurallarını doğru kullanmak çözümü kolaylaştırır. Örneğin, aynı tabanlı üslü sayıları çarparken üsleri toplar, bölerken ise çıkarırız.
Karışık işlemlerde öncelikle üslü sayıların değerlerini basitleştirmek gerekir. Özellikle gibi ifadelerde, şeklinde basitleştirme yapabiliriz. Örneğin, olacaktır.
Üslü ifadelerde negatif işaretlere dikkat etmelisiniz. Örneğin, ifadesi her zaman pozitif olurken, ifadesi negatif sonuç verir.
💡 Not: Bir üslü ifade sorusuyla karşılaştığınızda, önce ifadeyi mümkün olduğunca basitleştirmeye çalışın. Bazen bir ifade aynı tabana indirgenebilir ve işlem kolaylaşır.
İfadeleri kendi terimleri cinsinden yazmak da yararlı olabilir. Örneğin, $5^x = x5^{x+1}5 \cdot x$ olacaktır. Bu tür dönüşümler karmaşık ifadelerin çözümünü kolaylaştırır.

Tüm belgeleri görebilirsin
Notlarını Yükselt
Milyonlarca öğrenciye katıl
Üslü sayılarda, tabanların ve üslerin farklı değerler alması durumunda işlem yöntemlerimiz değişebilir. Özellikle üs değişkenli denklemleri çözerken sistematik yaklaşım gerekir.
Üslü ifadelerde aynı tabana sahip ifadeleri birleştirmek işimizi kolaylaştırır. Örneğin, $5^{x-2} + 1 = 50 \cdot 5^{2-x}$ denklemi, tabanları aynı kefede toplayarak çözülebilir.
Farklı üsler içeren işlemlerde, ortak ifadeleri belirleyip, benzer ifadeleri grup halinde düşünmek yardımcı olur. Örneğin, ifadesinde, ortak çarpan $3^{-6}$ şeklinde çıkarılabilir.
🔑 Püf noktası: Üslü ifadelerde aynı tabanları kullanmak için, taban dönüşümleri yapabilirsiniz. Örneğin $125^a = ^a = 5^{3a}$ şeklinde yazılabilir.
Ayrıca, üslü ifadelerin birbirlerine oranlarında dikkatli olmalısınız. Örneğin ifadesinde, üsleri çarparak elde edebilir ve negatif işaretlerin üslere göre nasıl değiştiğini takip edebilirsiniz.

Tüm belgeleri görebilirsin
Notlarını Yükselt
Milyonlarca öğrenciye katıl
Üslü ifadeler içeren denklemleri çözerken, önce her iki tarafı aynı tabana dönüştürmeyi düşünmelisiniz. Bu, denklemi basitleştirir ve üsler arasında karşılaştırma yapmanızı sağlar.
Örneğin $3^{x+1} = 633^{x+1} = 2 \cdot 3$ şeklinde. Bu yöntem, farklı tabanlı üslü denklemleri çözmede çok kullanışlıdır.
Üslü denklemlerde bazen birden fazla değişkeni içeren ifadelerle karşılaşabiliriz. Böyle durumlarda, ek bilgilerden yararlanarak değişkenler arasında ilişkiler kurmamız gerekir. Örneğin $8^{x+1} = 2168 = 2^32$ tabanında ifade edebiliriz.
⚠️ Dikkat: Üslü ifadelerle ilgili denklemlerde logaritma almanın çözümü kolaylaştırdığını unutmayın. Ancak bu örneklerde doğrudan üs özelliklerini kullanarak da çözüm yapabilirsiniz.
Bazen denklemlerde üslü ifadeler farklı taban ve üslerle karşımıza çıkabilir. Bu durumda ortak bir taban bulmak ya da değişkenleri bir başka değişken cinsinden ifade etmek işimizi kolaylaştırır.

Tüm belgeleri görebilirsin
Notlarını Yükselt
Milyonlarca öğrenciye katıl
Üslü denklemlerde bazen birkaç üslü ifadenin toplamı veya farkı ile karşılaşabiliriz. Bu durumda, ortak faktörleri bulup çarpanlarına ayırma yöntemini kullanabilirsiniz.
Örneğin, $3^{x+2} - 3^{x+1} - 3^x = 4053^x3^x = 405$ şeklinde yazabiliriz. Bu, çözümü oldukça kolaylaştırır.
Bazı durumlarda, değişkenlerin birbirine bağlı olduğu üslü ifadelerle karşılaşırız. Örneğin, ve gibi. Bu tür durumlarda, istenilen ifadeyi x ve y cinsinden yazabilmek için cebirsel manipülasyonlar gerekir.
🔍 Önemli: Üslü denklemlerde bazen farklı üslü ifadelerin eşit olması için gerekli koşulları bulmanız gerekebilir. Örneğin, için, parantez içindeki ifadelerin eşit olması gerektiğini görebiliriz.
Üslü denklemlerde köklü ifadelere dönüşümler de yapabilirsiniz. denkleminde, her iki tarafın 4. dereceden kökünü alarak şeklinde çözüme ulaşabilirsiniz.

Tüm belgeleri görebilirsin
Notlarını Yükselt
Milyonlarca öğrenciye katıl
Üslü ifadeler içeren eşitsizlikleri çözerken, tabanın 1'den büyük veya küçük olmasına dikkat etmek gerekir. Bu, eşitsizliğin yönünü etkileyebilir.
Örneğin, eşitsizliğinde, taban 1'den küçük olduğu için, üs büyüdükçe ifadenin değeri küçülür. Bu durumda eşitsizliği çözerken yön değiştirecektir.
Üslü ifadelerle sistem denklemlerde, denklemleri uygun şekilde birleştirmek çözüme ulaşmanın anahtarıdır. Örneğin, $3^a = \frac{9^b}{2^{a+b-2}}9^b3^{2b}3$ tabanında ortak bir ifade elde edebiliriz.
🧠 Strateji: Eşitsizlikleri çözerken, her iki tarafın logaritmasını almak çözümü kolaylaştırabilir. Ancak tabanın 1'den büyük veya küçük olmasına göre eşitsizlik yönünü kontrol etmeyi unutmayın!
Bazı durumlarda, üslerle ilgili birden fazla değişken içeren denklemler verilir. Bu durumda, değişkenlerin toplamı gibi ifadeleri bulmak için, verilen denklemleri uygun şekilde düzenlemeniz gerekebilir.

Tüm belgeleri görebilirsin
Notlarını Yükselt
Milyonlarca öğrenciye katıl
Farklı tabanlı ve üslü sayıları karşılaştırırken, logaritma kullanmak veya sayıları aynı tabana dönüştürmek işinizi kolaylaştırır. Büyüklük karşılaştırması yaparken sistematik olmak önemlidir.
Örneğin, $3^{40}4^{30}5^{20}$ gibi büyük üslü sayıları karşılaştırırken, logaritma alarak veya her sayıyı aynı üsse sahip olacak şekilde düzenleyerek karşılaştırma yapabilirsiniz.
Üslü ifadelerde, verilen değişkenler arasında dönüşümler yaparak yeni ifadeler elde edebilirsiniz. Örneğin, $2^x = a3^x = b(108)^x108 = 2^2 \times 3^3$ şeklinde ayrıştırabilirsiniz.
🌟 Örnek: Eğer $2^x = a3^x = b5^x = c3600^x3600 = 2^4 \times 3^2 \times 5^23600^x = ^x \times ^x \times ^x = a^4 \times b^2 \times c^2$ olur.
Son olarak, $3^a = 5^b\frac{a}{b}$ oranını bularak, daha karmaşık ifadeleri hesaplayabilirsiniz. Bu tür sorularda, oranları kullanarak ifadeleri basitleştirmeyi düşünün.
Yapay zeka arkadaşımız öğrencilerin ihtiyaçlarına göre özel olarak tasarlanmıştır. Platformda bulunan milyonlarca içeriğe dayanarak öğrencilere gerçekten anlamlı ve ilgili yanıtlar verebiliyoruz. Ancak mesele sadece cevaplar değil, refakatçi aynı zamanda kişiselleştirilmiş öğrenme planları, sınavlar veya sohbet içerikleri ve öğrencilerin becerilerine ve gelişimlerine dayalı %100 kişiselleştirme ile öğrencilere günlük öğrenme zorluklarında rehberlik ediyor.
Uygulamayı Google Play Store ve Apple App Store'dan indirebilirsiniz.
Knowunity uygulaması ücretsiz! Uygulamamız çok yakında indirmeye hazır olacak, bekle bizi. 💙
8
Akıllı Araçlar YENİ
Bu notu şunlara dönüştür: ✓ 50+ Alıştırma Sorusu ✓ Etkileşimli Flash Kartları ✓ Tam Deneme Sınavı ✓ Kompozisyon Taslakları
Tyt Matematik Kavram Haritası özet
App Store
Google Play
Uygulama çok kolay kullanılıyor ve güzel tasarlanmış. Şu ana kadar aradığım her şeyi buldum ve sunumlardan çok şey öğrendim! Kesinlikle ödevlerim için hep kullanacağım!
A.S.
iOS kullanıcısı
Uygulama çok iyi. Çok fazla ders notu ve yardımlaşma var. Örneğin benim problem yaşadığım bir ders Geometriydi ve ANINDA yardım ettiler beraber hem sorularımı çözdük hem konu anlatımı buldum. Herkese tavsiye ederim.
S.L.
Android kullanıcısı
BEN ŞOK. Reklamını sık sık gördüğüm için uygulamayı denedim ve gerçekten hayran kaldım. Bu uygulama okul için tam ihtiyacım olan şey. Anında ödev yardımı, konu anlatımı, örnek sınavlar, flaşkartlar hepsi hepsi var, şiddetle tavsiye ederim ✅
A.
iOS kullanıcısı
Knowunity'yi keşfedinceye kadar ödevlerimi zamanında tamamlamakta zorlanıyordum, Knowunity sadece kendi ders notlarımı yüklemeyi kolaylaştırmakla kalmıyor, aynı zamanda çalışmamı daha hızlı ve verimli hale getiren harika özetler de sunuyor.
Thomas R
iOS kullanıcısı
Ödevlerim için önemli bilgilerin tümünü bulmak her zaman bir zorluktu - Knowunity'yi kullanmaya başladığımdan beri, ders notlarımı kolayca yükleyebilir ve başkalarının özetlerinden faydalanabilirim, bu da organizasyon konusunda bana çok yardımcı oluyor.
Lisa M
Android kullanıcısı
Ders çalışırken genellikle yeterince genel bakışa sahip olmadığımı hissederdim, ama Knowunity'yi kullanmaya başladığımdan beri bu artık sorun değil - ders notlarımı yüklüyorum ve platformda her zaman yardımcı özetler buluyorum, bu da öğrenmemi çok daha kolaylaştırıyor.
David K
iOS kullanıcısı
Uygulama acayip iyi! Konuyu yazıyorum hemen yanıt alıyorum. Bi şeyi anlamak için 10 tane youtube videosu izlemem gerekmiyor. Kesssinlikle tavsiye ederim!
Sudenaz Ocak
Android kullanıcısı
Matematikte baya kötüydüm ama bu uygulama sayesinde şimdi daha iyiyim. Uygulamayı yapanlara için çok teşekkürler!
G.B.
Android kullanıcısı
Sunumlarım için tüm bilgileri toplamak gerçekten zordu. Ama Knowunity'yi kullanmaya başladığımdan beri, notlarımı yüklüyorum ve başkalarından harika özetler buluyorum - bu da çalışmamı çok daha verimli hale getiriyor!
Julia S
Android kullanıcısı
Tüm çalışma materyalleriyle sürekli stres altındaydım, ama Knowunity'yi kullanmaya başladığımdan beri, notlarımı yüklüyor ve başkalarının harika özetlerine bakıyorum - her şeyi daha iyi yönetmemi sağlıyor ve çok daha az stresli.
Marco B
iOS kullanıcısı
QUİZLER VE FLASHCARDLAR ÇOK FAYDALI VE Knowunity AI'I ÇOK SEVİYORUM. AYRICA TAM OLARAK CHATGPT GİBİ AMA DAHA AKILLI!! RİMEL SORUNLARIMDA DA YARDIM ETTİ!! GERÇEK DERSLERİMDE DE TABII Kİ! DUHHH 😍😁😲🤑💗✨🎀😮
Sarah L
Android kullanıcısı
Eskiden okul materyallerini Google'da aramakla saatler harcardım, ama şimdi sadece notlarımı Knowunity'ye yüklüyorum ve başkalarının faydalı özetlerine bakıyorum - sınavlara hazırlanırken kendimi çok daha güvende hissediyorum.
Paul T
iOS kullanıcısı
Uygulama çok kolay kullanılıyor ve güzel tasarlanmış. Şu ana kadar aradığım her şeyi buldum ve sunumlardan çok şey öğrendim! Kesinlikle ödevlerim için hep kullanacağım!
A.S.
iOS kullanıcısı
Uygulama çok iyi. Çok fazla ders notu ve yardımlaşma var. Örneğin benim problem yaşadığım bir ders Geometriydi ve ANINDA yardım ettiler beraber hem sorularımı çözdük hem konu anlatımı buldum. Herkese tavsiye ederim.
S.L.
Android kullanıcısı
BEN ŞOK. Reklamını sık sık gördüğüm için uygulamayı denedim ve gerçekten hayran kaldım. Bu uygulama okul için tam ihtiyacım olan şey. Anında ödev yardımı, konu anlatımı, örnek sınavlar, flaşkartlar hepsi hepsi var, şiddetle tavsiye ederim ✅
A.
iOS kullanıcısı
Knowunity'yi keşfedinceye kadar ödevlerimi zamanında tamamlamakta zorlanıyordum, Knowunity sadece kendi ders notlarımı yüklemeyi kolaylaştırmakla kalmıyor, aynı zamanda çalışmamı daha hızlı ve verimli hale getiren harika özetler de sunuyor.
Thomas R
iOS kullanıcısı
Ödevlerim için önemli bilgilerin tümünü bulmak her zaman bir zorluktu - Knowunity'yi kullanmaya başladığımdan beri, ders notlarımı kolayca yükleyebilir ve başkalarının özetlerinden faydalanabilirim, bu da organizasyon konusunda bana çok yardımcı oluyor.
Lisa M
Android kullanıcısı
Ders çalışırken genellikle yeterince genel bakışa sahip olmadığımı hissederdim, ama Knowunity'yi kullanmaya başladığımdan beri bu artık sorun değil - ders notlarımı yüklüyorum ve platformda her zaman yardımcı özetler buluyorum, bu da öğrenmemi çok daha kolaylaştırıyor.
David K
iOS kullanıcısı
Uygulama acayip iyi! Konuyu yazıyorum hemen yanıt alıyorum. Bi şeyi anlamak için 10 tane youtube videosu izlemem gerekmiyor. Kesssinlikle tavsiye ederim!
Sudenaz Ocak
Android kullanıcısı
Matematikte baya kötüydüm ama bu uygulama sayesinde şimdi daha iyiyim. Uygulamayı yapanlara için çok teşekkürler!
G.B.
Android kullanıcısı
Sunumlarım için tüm bilgileri toplamak gerçekten zordu. Ama Knowunity'yi kullanmaya başladığımdan beri, notlarımı yüklüyorum ve başkalarından harika özetler buluyorum - bu da çalışmamı çok daha verimli hale getiriyor!
Julia S
Android kullanıcısı
Tüm çalışma materyalleriyle sürekli stres altındaydım, ama Knowunity'yi kullanmaya başladığımdan beri, notlarımı yüklüyor ve başkalarının harika özetlerine bakıyorum - her şeyi daha iyi yönetmemi sağlıyor ve çok daha az stresli.
Marco B
iOS kullanıcısı
QUİZLER VE FLASHCARDLAR ÇOK FAYDALI VE Knowunity AI'I ÇOK SEVİYORUM. AYRICA TAM OLARAK CHATGPT GİBİ AMA DAHA AKILLI!! RİMEL SORUNLARIMDA DA YARDIM ETTİ!! GERÇEK DERSLERİMDE DE TABII Kİ! DUHHH 😍😁😲🤑💗✨🎀😮
Sarah L
Android kullanıcısı
Eskiden okul materyallerini Google'da aramakla saatler harcardım, ama şimdi sadece notlarımı Knowunity'ye yüklüyorum ve başkalarının faydalı özetlerine bakıyorum - sınavlara hazırlanırken kendimi çok daha güvende hissediyorum.
Paul T
iOS kullanıcısı