Fonksiyonlar matematiğin çok önemli bir konusudur. Bu konuda fonksiyonların ne... Daha fazla göster
Ders notlarını görmek için kaydolÜcretsiz!
Tüm belgeleri görebilirsin
Notlarını Yükselt
Milyonlarca öğrenciye katıl
Knowunity AI
Daha fazla
Dersler
Triangle Congruence and Similarity Theorems
Triangle Properties and Classification
Linear Equations and Graphs
Geometric Angle Relationships
Trigonometric Functions and Identities
Equation Solving Techniques
Circle Geometry Fundamentals
Division Operations and Methods
Basic Differentiation Rules
Exponent and Logarithm Properties
Tüm konuları göster
Human Organ Systems
Reproductive Cell Cycles
Biological Sciences Subdisciplines
Cellular Energy Metabolism
Autotrophic Energy Processes
Inheritance Patterns and Principles
Biomolecular Structure and Organization
Cell Cycle and Division Mechanics
Cellular Organization and Development
Biological Structural Organization
Tüm konuları göster
Chemical Sciences and Applications
Atomic Structure and Composition
Molecular Electron Structure Representation
Atomic Electron Behavior
Matter Properties and Water
Mole Concept and Calculations
Gas Laws and Behavior
Periodic Table Organization
Chemical Thermodynamics Fundamentals
Chemical Bond Types and Properties
Tüm konuları göster
European Renaissance and Enlightenment
European Cultural Movements 800-1920
American Revolution Era 1763-1797
American Civil War 1861-1865
Global Imperial Systems
Mongol and Chinese Dynasties
U.S. Presidents and World Leaders
Historical Sources and Documentation
World Wars Era and Impact
World Religious Systems
Tüm konuları göster
Classic and Contemporary Novels
Literary Character Analysis
Rhetorical Theory and Practice
Classic Literary Narratives
Reading Analysis and Interpretation
Narrative Structure and Techniques
English Language Components
Influential English-Language Authors
Basic Sentence Structure
Narrative Voice and Perspective
Tüm konuları göster
47
•
Güncellendi Mar 20, 2026
•
Elif Ay
@elifay_gmzqy
Fonksiyonlar matematiğin çok önemli bir konusudur. Bu konuda fonksiyonların ne... Daha fazla göster





























Fonksiyon, iki küme arasındaki özel bir bağıntıdır. Bir tanım kümesi ve bir değer kümesi vardır. Fonksiyon olması için tanım kümesindeki her elemanın değer kümesinde mutlaka bir karşılığı olmalıdır.
Fonksiyonun olması için iki önemli kural vardır: Tanım kümesinde boşta eleman kalmamalı ve her eleman yalnızca bir kez kullanılmalıdır. Değer kümesinde ise boş eleman kalabilir ve elemanlar birden fazla kez kullanılabilir.
Dikkat Et: Bir bağıntının fonksiyon olması için, tanım kümesindeki her elemanın değer kümesinde tam olarak bir karşılığı olmalı. Fazla ya da eksik olamaz!
Örneğin, anneler ve çocuklar arasındaki ilişkiyi düşünelim. Her çocuğun bir annesi vardır. Ancak her kadının çocuğu olmayabilir veya birden fazla çocuğu olabilir. Bu ilişki bir fonksiyondur. Çocuklar tanım kümesi, anneler değer kümesidir.

Bir bağıntının fonksiyon olması için, grafiğine baktığımızda x-eksenine dik çizdiğimiz doğrular grafiği tek bir noktada kesmelidir. Eğer birden fazla noktada kesiyorsa bu bir fonksiyon değildir.
Örnek olarak şu bağıntılara bakalım:
İpucu: Grafikte x-eksenine dik doğru çizdiğimizde grafiği birden fazla noktada kesiyorsa, bu bağıntı fonksiyon olamaz!
Grafikte fonksiyon olup olmadığını anlamak çok kolaydır. Sadece x-ekseninden yukarıya doğru çizgi çektiğimizde, bu çizginin grafiği kaç noktada kestiğine bakarız. Tek noktada kesiyorsa fonksiyondur.

Fonksiyonları farklı türlere ayırabiliriz. Üç temel fonksiyon türü vardır:
İçine Fonksiyon: Değer kümesinde boşta eleman kalıyorsa, yani kullanılmayan elemanlar varsa, bu içine fonksiyondur. Örneğin, bazı kadınların çocuğu yoksa, bu bir içine fonksiyondur.
Örten Fonksiyon: Değer kümesinde boşta eleman kalmıyorsa, yani tüm elemanlar kullanılıyorsa, bu örten fonksiyondur. Örneğin, her kadının en az bir çocuğu varsa, bu bir örten fonksiyondur.
Birebir Fonksiyon (1-1): Tanım kümesindeki her eleman değer kümesinde farklı bir değere gidiyorsa, bu birebir fonksiyondur. Örneğin, hiçbir kardeşin olmadığı bir durumda, bu bir birebir fonksiyondur.
Kolay Anımsa: İçine fonksiyonda değer kümesinde boş elemanlar vardır. Örten fonksiyonda değer kümesinin tüm elemanları kullanılır. Birebir fonksiyonda ise her eleman farklı bir değere gider!
Grafikte y-eksenine dik doğrular için: en az bir tanesi grafiği kesmiyorsa içine fonksiyondur, tüm doğrular grafiği kesiyorsa örten fonksiyondur, ve tüm doğrular grafiği sadece bir noktada kesiyorsa birebir fonksiyondur.

Bir fonksiyonun tanımını yazarken önce tanım ve değer kümelerini belirtmeliyiz. Sonra da kuralını yazmalıyız.
Örneğin: f: Z → N için f(x) = x² + 2 ifadesi fonksiyon mudur?
Bu soruyu çözmek için, her tamsayı için fonksiyonun değerinin doğal sayı olup olmadığını kontrol ederiz:
Bir tamsayının karesi her zaman doğal sayı olduğundan ve 2 ekleyince yine doğal sayı olacağından, bu ifade fonksiyondur.
Unutma: Bir ifadenin fonksiyon olması için, tanım kümesindeki tüm elemanlar için değer kümesinde uygun sonuçlar vermesi gerekir. Tek bir uygun olmayan sonuç bile ifadenin fonksiyon olmadığını gösterir!
Başka bir örnek: f: N → N için f(x) = x - 5 ifadesi fonksiyon mudur?
f(0) = 0 - 5 = -5 olur ve -5 doğal sayı olmadığından bu ifade bir fonksiyon değildir.

Gerçel sayılarda tanımlı fonksiyonların türlerini incelemek çok önemlidir. Örneğin, birinci derece fonksiyonlar ve ikinci derece fonksiyonlar .
Birinci dereceden fonksiyonlar için:
İkinci dereceden fonksiyonlar için:
Kolayca Hatırla: Birinci dereceden fonksiyonlar (düz doğrular) birebir ve örtendir. İkinci dereceden fonksiyonlar (paraboller) ise birebir değil ve içinedir!
Bu özellikler fonksiyon grafiklerinin şekliyle ilgilidir. Birinci derece fonksiyonlar düz bir doğru oluştururken, ikinci derece fonksiyonlar parabol şeklindedir ve bu yüzden bazı y değerlerine iki farklı x değerinden ulaşılır. Bu da birebir olma özelliğini bozar.

Bir fonksiyonun belirli değerlerini bulmak için, fonksiyon kuralında istenilen x değerini yerine koyup hesaplama yaparız.
Örnek problemlere bakalım:
f(x) = x + 2 için f(1) kaçtır? f(1) = 1 + 2 = 3
f(x) = 2x - 3 için f(0) kaçtır? f(0) = 2 × 0 - 3 = 0 - 3 = -3
f(x) = 4 - x için f(-1) kaçtır? f(-1) = 4 - (-1) = 4 + 1 = 5
Püf Nokta: Fonksiyonun değerini bulurken, sadece x yerine istenilen değeri koyup işlemleri yapmak yeterlidir!
Daha karmaşık bir örnek:
Bu işlemler sınavlarda sık karşılaşacağın temel sorulardır. Bunları hızlı ve doğru yapabilmek için bol pratik yapmalısın.

Bazen fonksiyonlarda x'in yerine farklı ifadeler de olabilir. Bu durumda önce bu ifadeleri eşitleyip x değerini buluruz, sonra da fonksiyonu hesaplarız.
Örneğin:
Başka bir örnek:
Dikkat Et: Bu tür sorularda önce parantez içindeki ifadeyi eşitleyip x değerini bulmalısın, sonra bu x değerini fonksiyondaki tüm x'lerin yerine koymalısın!
Bir diğer örnek:
Bu tür problemleri çözerken dikkatli olmak önemlidir. Önce parantez içindeki ifadenin ne olduğunu bulup, sonra fonksiyonu hesaplamamız gerekir.

Fonksiyonlarla ilgili daha karmaşık problemlere de bakabiliriz:
f(2x) = x+4 ise f(2) kaçtır? 2x = 2 → x = 1 f(2) = 1+4 = 5
f = 5x+1 ise f(3) kaçtır? 2x-1 = 3 → 2x = 4 → x = 2 f(3) = 5×2+1 = 10+1 = 11
İpucu: Bu tür problemlerde önce verilen fonksiyon değerini (örneğin f(3)) parantez içindeki ifadeye eşitleyip x değerini bul, sonra da bu x değerini kullanarak sorulan değeri hesapla!
Bu sorular biraz daha karmaşık görünebilir ama aynı mantıkla çözülür. Önce parantezdeki ifade ile aranan değeri eşitleyip x'i buluruz, sonra da fonksiyonu hesaplarız.

Fonksiyonların farklı değerlerinin toplamlarını bulmak da önemli bir konudur:
f(x) = x+4 için f(1) + f(2) kaçtır? f(1) = 1+4 = 5 f(2) = 2+4 = 6 f(1) + f(2) = 5 + 6 = 11
f(x) = 3x-1 için f(2) nedir? f(2) = 3×2-1 = 6-1 = 5
Kolay Yol: Fonksiyonun birden çok değerinin toplamını bulurken, her bir değeri ayrı ayrı hesaplayıp sonra toplamalısın!
Bu tarz sorularda fonksiyonun kuralını doğru anlayıp, istenen değerleri yerlerine koyarak hesaplama yapmamız gerekir. Bazen de bir fonksiyonun başka bir fonksiyon cinsinden ifadesini bulmamız istenebilir.

Fonksiyonlarla ilgili bazı özel sorular şunlardır:
f(x) = 3·f, f(6) = 2 ise f(2) kaçtır? Bu tür sorularda verilen fonksiyon kuralını ve bilinen değeri kullanarak istenen değeri bulmalıyız.
f(x) = 2 + f, f(7) = 4 ise f(3) kaçtır? x = 7 için: f(7) = 2 + f(7-2) = 2 + f(5) = 4 O halde f(5) = 2 x = 5 için: f(5) = 2 + f(5-2) = 2 + f(3) = 2 O halde f(3) = 0
Yaklaşım: Bu tür sorularda verilen fonksiyon kuralından bilinmeyen fonksiyon değerlerini, bilinen değerlerden yola çıkarak bulmaya çalışırız!
Bu tarz problemleri çözerken, verilen fonksiyon kuralını doğru anlamalı ve bilinenleri kullanarak istenenleri adım adım bulmalıyız. Bu, biraz sabır ve dikkat gerektirir.


















Yapay zeka arkadaşımız öğrencilerin ihtiyaçlarına göre özel olarak tasarlanmıştır. Platformda bulunan milyonlarca içeriğe dayanarak öğrencilere gerçekten anlamlı ve ilgili yanıtlar verebiliyoruz. Ancak mesele sadece cevaplar değil, refakatçi aynı zamanda kişiselleştirilmiş öğrenme planları, sınavlar veya sohbet içerikleri ve öğrencilerin becerilerine ve gelişimlerine dayalı %100 kişiselleştirme ile öğrencilere günlük öğrenme zorluklarında rehberlik ediyor.
Uygulamayı Google Play Store ve Apple App Store'dan indirebilirsiniz.
Knowunity uygulaması ücretsiz! Uygulamamız çok yakında indirmeye hazır olacak, bekle bizi. 💙
Tyt Matematik Kavram Haritası özet
App Store
Google Play
Uygulama çok kolay kullanılıyor ve güzel tasarlanmış. Şu ana kadar aradığım her şeyi buldum ve sunumlardan çok şey öğrendim! Kesinlikle ödevlerim için hep kullanacağım!
A.S.
iOS kullanıcısı
Uygulama çok iyi. Çok fazla ders notu ve yardımlaşma var. Örneğin benim problem yaşadığım bir ders Geometriydi ve ANINDA yardım ettiler beraber hem sorularımı çözdük hem konu anlatımı buldum. Herkese tavsiye ederim.
S.L.
Android kullanıcısı
BEN ŞOK. Reklamını sık sık gördüğüm için uygulamayı denedim ve gerçekten hayran kaldım. Bu uygulama okul için tam ihtiyacım olan şey. Anında ödev yardımı, konu anlatımı, örnek sınavlar, flaşkartlar hepsi hepsi var, şiddetle tavsiye ederim ✅
A.
iOS kullanıcısı
Knowunity'yi keşfedinceye kadar ödevlerimi zamanında tamamlamakta zorlanıyordum, Knowunity sadece kendi ders notlarımı yüklemeyi kolaylaştırmakla kalmıyor, aynı zamanda çalışmamı daha hızlı ve verimli hale getiren harika özetler de sunuyor.
Thomas R
iOS kullanıcısı
Ödevlerim için önemli bilgilerin tümünü bulmak her zaman bir zorluktu - Knowunity'yi kullanmaya başladığımdan beri, ders notlarımı kolayca yükleyebilir ve başkalarının özetlerinden faydalanabilirim, bu da organizasyon konusunda bana çok yardımcı oluyor.
Lisa M
Android kullanıcısı
Ders çalışırken genellikle yeterince genel bakışa sahip olmadığımı hissederdim, ama Knowunity'yi kullanmaya başladığımdan beri bu artık sorun değil - ders notlarımı yüklüyorum ve platformda her zaman yardımcı özetler buluyorum, bu da öğrenmemi çok daha kolaylaştırıyor.
David K
iOS kullanıcısı
Uygulama acayip iyi! Konuyu yazıyorum hemen yanıt alıyorum. Bi şeyi anlamak için 10 tane youtube videosu izlemem gerekmiyor. Kesssinlikle tavsiye ederim!
Sudenaz Ocak
Android kullanıcısı
Matematikte baya kötüydüm ama bu uygulama sayesinde şimdi daha iyiyim. Uygulamayı yapanlara için çok teşekkürler!
G.B.
Android kullanıcısı
Sunumlarım için tüm bilgileri toplamak gerçekten zordu. Ama Knowunity'yi kullanmaya başladığımdan beri, notlarımı yüklüyorum ve başkalarından harika özetler buluyorum - bu da çalışmamı çok daha verimli hale getiriyor!
Julia S
Android kullanıcısı
Tüm çalışma materyalleriyle sürekli stres altındaydım, ama Knowunity'yi kullanmaya başladığımdan beri, notlarımı yüklüyor ve başkalarının harika özetlerine bakıyorum - her şeyi daha iyi yönetmemi sağlıyor ve çok daha az stresli.
Marco B
iOS kullanıcısı
QUİZLER VE FLASHCARDLAR ÇOK FAYDALI VE Knowunity AI'I ÇOK SEVİYORUM. AYRICA TAM OLARAK CHATGPT GİBİ AMA DAHA AKILLI!! RİMEL SORUNLARIMDA DA YARDIM ETTİ!! GERÇEK DERSLERİMDE DE TABII Kİ! DUHHH 😍😁😲🤑💗✨🎀😮
Sarah L
Android kullanıcısı
Eskiden okul materyallerini Google'da aramakla saatler harcardım, ama şimdi sadece notlarımı Knowunity'ye yüklüyorum ve başkalarının faydalı özetlerine bakıyorum - sınavlara hazırlanırken kendimi çok daha güvende hissediyorum.
Paul T
iOS kullanıcısı
Uygulama çok kolay kullanılıyor ve güzel tasarlanmış. Şu ana kadar aradığım her şeyi buldum ve sunumlardan çok şey öğrendim! Kesinlikle ödevlerim için hep kullanacağım!
A.S.
iOS kullanıcısı
Uygulama çok iyi. Çok fazla ders notu ve yardımlaşma var. Örneğin benim problem yaşadığım bir ders Geometriydi ve ANINDA yardım ettiler beraber hem sorularımı çözdük hem konu anlatımı buldum. Herkese tavsiye ederim.
S.L.
Android kullanıcısı
BEN ŞOK. Reklamını sık sık gördüğüm için uygulamayı denedim ve gerçekten hayran kaldım. Bu uygulama okul için tam ihtiyacım olan şey. Anında ödev yardımı, konu anlatımı, örnek sınavlar, flaşkartlar hepsi hepsi var, şiddetle tavsiye ederim ✅
A.
iOS kullanıcısı
Knowunity'yi keşfedinceye kadar ödevlerimi zamanında tamamlamakta zorlanıyordum, Knowunity sadece kendi ders notlarımı yüklemeyi kolaylaştırmakla kalmıyor, aynı zamanda çalışmamı daha hızlı ve verimli hale getiren harika özetler de sunuyor.
Thomas R
iOS kullanıcısı
Ödevlerim için önemli bilgilerin tümünü bulmak her zaman bir zorluktu - Knowunity'yi kullanmaya başladığımdan beri, ders notlarımı kolayca yükleyebilir ve başkalarının özetlerinden faydalanabilirim, bu da organizasyon konusunda bana çok yardımcı oluyor.
Lisa M
Android kullanıcısı
Ders çalışırken genellikle yeterince genel bakışa sahip olmadığımı hissederdim, ama Knowunity'yi kullanmaya başladığımdan beri bu artık sorun değil - ders notlarımı yüklüyorum ve platformda her zaman yardımcı özetler buluyorum, bu da öğrenmemi çok daha kolaylaştırıyor.
David K
iOS kullanıcısı
Uygulama acayip iyi! Konuyu yazıyorum hemen yanıt alıyorum. Bi şeyi anlamak için 10 tane youtube videosu izlemem gerekmiyor. Kesssinlikle tavsiye ederim!
Sudenaz Ocak
Android kullanıcısı
Matematikte baya kötüydüm ama bu uygulama sayesinde şimdi daha iyiyim. Uygulamayı yapanlara için çok teşekkürler!
G.B.
Android kullanıcısı
Sunumlarım için tüm bilgileri toplamak gerçekten zordu. Ama Knowunity'yi kullanmaya başladığımdan beri, notlarımı yüklüyorum ve başkalarından harika özetler buluyorum - bu da çalışmamı çok daha verimli hale getiriyor!
Julia S
Android kullanıcısı
Tüm çalışma materyalleriyle sürekli stres altındaydım, ama Knowunity'yi kullanmaya başladığımdan beri, notlarımı yüklüyor ve başkalarının harika özetlerine bakıyorum - her şeyi daha iyi yönetmemi sağlıyor ve çok daha az stresli.
Marco B
iOS kullanıcısı
QUİZLER VE FLASHCARDLAR ÇOK FAYDALI VE Knowunity AI'I ÇOK SEVİYORUM. AYRICA TAM OLARAK CHATGPT GİBİ AMA DAHA AKILLI!! RİMEL SORUNLARIMDA DA YARDIM ETTİ!! GERÇEK DERSLERİMDE DE TABII Kİ! DUHHH 😍😁😲🤑💗✨🎀😮
Sarah L
Android kullanıcısı
Eskiden okul materyallerini Google'da aramakla saatler harcardım, ama şimdi sadece notlarımı Knowunity'ye yüklüyorum ve başkalarının faydalı özetlerine bakıyorum - sınavlara hazırlanırken kendimi çok daha güvende hissediyorum.
Paul T
iOS kullanıcısı
Elif Ay
@elifay_gmzqy
Fonksiyonlar matematiğin çok önemli bir konusudur. Bu konuda fonksiyonların ne olduğunu, nasıl tanımlandığını ve farklı türlerini öğreneceğiz. Ayrıca fonksiyonlarla yapılan işlemler ve grafikleri hakkında da bilgi edineceğiz.

Tüm belgeleri görebilirsin
Notlarını Yükselt
Milyonlarca öğrenciye katıl
Fonksiyon, iki küme arasındaki özel bir bağıntıdır. Bir tanım kümesi ve bir değer kümesi vardır. Fonksiyon olması için tanım kümesindeki her elemanın değer kümesinde mutlaka bir karşılığı olmalıdır.
Fonksiyonun olması için iki önemli kural vardır: Tanım kümesinde boşta eleman kalmamalı ve her eleman yalnızca bir kez kullanılmalıdır. Değer kümesinde ise boş eleman kalabilir ve elemanlar birden fazla kez kullanılabilir.
Dikkat Et: Bir bağıntının fonksiyon olması için, tanım kümesindeki her elemanın değer kümesinde tam olarak bir karşılığı olmalı. Fazla ya da eksik olamaz!
Örneğin, anneler ve çocuklar arasındaki ilişkiyi düşünelim. Her çocuğun bir annesi vardır. Ancak her kadının çocuğu olmayabilir veya birden fazla çocuğu olabilir. Bu ilişki bir fonksiyondur. Çocuklar tanım kümesi, anneler değer kümesidir.

Tüm belgeleri görebilirsin
Notlarını Yükselt
Milyonlarca öğrenciye katıl
Bir bağıntının fonksiyon olması için, grafiğine baktığımızda x-eksenine dik çizdiğimiz doğrular grafiği tek bir noktada kesmelidir. Eğer birden fazla noktada kesiyorsa bu bir fonksiyon değildir.
Örnek olarak şu bağıntılara bakalım:
İpucu: Grafikte x-eksenine dik doğru çizdiğimizde grafiği birden fazla noktada kesiyorsa, bu bağıntı fonksiyon olamaz!
Grafikte fonksiyon olup olmadığını anlamak çok kolaydır. Sadece x-ekseninden yukarıya doğru çizgi çektiğimizde, bu çizginin grafiği kaç noktada kestiğine bakarız. Tek noktada kesiyorsa fonksiyondur.

Tüm belgeleri görebilirsin
Notlarını Yükselt
Milyonlarca öğrenciye katıl
Fonksiyonları farklı türlere ayırabiliriz. Üç temel fonksiyon türü vardır:
İçine Fonksiyon: Değer kümesinde boşta eleman kalıyorsa, yani kullanılmayan elemanlar varsa, bu içine fonksiyondur. Örneğin, bazı kadınların çocuğu yoksa, bu bir içine fonksiyondur.
Örten Fonksiyon: Değer kümesinde boşta eleman kalmıyorsa, yani tüm elemanlar kullanılıyorsa, bu örten fonksiyondur. Örneğin, her kadının en az bir çocuğu varsa, bu bir örten fonksiyondur.
Birebir Fonksiyon (1-1): Tanım kümesindeki her eleman değer kümesinde farklı bir değere gidiyorsa, bu birebir fonksiyondur. Örneğin, hiçbir kardeşin olmadığı bir durumda, bu bir birebir fonksiyondur.
Kolay Anımsa: İçine fonksiyonda değer kümesinde boş elemanlar vardır. Örten fonksiyonda değer kümesinin tüm elemanları kullanılır. Birebir fonksiyonda ise her eleman farklı bir değere gider!
Grafikte y-eksenine dik doğrular için: en az bir tanesi grafiği kesmiyorsa içine fonksiyondur, tüm doğrular grafiği kesiyorsa örten fonksiyondur, ve tüm doğrular grafiği sadece bir noktada kesiyorsa birebir fonksiyondur.

Tüm belgeleri görebilirsin
Notlarını Yükselt
Milyonlarca öğrenciye katıl
Bir fonksiyonun tanımını yazarken önce tanım ve değer kümelerini belirtmeliyiz. Sonra da kuralını yazmalıyız.
Örneğin: f: Z → N için f(x) = x² + 2 ifadesi fonksiyon mudur?
Bu soruyu çözmek için, her tamsayı için fonksiyonun değerinin doğal sayı olup olmadığını kontrol ederiz:
Bir tamsayının karesi her zaman doğal sayı olduğundan ve 2 ekleyince yine doğal sayı olacağından, bu ifade fonksiyondur.
Unutma: Bir ifadenin fonksiyon olması için, tanım kümesindeki tüm elemanlar için değer kümesinde uygun sonuçlar vermesi gerekir. Tek bir uygun olmayan sonuç bile ifadenin fonksiyon olmadığını gösterir!
Başka bir örnek: f: N → N için f(x) = x - 5 ifadesi fonksiyon mudur?
f(0) = 0 - 5 = -5 olur ve -5 doğal sayı olmadığından bu ifade bir fonksiyon değildir.

Tüm belgeleri görebilirsin
Notlarını Yükselt
Milyonlarca öğrenciye katıl
Gerçel sayılarda tanımlı fonksiyonların türlerini incelemek çok önemlidir. Örneğin, birinci derece fonksiyonlar ve ikinci derece fonksiyonlar .
Birinci dereceden fonksiyonlar için:
İkinci dereceden fonksiyonlar için:
Kolayca Hatırla: Birinci dereceden fonksiyonlar (düz doğrular) birebir ve örtendir. İkinci dereceden fonksiyonlar (paraboller) ise birebir değil ve içinedir!
Bu özellikler fonksiyon grafiklerinin şekliyle ilgilidir. Birinci derece fonksiyonlar düz bir doğru oluştururken, ikinci derece fonksiyonlar parabol şeklindedir ve bu yüzden bazı y değerlerine iki farklı x değerinden ulaşılır. Bu da birebir olma özelliğini bozar.

Tüm belgeleri görebilirsin
Notlarını Yükselt
Milyonlarca öğrenciye katıl
Bir fonksiyonun belirli değerlerini bulmak için, fonksiyon kuralında istenilen x değerini yerine koyup hesaplama yaparız.
Örnek problemlere bakalım:
f(x) = x + 2 için f(1) kaçtır? f(1) = 1 + 2 = 3
f(x) = 2x - 3 için f(0) kaçtır? f(0) = 2 × 0 - 3 = 0 - 3 = -3
f(x) = 4 - x için f(-1) kaçtır? f(-1) = 4 - (-1) = 4 + 1 = 5
Püf Nokta: Fonksiyonun değerini bulurken, sadece x yerine istenilen değeri koyup işlemleri yapmak yeterlidir!
Daha karmaşık bir örnek:
Bu işlemler sınavlarda sık karşılaşacağın temel sorulardır. Bunları hızlı ve doğru yapabilmek için bol pratik yapmalısın.

Tüm belgeleri görebilirsin
Notlarını Yükselt
Milyonlarca öğrenciye katıl
Bazen fonksiyonlarda x'in yerine farklı ifadeler de olabilir. Bu durumda önce bu ifadeleri eşitleyip x değerini buluruz, sonra da fonksiyonu hesaplarız.
Örneğin:
Başka bir örnek:
Dikkat Et: Bu tür sorularda önce parantez içindeki ifadeyi eşitleyip x değerini bulmalısın, sonra bu x değerini fonksiyondaki tüm x'lerin yerine koymalısın!
Bir diğer örnek:
Bu tür problemleri çözerken dikkatli olmak önemlidir. Önce parantez içindeki ifadenin ne olduğunu bulup, sonra fonksiyonu hesaplamamız gerekir.

Tüm belgeleri görebilirsin
Notlarını Yükselt
Milyonlarca öğrenciye katıl
Fonksiyonlarla ilgili daha karmaşık problemlere de bakabiliriz:
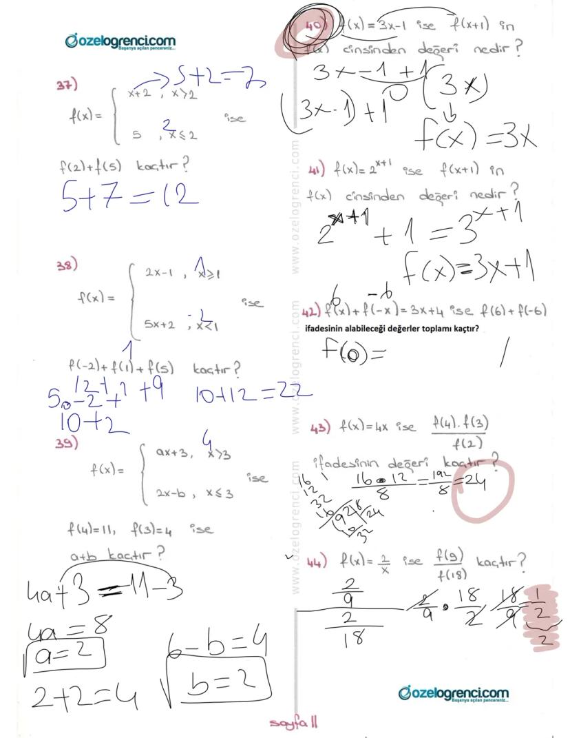
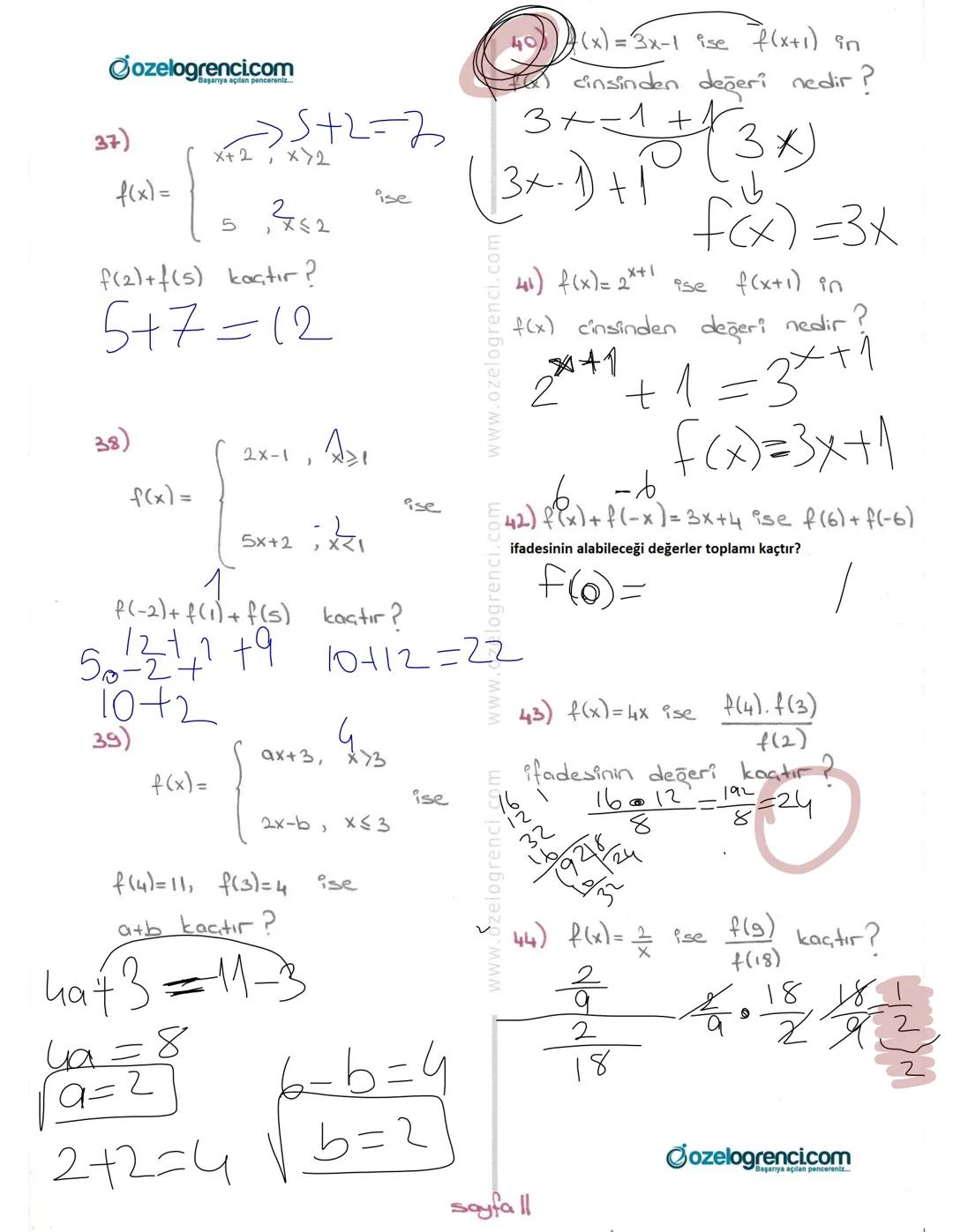
f(2x) = x+4 ise f(2) kaçtır? 2x = 2 → x = 1 f(2) = 1+4 = 5
f = 5x+1 ise f(3) kaçtır? 2x-1 = 3 → 2x = 4 → x = 2 f(3) = 5×2+1 = 10+1 = 11
İpucu: Bu tür problemlerde önce verilen fonksiyon değerini (örneğin f(3)) parantez içindeki ifadeye eşitleyip x değerini bul, sonra da bu x değerini kullanarak sorulan değeri hesapla!
Bu sorular biraz daha karmaşık görünebilir ama aynı mantıkla çözülür. Önce parantezdeki ifade ile aranan değeri eşitleyip x'i buluruz, sonra da fonksiyonu hesaplarız.

Tüm belgeleri görebilirsin
Notlarını Yükselt
Milyonlarca öğrenciye katıl
Fonksiyonların farklı değerlerinin toplamlarını bulmak da önemli bir konudur:
f(x) = x+4 için f(1) + f(2) kaçtır? f(1) = 1+4 = 5 f(2) = 2+4 = 6 f(1) + f(2) = 5 + 6 = 11
f(x) = 3x-1 için f(2) nedir? f(2) = 3×2-1 = 6-1 = 5
Kolay Yol: Fonksiyonun birden çok değerinin toplamını bulurken, her bir değeri ayrı ayrı hesaplayıp sonra toplamalısın!
Bu tarz sorularda fonksiyonun kuralını doğru anlayıp, istenen değerleri yerlerine koyarak hesaplama yapmamız gerekir. Bazen de bir fonksiyonun başka bir fonksiyon cinsinden ifadesini bulmamız istenebilir.

Tüm belgeleri görebilirsin
Notlarını Yükselt
Milyonlarca öğrenciye katıl
Fonksiyonlarla ilgili bazı özel sorular şunlardır:
f(x) = 3·f, f(6) = 2 ise f(2) kaçtır? Bu tür sorularda verilen fonksiyon kuralını ve bilinen değeri kullanarak istenen değeri bulmalıyız.
f(x) = 2 + f, f(7) = 4 ise f(3) kaçtır? x = 7 için: f(7) = 2 + f(7-2) = 2 + f(5) = 4 O halde f(5) = 2 x = 5 için: f(5) = 2 + f(5-2) = 2 + f(3) = 2 O halde f(3) = 0
Yaklaşım: Bu tür sorularda verilen fonksiyon kuralından bilinmeyen fonksiyon değerlerini, bilinen değerlerden yola çıkarak bulmaya çalışırız!
Bu tarz problemleri çözerken, verilen fonksiyon kuralını doğru anlamalı ve bilinenleri kullanarak istenenleri adım adım bulmalıyız. Bu, biraz sabır ve dikkat gerektirir.

Tüm belgeleri görebilirsin
Notlarını Yükselt
Milyonlarca öğrenciye katıl

Tüm belgeleri görebilirsin
Notlarını Yükselt
Milyonlarca öğrenciye katıl

Tüm belgeleri görebilirsin
Notlarını Yükselt
Milyonlarca öğrenciye katıl

Tüm belgeleri görebilirsin
Notlarını Yükselt
Milyonlarca öğrenciye katıl

Tüm belgeleri görebilirsin
Notlarını Yükselt
Milyonlarca öğrenciye katıl

Tüm belgeleri görebilirsin
Notlarını Yükselt
Milyonlarca öğrenciye katıl

Tüm belgeleri görebilirsin
Notlarını Yükselt
Milyonlarca öğrenciye katıl

Tüm belgeleri görebilirsin
Notlarını Yükselt
Milyonlarca öğrenciye katıl

Tüm belgeleri görebilirsin
Notlarını Yükselt
Milyonlarca öğrenciye katıl

Tüm belgeleri görebilirsin
Notlarını Yükselt
Milyonlarca öğrenciye katıl

Tüm belgeleri görebilirsin
Notlarını Yükselt
Milyonlarca öğrenciye katıl

Tüm belgeleri görebilirsin
Notlarını Yükselt
Milyonlarca öğrenciye katıl

Tüm belgeleri görebilirsin
Notlarını Yükselt
Milyonlarca öğrenciye katıl

Tüm belgeleri görebilirsin
Notlarını Yükselt
Milyonlarca öğrenciye katıl

Tüm belgeleri görebilirsin
Notlarını Yükselt
Milyonlarca öğrenciye katıl

Tüm belgeleri görebilirsin
Notlarını Yükselt
Milyonlarca öğrenciye katıl

Tüm belgeleri görebilirsin
Notlarını Yükselt
Milyonlarca öğrenciye katıl

Tüm belgeleri görebilirsin
Notlarını Yükselt
Milyonlarca öğrenciye katıl
Yapay zeka arkadaşımız öğrencilerin ihtiyaçlarına göre özel olarak tasarlanmıştır. Platformda bulunan milyonlarca içeriğe dayanarak öğrencilere gerçekten anlamlı ve ilgili yanıtlar verebiliyoruz. Ancak mesele sadece cevaplar değil, refakatçi aynı zamanda kişiselleştirilmiş öğrenme planları, sınavlar veya sohbet içerikleri ve öğrencilerin becerilerine ve gelişimlerine dayalı %100 kişiselleştirme ile öğrencilere günlük öğrenme zorluklarında rehberlik ediyor.
Uygulamayı Google Play Store ve Apple App Store'dan indirebilirsiniz.
Knowunity uygulaması ücretsiz! Uygulamamız çok yakında indirmeye hazır olacak, bekle bizi. 💙
1
Akıllı Araçlar YENİ
Bu notu şunlara dönüştür: ✓ 50+ Alıştırma Sorusu ✓ Etkileşimli Flash Kartları ✓ Tam Deneme Sınavı ✓ Kompozisyon Taslakları
Tyt Matematik Kavram Haritası özet
App Store
Google Play
Uygulama çok kolay kullanılıyor ve güzel tasarlanmış. Şu ana kadar aradığım her şeyi buldum ve sunumlardan çok şey öğrendim! Kesinlikle ödevlerim için hep kullanacağım!
A.S.
iOS kullanıcısı
Uygulama çok iyi. Çok fazla ders notu ve yardımlaşma var. Örneğin benim problem yaşadığım bir ders Geometriydi ve ANINDA yardım ettiler beraber hem sorularımı çözdük hem konu anlatımı buldum. Herkese tavsiye ederim.
S.L.
Android kullanıcısı
BEN ŞOK. Reklamını sık sık gördüğüm için uygulamayı denedim ve gerçekten hayran kaldım. Bu uygulama okul için tam ihtiyacım olan şey. Anında ödev yardımı, konu anlatımı, örnek sınavlar, flaşkartlar hepsi hepsi var, şiddetle tavsiye ederim ✅
A.
iOS kullanıcısı
Knowunity'yi keşfedinceye kadar ödevlerimi zamanında tamamlamakta zorlanıyordum, Knowunity sadece kendi ders notlarımı yüklemeyi kolaylaştırmakla kalmıyor, aynı zamanda çalışmamı daha hızlı ve verimli hale getiren harika özetler de sunuyor.
Thomas R
iOS kullanıcısı
Ödevlerim için önemli bilgilerin tümünü bulmak her zaman bir zorluktu - Knowunity'yi kullanmaya başladığımdan beri, ders notlarımı kolayca yükleyebilir ve başkalarının özetlerinden faydalanabilirim, bu da organizasyon konusunda bana çok yardımcı oluyor.
Lisa M
Android kullanıcısı
Ders çalışırken genellikle yeterince genel bakışa sahip olmadığımı hissederdim, ama Knowunity'yi kullanmaya başladığımdan beri bu artık sorun değil - ders notlarımı yüklüyorum ve platformda her zaman yardımcı özetler buluyorum, bu da öğrenmemi çok daha kolaylaştırıyor.
David K
iOS kullanıcısı
Uygulama acayip iyi! Konuyu yazıyorum hemen yanıt alıyorum. Bi şeyi anlamak için 10 tane youtube videosu izlemem gerekmiyor. Kesssinlikle tavsiye ederim!
Sudenaz Ocak
Android kullanıcısı
Matematikte baya kötüydüm ama bu uygulama sayesinde şimdi daha iyiyim. Uygulamayı yapanlara için çok teşekkürler!
G.B.
Android kullanıcısı
Sunumlarım için tüm bilgileri toplamak gerçekten zordu. Ama Knowunity'yi kullanmaya başladığımdan beri, notlarımı yüklüyorum ve başkalarından harika özetler buluyorum - bu da çalışmamı çok daha verimli hale getiriyor!
Julia S
Android kullanıcısı
Tüm çalışma materyalleriyle sürekli stres altındaydım, ama Knowunity'yi kullanmaya başladığımdan beri, notlarımı yüklüyor ve başkalarının harika özetlerine bakıyorum - her şeyi daha iyi yönetmemi sağlıyor ve çok daha az stresli.
Marco B
iOS kullanıcısı
QUİZLER VE FLASHCARDLAR ÇOK FAYDALI VE Knowunity AI'I ÇOK SEVİYORUM. AYRICA TAM OLARAK CHATGPT GİBİ AMA DAHA AKILLI!! RİMEL SORUNLARIMDA DA YARDIM ETTİ!! GERÇEK DERSLERİMDE DE TABII Kİ! DUHHH 😍😁😲🤑💗✨🎀😮
Sarah L
Android kullanıcısı
Eskiden okul materyallerini Google'da aramakla saatler harcardım, ama şimdi sadece notlarımı Knowunity'ye yüklüyorum ve başkalarının faydalı özetlerine bakıyorum - sınavlara hazırlanırken kendimi çok daha güvende hissediyorum.
Paul T
iOS kullanıcısı
Uygulama çok kolay kullanılıyor ve güzel tasarlanmış. Şu ana kadar aradığım her şeyi buldum ve sunumlardan çok şey öğrendim! Kesinlikle ödevlerim için hep kullanacağım!
A.S.
iOS kullanıcısı
Uygulama çok iyi. Çok fazla ders notu ve yardımlaşma var. Örneğin benim problem yaşadığım bir ders Geometriydi ve ANINDA yardım ettiler beraber hem sorularımı çözdük hem konu anlatımı buldum. Herkese tavsiye ederim.
S.L.
Android kullanıcısı
BEN ŞOK. Reklamını sık sık gördüğüm için uygulamayı denedim ve gerçekten hayran kaldım. Bu uygulama okul için tam ihtiyacım olan şey. Anında ödev yardımı, konu anlatımı, örnek sınavlar, flaşkartlar hepsi hepsi var, şiddetle tavsiye ederim ✅
A.
iOS kullanıcısı
Knowunity'yi keşfedinceye kadar ödevlerimi zamanında tamamlamakta zorlanıyordum, Knowunity sadece kendi ders notlarımı yüklemeyi kolaylaştırmakla kalmıyor, aynı zamanda çalışmamı daha hızlı ve verimli hale getiren harika özetler de sunuyor.
Thomas R
iOS kullanıcısı
Ödevlerim için önemli bilgilerin tümünü bulmak her zaman bir zorluktu - Knowunity'yi kullanmaya başladığımdan beri, ders notlarımı kolayca yükleyebilir ve başkalarının özetlerinden faydalanabilirim, bu da organizasyon konusunda bana çok yardımcı oluyor.
Lisa M
Android kullanıcısı
Ders çalışırken genellikle yeterince genel bakışa sahip olmadığımı hissederdim, ama Knowunity'yi kullanmaya başladığımdan beri bu artık sorun değil - ders notlarımı yüklüyorum ve platformda her zaman yardımcı özetler buluyorum, bu da öğrenmemi çok daha kolaylaştırıyor.
David K
iOS kullanıcısı
Uygulama acayip iyi! Konuyu yazıyorum hemen yanıt alıyorum. Bi şeyi anlamak için 10 tane youtube videosu izlemem gerekmiyor. Kesssinlikle tavsiye ederim!
Sudenaz Ocak
Android kullanıcısı
Matematikte baya kötüydüm ama bu uygulama sayesinde şimdi daha iyiyim. Uygulamayı yapanlara için çok teşekkürler!
G.B.
Android kullanıcısı
Sunumlarım için tüm bilgileri toplamak gerçekten zordu. Ama Knowunity'yi kullanmaya başladığımdan beri, notlarımı yüklüyorum ve başkalarından harika özetler buluyorum - bu da çalışmamı çok daha verimli hale getiriyor!
Julia S
Android kullanıcısı
Tüm çalışma materyalleriyle sürekli stres altındaydım, ama Knowunity'yi kullanmaya başladığımdan beri, notlarımı yüklüyor ve başkalarının harika özetlerine bakıyorum - her şeyi daha iyi yönetmemi sağlıyor ve çok daha az stresli.
Marco B
iOS kullanıcısı
QUİZLER VE FLASHCARDLAR ÇOK FAYDALI VE Knowunity AI'I ÇOK SEVİYORUM. AYRICA TAM OLARAK CHATGPT GİBİ AMA DAHA AKILLI!! RİMEL SORUNLARIMDA DA YARDIM ETTİ!! GERÇEK DERSLERİMDE DE TABII Kİ! DUHHH 😍😁😲🤑💗✨🎀😮
Sarah L
Android kullanıcısı
Eskiden okul materyallerini Google'da aramakla saatler harcardım, ama şimdi sadece notlarımı Knowunity'ye yüklüyorum ve başkalarının faydalı özetlerine bakıyorum - sınavlara hazırlanırken kendimi çok daha güvende hissediyorum.
Paul T
iOS kullanıcısı