Logaritma denklemlerini çözme stratejileri, matematikteki en önemli becerilerden biridir. Bu... Daha fazla göster
Ders notlarını görmek için kaydolÜcretsiz!
Tüm belgeleri görebilirsin
Notlarını Yükselt
Milyonlarca öğrenciye katıl
Knowunity AI
Daha fazla
Dersler
Triangle Congruence and Similarity Theorems
Triangle Properties and Classification
Linear Equations and Graphs
Geometric Angle Relationships
Trigonometric Functions and Identities
Equation Solving Techniques
Circle Geometry Fundamentals
Division Operations and Methods
Basic Differentiation Rules
Exponent and Logarithm Properties
Tüm konuları göster
Human Organ Systems
Reproductive Cell Cycles
Biological Sciences Subdisciplines
Cellular Energy Metabolism
Autotrophic Energy Processes
Inheritance Patterns and Principles
Biomolecular Structure and Organization
Cell Cycle and Division Mechanics
Cellular Organization and Development
Biological Structural Organization
Tüm konuları göster
Chemical Sciences and Applications
Atomic Structure and Composition
Molecular Electron Structure Representation
Atomic Electron Behavior
Matter Properties and Water
Mole Concept and Calculations
Gas Laws and Behavior
Periodic Table Organization
Chemical Thermodynamics Fundamentals
Chemical Bond Types and Properties
Tüm konuları göster
European Renaissance and Enlightenment
European Cultural Movements 800-1920
American Revolution Era 1763-1797
American Civil War 1861-1865
Global Imperial Systems
Mongol and Chinese Dynasties
U.S. Presidents and World Leaders
Historical Sources and Documentation
World Wars Era and Impact
World Religious Systems
Tüm konuları göster
Classic and Contemporary Novels
Literary Character Analysis
Rhetorical Theory and Practice
Classic Literary Narratives
Reading Analysis and Interpretation
Narrative Structure and Techniques
English Language Components
Influential English-Language Authors
Basic Sentence Structure
Narrative Voice and Perspective
Tüm konuları göster
614
•
Güncellendi Mar 16, 2026
•
Büşra
@ttheebusra
Logaritma denklemlerini çözme stratejileri, matematikteki en önemli becerilerden biridir. Bu... Daha fazla göster




Logaritmik denklemleri çözerken önce logaritmanın temel özelliklerini hatırlamak gerekir. En çok kullanılan özellikler şunlardır: (1) log₍ₐ₎ f(x) = b ⟹ f(x) = aᵇ, (2) log₍ₐ₎ f(x) = log₍ₐ₎ g(x) ⟹ f(x) = g(x) ve (3) log₍ₐ₎ [f(x)]ʸ = y · log₍ₐ₎ f(x).
Logaritmik denklemlerde çözüme ulaşmak için öncelikle logaritma özelliklerini kullanarak denklemi daha basit hale getirmeniz gerekir. Örneğin log₂=3 denkleminde, log₂=3 ⟹ 5x-7=2³ ⟹ 5x-7=8 ⟹ 5x=15 ⟹ x=3 sonucunu buluruz.
Logaritmaların eşitlik özelliğini kullanarak da denklem çözebiliriz. log-log(2x)=log20 örneğinde, log=log20 ⟹ /2x=20 ⟹ x+5=40x ⟹ 5=39x ⟹ x=5/39 bulunur.
Pratik İpucu: Logaritmik denklem çözerken her zaman tanım kümesini (yani f(x) > 0 olmalı) kontrol etmeyi unutmayın. Bu, geçersiz sonuçları elemenize yardımcı olacaktır.

Karmaşık logaritmik denklemleri çözmede en etkili yöntemlerden biri değişken değiştirmedir. Örneğin (log₄x)² - log₄x = 2 denkleminde, log₄x = u koyarak ikinci dereceden bir denkleme dönüştürebiliriz: u² - u = 2 ⟹ u² - u - 2 = 0 ⟹ = 0 ⟹ u = 2 veya u = -1.
Değişken değiştirme yöntemi, logaritma içeren denklemleri tanıdık biçimlere dönüştürmenize olanak tanır. Örneğin (log₅x)² - log₅x² = 0 denkleminde, log₅x = u diyerek u² - 2u = 0 ⟹ u = 0 ⟹ u = 0 veya u = 2 buluruz. Sonra u yerine log₅x yazarak x değerlerini hesaplayabiliriz.
Bazen logaritmik denklemlerde farklı tabanlar da olabilir. Bu durumda logaritma özelliklerini kullanarak tabanları birleştirmelisiniz. log₂x + log₄x - log₈x = 1/3 örneğinde, tüm logaritmaları log₂ tabanına dönüştürerek çözüme ulaşabiliriz.
Dikkat: Bulduğunuz çözümleri her zaman orijinal denkleme yerleştirerek kontrol edin. Bazen bazı çözümler logaritmanın tanım kümesi şartlarını sağlamayabilir (negatif veya 0 sayıların logaritması olmaz).

Doğal logaritma (ln) içeren denklemlerde de benzer çözüm stratejilerini uygulayabiliriz. Örneğin lnx + lny = 5 ve lnx - lny = 3 denklem sisteminde, ilk denklemden lny = 5 - lnx elde edip ikinci denklemde yerine yazarsak: lnx - = 3 ⟹ 2lnx = 8 ⟹ lnx = 4 ⟹ x = e⁴ buluruz.
Denklem sistemlerinde elimizasyon yöntemi logaritmik denklemlerde de işe yarar. Örneğin lnx + lny = 5 ve 2lnx + 3lny = 12 denklemlerinde, ilk denklemi -2 ile çarpıp ikinci denklemle toplarsak: -2lnx - 2lny + 2lnx + 3lny = -10 + 12 ⟹ lny = 2 ⟹ y = e² elde ederiz.
Logaritmik denklemleri çözerken, logaritma kurallarını doğru uygulamak en önemli adımdır. ln(xy) = lnx + lny ve ln = lnx - lny gibi kuralları kullanarak karmaşık ifadeleri basitleştirebilirsiniz.
Başarı İpucu: Logaritma denklemlerini çözmekte zorlanıyorsanız, önce denklemin her iki tarafındaki logaritma tabanlarını aynı hale getirin ve sonra adım adım ilerleyin. Bu yaklaşım, çözüm sürecini oldukça kolaylaştıracaktır.
Yapay zeka arkadaşımız öğrencilerin ihtiyaçlarına göre özel olarak tasarlanmıştır. Platformda bulunan milyonlarca içeriğe dayanarak öğrencilere gerçekten anlamlı ve ilgili yanıtlar verebiliyoruz. Ancak mesele sadece cevaplar değil, refakatçi aynı zamanda kişiselleştirilmiş öğrenme planları, sınavlar veya sohbet içerikleri ve öğrencilerin becerilerine ve gelişimlerine dayalı %100 kişiselleştirme ile öğrencilere günlük öğrenme zorluklarında rehberlik ediyor.
Uygulamayı Google Play Store ve Apple App Store'dan indirebilirsiniz.
Knowunity uygulaması ücretsiz! Uygulamamız çok yakında indirmeye hazır olacak, bekle bizi. 💙
Tyt Matematik Kavram Haritası özet
App Store
Google Play
Uygulama çok kolay kullanılıyor ve güzel tasarlanmış. Şu ana kadar aradığım her şeyi buldum ve sunumlardan çok şey öğrendim! Kesinlikle ödevlerim için hep kullanacağım!
A.S.
iOS kullanıcısı
Uygulama çok iyi. Çok fazla ders notu ve yardımlaşma var. Örneğin benim problem yaşadığım bir ders Geometriydi ve ANINDA yardım ettiler beraber hem sorularımı çözdük hem konu anlatımı buldum. Herkese tavsiye ederim.
S.L.
Android kullanıcısı
BEN ŞOK. Reklamını sık sık gördüğüm için uygulamayı denedim ve gerçekten hayran kaldım. Bu uygulama okul için tam ihtiyacım olan şey. Anında ödev yardımı, konu anlatımı, örnek sınavlar, flaşkartlar hepsi hepsi var, şiddetle tavsiye ederim ✅
A.
iOS kullanıcısı
Knowunity'yi keşfedinceye kadar ödevlerimi zamanında tamamlamakta zorlanıyordum, Knowunity sadece kendi ders notlarımı yüklemeyi kolaylaştırmakla kalmıyor, aynı zamanda çalışmamı daha hızlı ve verimli hale getiren harika özetler de sunuyor.
Thomas R
iOS kullanıcısı
Ödevlerim için önemli bilgilerin tümünü bulmak her zaman bir zorluktu - Knowunity'yi kullanmaya başladığımdan beri, ders notlarımı kolayca yükleyebilir ve başkalarının özetlerinden faydalanabilirim, bu da organizasyon konusunda bana çok yardımcı oluyor.
Lisa M
Android kullanıcısı
Ders çalışırken genellikle yeterince genel bakışa sahip olmadığımı hissederdim, ama Knowunity'yi kullanmaya başladığımdan beri bu artık sorun değil - ders notlarımı yüklüyorum ve platformda her zaman yardımcı özetler buluyorum, bu da öğrenmemi çok daha kolaylaştırıyor.
David K
iOS kullanıcısı
Uygulama acayip iyi! Konuyu yazıyorum hemen yanıt alıyorum. Bi şeyi anlamak için 10 tane youtube videosu izlemem gerekmiyor. Kesssinlikle tavsiye ederim!
Sudenaz Ocak
Android kullanıcısı
Matematikte baya kötüydüm ama bu uygulama sayesinde şimdi daha iyiyim. Uygulamayı yapanlara için çok teşekkürler!
G.B.
Android kullanıcısı
Sunumlarım için tüm bilgileri toplamak gerçekten zordu. Ama Knowunity'yi kullanmaya başladığımdan beri, notlarımı yüklüyorum ve başkalarından harika özetler buluyorum - bu da çalışmamı çok daha verimli hale getiriyor!
Julia S
Android kullanıcısı
Tüm çalışma materyalleriyle sürekli stres altındaydım, ama Knowunity'yi kullanmaya başladığımdan beri, notlarımı yüklüyor ve başkalarının harika özetlerine bakıyorum - her şeyi daha iyi yönetmemi sağlıyor ve çok daha az stresli.
Marco B
iOS kullanıcısı
QUİZLER VE FLASHCARDLAR ÇOK FAYDALI VE Knowunity AI'I ÇOK SEVİYORUM. AYRICA TAM OLARAK CHATGPT GİBİ AMA DAHA AKILLI!! RİMEL SORUNLARIMDA DA YARDIM ETTİ!! GERÇEK DERSLERİMDE DE TABII Kİ! DUHHH 😍😁😲🤑💗✨🎀😮
Sarah L
Android kullanıcısı
Eskiden okul materyallerini Google'da aramakla saatler harcardım, ama şimdi sadece notlarımı Knowunity'ye yüklüyorum ve başkalarının faydalı özetlerine bakıyorum - sınavlara hazırlanırken kendimi çok daha güvende hissediyorum.
Paul T
iOS kullanıcısı
Uygulama çok kolay kullanılıyor ve güzel tasarlanmış. Şu ana kadar aradığım her şeyi buldum ve sunumlardan çok şey öğrendim! Kesinlikle ödevlerim için hep kullanacağım!
A.S.
iOS kullanıcısı
Uygulama çok iyi. Çok fazla ders notu ve yardımlaşma var. Örneğin benim problem yaşadığım bir ders Geometriydi ve ANINDA yardım ettiler beraber hem sorularımı çözdük hem konu anlatımı buldum. Herkese tavsiye ederim.
S.L.
Android kullanıcısı
BEN ŞOK. Reklamını sık sık gördüğüm için uygulamayı denedim ve gerçekten hayran kaldım. Bu uygulama okul için tam ihtiyacım olan şey. Anında ödev yardımı, konu anlatımı, örnek sınavlar, flaşkartlar hepsi hepsi var, şiddetle tavsiye ederim ✅
A.
iOS kullanıcısı
Knowunity'yi keşfedinceye kadar ödevlerimi zamanında tamamlamakta zorlanıyordum, Knowunity sadece kendi ders notlarımı yüklemeyi kolaylaştırmakla kalmıyor, aynı zamanda çalışmamı daha hızlı ve verimli hale getiren harika özetler de sunuyor.
Thomas R
iOS kullanıcısı
Ödevlerim için önemli bilgilerin tümünü bulmak her zaman bir zorluktu - Knowunity'yi kullanmaya başladığımdan beri, ders notlarımı kolayca yükleyebilir ve başkalarının özetlerinden faydalanabilirim, bu da organizasyon konusunda bana çok yardımcı oluyor.
Lisa M
Android kullanıcısı
Ders çalışırken genellikle yeterince genel bakışa sahip olmadığımı hissederdim, ama Knowunity'yi kullanmaya başladığımdan beri bu artık sorun değil - ders notlarımı yüklüyorum ve platformda her zaman yardımcı özetler buluyorum, bu da öğrenmemi çok daha kolaylaştırıyor.
David K
iOS kullanıcısı
Uygulama acayip iyi! Konuyu yazıyorum hemen yanıt alıyorum. Bi şeyi anlamak için 10 tane youtube videosu izlemem gerekmiyor. Kesssinlikle tavsiye ederim!
Sudenaz Ocak
Android kullanıcısı
Matematikte baya kötüydüm ama bu uygulama sayesinde şimdi daha iyiyim. Uygulamayı yapanlara için çok teşekkürler!
G.B.
Android kullanıcısı
Sunumlarım için tüm bilgileri toplamak gerçekten zordu. Ama Knowunity'yi kullanmaya başladığımdan beri, notlarımı yüklüyorum ve başkalarından harika özetler buluyorum - bu da çalışmamı çok daha verimli hale getiriyor!
Julia S
Android kullanıcısı
Tüm çalışma materyalleriyle sürekli stres altındaydım, ama Knowunity'yi kullanmaya başladığımdan beri, notlarımı yüklüyor ve başkalarının harika özetlerine bakıyorum - her şeyi daha iyi yönetmemi sağlıyor ve çok daha az stresli.
Marco B
iOS kullanıcısı
QUİZLER VE FLASHCARDLAR ÇOK FAYDALI VE Knowunity AI'I ÇOK SEVİYORUM. AYRICA TAM OLARAK CHATGPT GİBİ AMA DAHA AKILLI!! RİMEL SORUNLARIMDA DA YARDIM ETTİ!! GERÇEK DERSLERİMDE DE TABII Kİ! DUHHH 😍😁😲🤑💗✨🎀😮
Sarah L
Android kullanıcısı
Eskiden okul materyallerini Google'da aramakla saatler harcardım, ama şimdi sadece notlarımı Knowunity'ye yüklüyorum ve başkalarının faydalı özetlerine bakıyorum - sınavlara hazırlanırken kendimi çok daha güvende hissediyorum.
Paul T
iOS kullanıcısı
Büşra
@ttheebusra
Logaritma denklemlerini çözme stratejileri, matematikteki en önemli becerilerden biridir. Bu notlar, logaritmik denklemlerin özelliklerini ve farklı çözüm yöntemlerini gösteriyor. Temel logaritma kurallarını kullanarak karmaşık denklemleri nasıl basitleştirebileceğinizi öğreneceksiniz.

Tüm belgeleri görebilirsin
Notlarını Yükselt
Milyonlarca öğrenciye katıl
Logaritmik denklemleri çözerken önce logaritmanın temel özelliklerini hatırlamak gerekir. En çok kullanılan özellikler şunlardır: (1) log₍ₐ₎ f(x) = b ⟹ f(x) = aᵇ, (2) log₍ₐ₎ f(x) = log₍ₐ₎ g(x) ⟹ f(x) = g(x) ve (3) log₍ₐ₎ [f(x)]ʸ = y · log₍ₐ₎ f(x).
Logaritmik denklemlerde çözüme ulaşmak için öncelikle logaritma özelliklerini kullanarak denklemi daha basit hale getirmeniz gerekir. Örneğin log₂=3 denkleminde, log₂=3 ⟹ 5x-7=2³ ⟹ 5x-7=8 ⟹ 5x=15 ⟹ x=3 sonucunu buluruz.
Logaritmaların eşitlik özelliğini kullanarak da denklem çözebiliriz. log-log(2x)=log20 örneğinde, log=log20 ⟹ /2x=20 ⟹ x+5=40x ⟹ 5=39x ⟹ x=5/39 bulunur.
Pratik İpucu: Logaritmik denklem çözerken her zaman tanım kümesini (yani f(x) > 0 olmalı) kontrol etmeyi unutmayın. Bu, geçersiz sonuçları elemenize yardımcı olacaktır.

Tüm belgeleri görebilirsin
Notlarını Yükselt
Milyonlarca öğrenciye katıl
Karmaşık logaritmik denklemleri çözmede en etkili yöntemlerden biri değişken değiştirmedir. Örneğin (log₄x)² - log₄x = 2 denkleminde, log₄x = u koyarak ikinci dereceden bir denkleme dönüştürebiliriz: u² - u = 2 ⟹ u² - u - 2 = 0 ⟹ = 0 ⟹ u = 2 veya u = -1.
Değişken değiştirme yöntemi, logaritma içeren denklemleri tanıdık biçimlere dönüştürmenize olanak tanır. Örneğin (log₅x)² - log₅x² = 0 denkleminde, log₅x = u diyerek u² - 2u = 0 ⟹ u = 0 ⟹ u = 0 veya u = 2 buluruz. Sonra u yerine log₅x yazarak x değerlerini hesaplayabiliriz.
Bazen logaritmik denklemlerde farklı tabanlar da olabilir. Bu durumda logaritma özelliklerini kullanarak tabanları birleştirmelisiniz. log₂x + log₄x - log₈x = 1/3 örneğinde, tüm logaritmaları log₂ tabanına dönüştürerek çözüme ulaşabiliriz.
Dikkat: Bulduğunuz çözümleri her zaman orijinal denkleme yerleştirerek kontrol edin. Bazen bazı çözümler logaritmanın tanım kümesi şartlarını sağlamayabilir (negatif veya 0 sayıların logaritması olmaz).

Tüm belgeleri görebilirsin
Notlarını Yükselt
Milyonlarca öğrenciye katıl
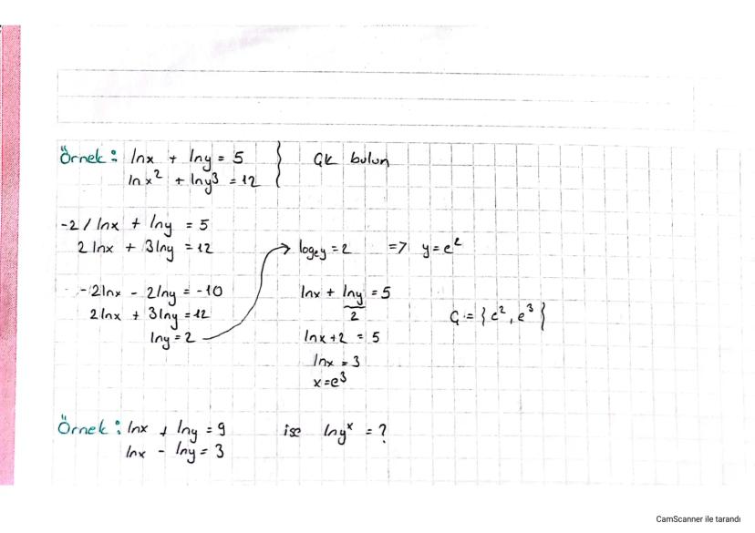
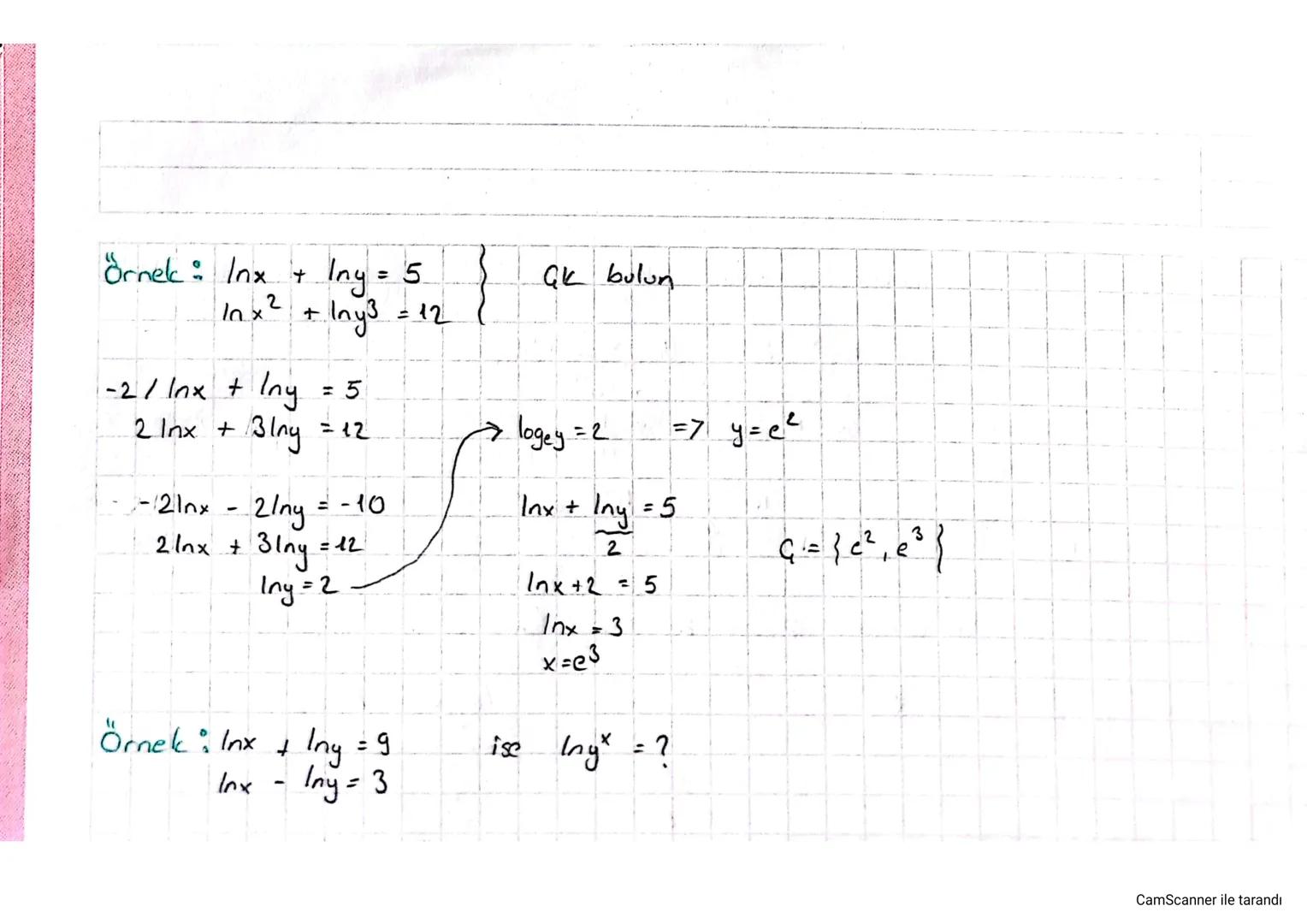
Doğal logaritma (ln) içeren denklemlerde de benzer çözüm stratejilerini uygulayabiliriz. Örneğin lnx + lny = 5 ve lnx - lny = 3 denklem sisteminde, ilk denklemden lny = 5 - lnx elde edip ikinci denklemde yerine yazarsak: lnx - = 3 ⟹ 2lnx = 8 ⟹ lnx = 4 ⟹ x = e⁴ buluruz.
Denklem sistemlerinde elimizasyon yöntemi logaritmik denklemlerde de işe yarar. Örneğin lnx + lny = 5 ve 2lnx + 3lny = 12 denklemlerinde, ilk denklemi -2 ile çarpıp ikinci denklemle toplarsak: -2lnx - 2lny + 2lnx + 3lny = -10 + 12 ⟹ lny = 2 ⟹ y = e² elde ederiz.
Logaritmik denklemleri çözerken, logaritma kurallarını doğru uygulamak en önemli adımdır. ln(xy) = lnx + lny ve ln = lnx - lny gibi kuralları kullanarak karmaşık ifadeleri basitleştirebilirsiniz.
Başarı İpucu: Logaritma denklemlerini çözmekte zorlanıyorsanız, önce denklemin her iki tarafındaki logaritma tabanlarını aynı hale getirin ve sonra adım adım ilerleyin. Bu yaklaşım, çözüm sürecini oldukça kolaylaştıracaktır.
Yapay zeka arkadaşımız öğrencilerin ihtiyaçlarına göre özel olarak tasarlanmıştır. Platformda bulunan milyonlarca içeriğe dayanarak öğrencilere gerçekten anlamlı ve ilgili yanıtlar verebiliyoruz. Ancak mesele sadece cevaplar değil, refakatçi aynı zamanda kişiselleştirilmiş öğrenme planları, sınavlar veya sohbet içerikleri ve öğrencilerin becerilerine ve gelişimlerine dayalı %100 kişiselleştirme ile öğrencilere günlük öğrenme zorluklarında rehberlik ediyor.
Uygulamayı Google Play Store ve Apple App Store'dan indirebilirsiniz.
Knowunity uygulaması ücretsiz! Uygulamamız çok yakında indirmeye hazır olacak, bekle bizi. 💙
82
Akıllı Araçlar YENİ
Bu notu şunlara dönüştür: ✓ 50+ Alıştırma Sorusu ✓ Etkileşimli Flash Kartları ✓ Tam Deneme Sınavı ✓ Kompozisyon Taslakları
Tyt Matematik Kavram Haritası özet
App Store
Google Play
Uygulama çok kolay kullanılıyor ve güzel tasarlanmış. Şu ana kadar aradığım her şeyi buldum ve sunumlardan çok şey öğrendim! Kesinlikle ödevlerim için hep kullanacağım!
A.S.
iOS kullanıcısı
Uygulama çok iyi. Çok fazla ders notu ve yardımlaşma var. Örneğin benim problem yaşadığım bir ders Geometriydi ve ANINDA yardım ettiler beraber hem sorularımı çözdük hem konu anlatımı buldum. Herkese tavsiye ederim.
S.L.
Android kullanıcısı
BEN ŞOK. Reklamını sık sık gördüğüm için uygulamayı denedim ve gerçekten hayran kaldım. Bu uygulama okul için tam ihtiyacım olan şey. Anında ödev yardımı, konu anlatımı, örnek sınavlar, flaşkartlar hepsi hepsi var, şiddetle tavsiye ederim ✅
A.
iOS kullanıcısı
Knowunity'yi keşfedinceye kadar ödevlerimi zamanında tamamlamakta zorlanıyordum, Knowunity sadece kendi ders notlarımı yüklemeyi kolaylaştırmakla kalmıyor, aynı zamanda çalışmamı daha hızlı ve verimli hale getiren harika özetler de sunuyor.
Thomas R
iOS kullanıcısı
Ödevlerim için önemli bilgilerin tümünü bulmak her zaman bir zorluktu - Knowunity'yi kullanmaya başladığımdan beri, ders notlarımı kolayca yükleyebilir ve başkalarının özetlerinden faydalanabilirim, bu da organizasyon konusunda bana çok yardımcı oluyor.
Lisa M
Android kullanıcısı
Ders çalışırken genellikle yeterince genel bakışa sahip olmadığımı hissederdim, ama Knowunity'yi kullanmaya başladığımdan beri bu artık sorun değil - ders notlarımı yüklüyorum ve platformda her zaman yardımcı özetler buluyorum, bu da öğrenmemi çok daha kolaylaştırıyor.
David K
iOS kullanıcısı
Uygulama acayip iyi! Konuyu yazıyorum hemen yanıt alıyorum. Bi şeyi anlamak için 10 tane youtube videosu izlemem gerekmiyor. Kesssinlikle tavsiye ederim!
Sudenaz Ocak
Android kullanıcısı
Matematikte baya kötüydüm ama bu uygulama sayesinde şimdi daha iyiyim. Uygulamayı yapanlara için çok teşekkürler!
G.B.
Android kullanıcısı
Sunumlarım için tüm bilgileri toplamak gerçekten zordu. Ama Knowunity'yi kullanmaya başladığımdan beri, notlarımı yüklüyorum ve başkalarından harika özetler buluyorum - bu da çalışmamı çok daha verimli hale getiriyor!
Julia S
Android kullanıcısı
Tüm çalışma materyalleriyle sürekli stres altındaydım, ama Knowunity'yi kullanmaya başladığımdan beri, notlarımı yüklüyor ve başkalarının harika özetlerine bakıyorum - her şeyi daha iyi yönetmemi sağlıyor ve çok daha az stresli.
Marco B
iOS kullanıcısı
QUİZLER VE FLASHCARDLAR ÇOK FAYDALI VE Knowunity AI'I ÇOK SEVİYORUM. AYRICA TAM OLARAK CHATGPT GİBİ AMA DAHA AKILLI!! RİMEL SORUNLARIMDA DA YARDIM ETTİ!! GERÇEK DERSLERİMDE DE TABII Kİ! DUHHH 😍😁😲🤑💗✨🎀😮
Sarah L
Android kullanıcısı
Eskiden okul materyallerini Google'da aramakla saatler harcardım, ama şimdi sadece notlarımı Knowunity'ye yüklüyorum ve başkalarının faydalı özetlerine bakıyorum - sınavlara hazırlanırken kendimi çok daha güvende hissediyorum.
Paul T
iOS kullanıcısı
Uygulama çok kolay kullanılıyor ve güzel tasarlanmış. Şu ana kadar aradığım her şeyi buldum ve sunumlardan çok şey öğrendim! Kesinlikle ödevlerim için hep kullanacağım!
A.S.
iOS kullanıcısı
Uygulama çok iyi. Çok fazla ders notu ve yardımlaşma var. Örneğin benim problem yaşadığım bir ders Geometriydi ve ANINDA yardım ettiler beraber hem sorularımı çözdük hem konu anlatımı buldum. Herkese tavsiye ederim.
S.L.
Android kullanıcısı
BEN ŞOK. Reklamını sık sık gördüğüm için uygulamayı denedim ve gerçekten hayran kaldım. Bu uygulama okul için tam ihtiyacım olan şey. Anında ödev yardımı, konu anlatımı, örnek sınavlar, flaşkartlar hepsi hepsi var, şiddetle tavsiye ederim ✅
A.
iOS kullanıcısı
Knowunity'yi keşfedinceye kadar ödevlerimi zamanında tamamlamakta zorlanıyordum, Knowunity sadece kendi ders notlarımı yüklemeyi kolaylaştırmakla kalmıyor, aynı zamanda çalışmamı daha hızlı ve verimli hale getiren harika özetler de sunuyor.
Thomas R
iOS kullanıcısı
Ödevlerim için önemli bilgilerin tümünü bulmak her zaman bir zorluktu - Knowunity'yi kullanmaya başladığımdan beri, ders notlarımı kolayca yükleyebilir ve başkalarının özetlerinden faydalanabilirim, bu da organizasyon konusunda bana çok yardımcı oluyor.
Lisa M
Android kullanıcısı
Ders çalışırken genellikle yeterince genel bakışa sahip olmadığımı hissederdim, ama Knowunity'yi kullanmaya başladığımdan beri bu artık sorun değil - ders notlarımı yüklüyorum ve platformda her zaman yardımcı özetler buluyorum, bu da öğrenmemi çok daha kolaylaştırıyor.
David K
iOS kullanıcısı
Uygulama acayip iyi! Konuyu yazıyorum hemen yanıt alıyorum. Bi şeyi anlamak için 10 tane youtube videosu izlemem gerekmiyor. Kesssinlikle tavsiye ederim!
Sudenaz Ocak
Android kullanıcısı
Matematikte baya kötüydüm ama bu uygulama sayesinde şimdi daha iyiyim. Uygulamayı yapanlara için çok teşekkürler!
G.B.
Android kullanıcısı
Sunumlarım için tüm bilgileri toplamak gerçekten zordu. Ama Knowunity'yi kullanmaya başladığımdan beri, notlarımı yüklüyorum ve başkalarından harika özetler buluyorum - bu da çalışmamı çok daha verimli hale getiriyor!
Julia S
Android kullanıcısı
Tüm çalışma materyalleriyle sürekli stres altındaydım, ama Knowunity'yi kullanmaya başladığımdan beri, notlarımı yüklüyor ve başkalarının harika özetlerine bakıyorum - her şeyi daha iyi yönetmemi sağlıyor ve çok daha az stresli.
Marco B
iOS kullanıcısı
QUİZLER VE FLASHCARDLAR ÇOK FAYDALI VE Knowunity AI'I ÇOK SEVİYORUM. AYRICA TAM OLARAK CHATGPT GİBİ AMA DAHA AKILLI!! RİMEL SORUNLARIMDA DA YARDIM ETTİ!! GERÇEK DERSLERİMDE DE TABII Kİ! DUHHH 😍😁😲🤑💗✨🎀😮
Sarah L
Android kullanıcısı
Eskiden okul materyallerini Google'da aramakla saatler harcardım, ama şimdi sadece notlarımı Knowunity'ye yüklüyorum ve başkalarının faydalı özetlerine bakıyorum - sınavlara hazırlanırken kendimi çok daha güvende hissediyorum.
Paul T
iOS kullanıcısı