Basit eşitsizlikler, matematikte iki ifadenin karşılaştırılmasını sağlayan ve günlük hayattan... Daha fazla göster
Ders notlarını görmek için kaydolÜcretsiz!
Tüm belgeleri görebilirsin
Notlarını Yükselt
Milyonlarca öğrenciye katıl
Knowunity AI
Daha fazla
Dersler
Triangle Congruence and Similarity Theorems
Triangle Properties and Classification
Linear Equations and Graphs
Geometric Angle Relationships
Trigonometric Functions and Identities
Equation Solving Techniques
Circle Geometry Fundamentals
Division Operations and Methods
Basic Differentiation Rules
Exponent and Logarithm Properties
Tüm konuları göster
Human Organ Systems
Reproductive Cell Cycles
Biological Sciences Subdisciplines
Cellular Energy Metabolism
Autotrophic Energy Processes
Inheritance Patterns and Principles
Biomolecular Structure and Organization
Cell Cycle and Division Mechanics
Cellular Organization and Development
Biological Structural Organization
Tüm konuları göster
Chemical Sciences and Applications
Atomic Structure and Composition
Molecular Electron Structure Representation
Atomic Electron Behavior
Matter Properties and Water
Mole Concept and Calculations
Gas Laws and Behavior
Periodic Table Organization
Chemical Thermodynamics Fundamentals
Chemical Bond Types and Properties
Tüm konuları göster
European Renaissance and Enlightenment
European Cultural Movements 800-1920
American Revolution Era 1763-1797
American Civil War 1861-1865
Global Imperial Systems
Mongol and Chinese Dynasties
U.S. Presidents and World Leaders
Historical Sources and Documentation
World Wars Era and Impact
World Religious Systems
Tüm konuları göster
Classic and Contemporary Novels
Literary Character Analysis
Rhetorical Theory and Practice
Classic Literary Narratives
Reading Analysis and Interpretation
Narrative Structure and Techniques
English Language Components
Influential English-Language Authors
Basic Sentence Structure
Narrative Voice and Perspective
Tüm konuları göster
463
•
Güncellendi Mar 20, 2026
•
Sinem
@smn_.3882
Basit eşitsizlikler, matematikte iki ifadenin karşılaştırılmasını sağlayan ve günlük hayattan... Daha fazla göster






Eşitsizlik, iki matematiksel ifadenin birbirinden büyük, küçük veya eşit olma durumunu gösterir. Temel semboller > (büyüktür), < (küçüktür), ≥ (büyük veya eşittir) ve ≤ (küçük veya eşittir) şeklindedir.
Eşitsizlik aralıkları farklı gösterimlere sahiptir. Örneğin, 2<x<5 ifadesi (2,5) olarak gösterilirken, 2≤x<5 ifadesi [2,5) şeklinde gösterilir. Kapalı aralıklarda köşeli parantez, açık aralıklarda normal parantez kullanırız.
Eşitsizliklerle işlem yaparken bazı kurallar vardır. Her iki tarafa aynı sayıyı eklediğimizde veya çıkardığımızda eşitsizliğin yönü değişmez. Ancak her iki tarafı bir sayıyla çarparken veya bölerken dikkatli olmalıyız: pozitif sayıyla çarpma/bölmede yön aynı kalırken, negatif sayıyla çarpma/bölmede yön değişir.
Not: Bir eşitsizliğin her iki tarafını negatif bir sayıyla çarptığınızda veya böldüğünüzde eşitsizlik yönünün değiştiğini unutmayın. Bu, öğrencilerin en sık yaptığı hatalardan biridir!

Aynı yönlü iki eşitsizliği taraf tarafa toplayabiliriz. Örneğin, a<b ve c<d ise a+c<b+d olur. Bu özellik problem çözümünde oldukça işe yarar ve işlemlerinizi kolaylaştırır.
Eşitsizlikleri çıkarma işleminde ise dikkatli olmalıyız. Aynı yönlü eşitsizlikleri çıkarmak için, birini eksi ile çarparak toplama işlemine dönüştürürüz. Böylece a<b ve c<d iken, a-d<b-c olur.
Sayıların tersleriyle ilgili eşitsizlikler de önemlidir. Aynı işaretli pozitif sayılar için a>b>0 olduğunda 1/a<1/b olur. Yani sıralama tersine döner. Farklı işaretli sayılarda ise (a>0>b durumu) 1/a>1/b olur ve sıralama aynı kalır.
İpucu: Bir sayının çift kuvvetleri her zaman sıfır veya pozitiftir (a²ⁿ≥0). Sayıların tek kuvvetleri ise sayının işaretini korur: pozitif sayıların tek kuvveti pozitif, negatif sayıların tek kuvveti negatiftir.

Sayılar üzerinde özel eşitsizlik durumları vardır. Mesela a²<a olduğunda, a sayısı 0 ile 1 arasındadır. Eğer a²>a ise, a sayısı 1'den büyük veya negatif olur. Bu tür ilişkiler sizi problemlerde hızlı çözüme götürür.
Belirli aralıklardaki sayıların kuvvetleri de belirli aralıklarda değerler alır. Örneğin, 2<a<5 ise a²'nin değerleri 4<a²<25 aralığındadır. Negatif sayılar için de benzer kurallar vardır: -4<a<-1 ise 16>a²>1 olur.
Eşitsizlik problemlerinde çarpma işleminde sınırları belirlemek için uç değerleri kontrol etmek gerekir. Örneğin, -3<a<5 ve -4<b<2 ise a·b ifadesinin alabileceği en büyük ve en küçük değerleri bulmak için a ve b'nin tüm uç değerlerini hesaplamamız gerekir.
Hatırlatma: Eşitsizlik problemlerinde çarpma işlemi yaparken, değerlerin işaretlerine dikkat edin ve mutlaka bir tablo kullanarak uç değerleri hesaplayın. Bu, çözümünüzün doğru olmasını sağlar.

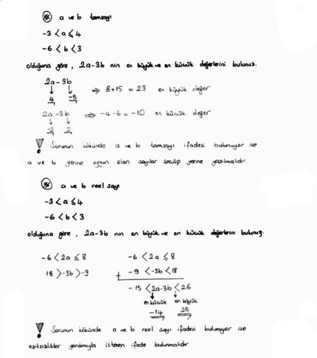
Eşitsizlik problemlerinde sayı tipine dikkat etmeliyiz. Eğer a ve b tam sayı ise, aralıktaki tüm tam sayıları deneyerek en büyük ve en küçük değerleri bulabiliriz. Örneğin, -3<a≤4 ve -6<b<3 tam sayıları için 2a-3b ifadesinin en büyük değeri 23, en küçük değeri -10 olur.
Eğer a ve b reel sayılar ise, eşitsizlik kurallarını kullanarak çözüme ulaşırız. Aynı aralıklarda, 2a-3b ifadesinin en büyük değeri 26, en küçük değeri -15 olur. Gördüğünüz gibi tam sayı ve reel sayı durumları farklı sonuçlar verir.
Problem çözerken, öncelikle sayı kümesini (tam sayı mı, reel sayı mı) belirlemelisiniz. Tam sayı durumunda uygun değerleri seçip hesaplayın, reel sayı durumunda ise eşitsizlikleri kullanarak aralığı belirleyin.
Önemli: Eşitsizlik problemlerinde sayı kümesi belirtilmişse (tam sayı, reel sayı gibi), buna uygun yöntemi seçmelisiniz. Bu, çözümünüzün doğruluğunu doğrudan etkiler!

Denklem ve eşitsizliği birlikte içeren problemleri çözerken, denklemi kullanarak bir değişkeni diğeri cinsinden yazıp eşitsizliğe yerleştirebiliriz. Örneğin, -3<a≤5 ve 5a-2b=3 ise, b'nin hangi aralıkta değer alacağını bulmak için a değerini b cinsinden yazıp eşitsizliğe yerleştiriyoruz. Bu işlemler sonucu b'nin -9<b≤11 aralığında değer aldığını buluruz.
Fonksiyonların minimum ve maksimum değerlerini bulmak için kare tamamlama yöntemini kullanabilirsiniz. Örneğin, -3<x<4 aralığında x²-4x+10 ifadesinin değerlerini ²+6 şeklinde yazıp, en küçük değerin 6, en büyük değerin 30 olduğunu görebiliriz.
Çarpım şeklindeki eşitsizliklerde, ifadelerin işaretlerini inceleyerek değişkenlerin işaretleri hakkında sonuç çıkarabiliriz. Bu tür problemlerde, sistematik olarak her değişkenin farklı işaret durumlarını kontrol etmeniz gerekir.
Strateji: Karmaşık eşitsizlik problemlerinde önce problemi basit parçalara ayırın, daha sonra her bir adımda bir eşitsizliği çözerek ilerleyin. Sonuçları bir araya getirerek nihai çözüme ulaşabilirsiniz.
Yapay zeka arkadaşımız öğrencilerin ihtiyaçlarına göre özel olarak tasarlanmıştır. Platformda bulunan milyonlarca içeriğe dayanarak öğrencilere gerçekten anlamlı ve ilgili yanıtlar verebiliyoruz. Ancak mesele sadece cevaplar değil, refakatçi aynı zamanda kişiselleştirilmiş öğrenme planları, sınavlar veya sohbet içerikleri ve öğrencilerin becerilerine ve gelişimlerine dayalı %100 kişiselleştirme ile öğrencilere günlük öğrenme zorluklarında rehberlik ediyor.
Uygulamayı Google Play Store ve Apple App Store'dan indirebilirsiniz.
Knowunity uygulaması ücretsiz! Uygulamamız çok yakında indirmeye hazır olacak, bekle bizi. 💙
Tyt Matematik Kavram Haritası özet
App Store
Google Play
Uygulama çok kolay kullanılıyor ve güzel tasarlanmış. Şu ana kadar aradığım her şeyi buldum ve sunumlardan çok şey öğrendim! Kesinlikle ödevlerim için hep kullanacağım!
A.S.
iOS kullanıcısı
Uygulama çok iyi. Çok fazla ders notu ve yardımlaşma var. Örneğin benim problem yaşadığım bir ders Geometriydi ve ANINDA yardım ettiler beraber hem sorularımı çözdük hem konu anlatımı buldum. Herkese tavsiye ederim.
S.L.
Android kullanıcısı
BEN ŞOK. Reklamını sık sık gördüğüm için uygulamayı denedim ve gerçekten hayran kaldım. Bu uygulama okul için tam ihtiyacım olan şey. Anında ödev yardımı, konu anlatımı, örnek sınavlar, flaşkartlar hepsi hepsi var, şiddetle tavsiye ederim ✅
A.
iOS kullanıcısı
Knowunity'yi keşfedinceye kadar ödevlerimi zamanında tamamlamakta zorlanıyordum, Knowunity sadece kendi ders notlarımı yüklemeyi kolaylaştırmakla kalmıyor, aynı zamanda çalışmamı daha hızlı ve verimli hale getiren harika özetler de sunuyor.
Thomas R
iOS kullanıcısı
Ödevlerim için önemli bilgilerin tümünü bulmak her zaman bir zorluktu - Knowunity'yi kullanmaya başladığımdan beri, ders notlarımı kolayca yükleyebilir ve başkalarının özetlerinden faydalanabilirim, bu da organizasyon konusunda bana çok yardımcı oluyor.
Lisa M
Android kullanıcısı
Ders çalışırken genellikle yeterince genel bakışa sahip olmadığımı hissederdim, ama Knowunity'yi kullanmaya başladığımdan beri bu artık sorun değil - ders notlarımı yüklüyorum ve platformda her zaman yardımcı özetler buluyorum, bu da öğrenmemi çok daha kolaylaştırıyor.
David K
iOS kullanıcısı
Uygulama acayip iyi! Konuyu yazıyorum hemen yanıt alıyorum. Bi şeyi anlamak için 10 tane youtube videosu izlemem gerekmiyor. Kesssinlikle tavsiye ederim!
Sudenaz Ocak
Android kullanıcısı
Matematikte baya kötüydüm ama bu uygulama sayesinde şimdi daha iyiyim. Uygulamayı yapanlara için çok teşekkürler!
G.B.
Android kullanıcısı
Sunumlarım için tüm bilgileri toplamak gerçekten zordu. Ama Knowunity'yi kullanmaya başladığımdan beri, notlarımı yüklüyorum ve başkalarından harika özetler buluyorum - bu da çalışmamı çok daha verimli hale getiriyor!
Julia S
Android kullanıcısı
Tüm çalışma materyalleriyle sürekli stres altındaydım, ama Knowunity'yi kullanmaya başladığımdan beri, notlarımı yüklüyor ve başkalarının harika özetlerine bakıyorum - her şeyi daha iyi yönetmemi sağlıyor ve çok daha az stresli.
Marco B
iOS kullanıcısı
QUİZLER VE FLASHCARDLAR ÇOK FAYDALI VE Knowunity AI'I ÇOK SEVİYORUM. AYRICA TAM OLARAK CHATGPT GİBİ AMA DAHA AKILLI!! RİMEL SORUNLARIMDA DA YARDIM ETTİ!! GERÇEK DERSLERİMDE DE TABII Kİ! DUHHH 😍😁😲🤑💗✨🎀😮
Sarah L
Android kullanıcısı
Eskiden okul materyallerini Google'da aramakla saatler harcardım, ama şimdi sadece notlarımı Knowunity'ye yüklüyorum ve başkalarının faydalı özetlerine bakıyorum - sınavlara hazırlanırken kendimi çok daha güvende hissediyorum.
Paul T
iOS kullanıcısı
Uygulama çok kolay kullanılıyor ve güzel tasarlanmış. Şu ana kadar aradığım her şeyi buldum ve sunumlardan çok şey öğrendim! Kesinlikle ödevlerim için hep kullanacağım!
A.S.
iOS kullanıcısı
Uygulama çok iyi. Çok fazla ders notu ve yardımlaşma var. Örneğin benim problem yaşadığım bir ders Geometriydi ve ANINDA yardım ettiler beraber hem sorularımı çözdük hem konu anlatımı buldum. Herkese tavsiye ederim.
S.L.
Android kullanıcısı
BEN ŞOK. Reklamını sık sık gördüğüm için uygulamayı denedim ve gerçekten hayran kaldım. Bu uygulama okul için tam ihtiyacım olan şey. Anında ödev yardımı, konu anlatımı, örnek sınavlar, flaşkartlar hepsi hepsi var, şiddetle tavsiye ederim ✅
A.
iOS kullanıcısı
Knowunity'yi keşfedinceye kadar ödevlerimi zamanında tamamlamakta zorlanıyordum, Knowunity sadece kendi ders notlarımı yüklemeyi kolaylaştırmakla kalmıyor, aynı zamanda çalışmamı daha hızlı ve verimli hale getiren harika özetler de sunuyor.
Thomas R
iOS kullanıcısı
Ödevlerim için önemli bilgilerin tümünü bulmak her zaman bir zorluktu - Knowunity'yi kullanmaya başladığımdan beri, ders notlarımı kolayca yükleyebilir ve başkalarının özetlerinden faydalanabilirim, bu da organizasyon konusunda bana çok yardımcı oluyor.
Lisa M
Android kullanıcısı
Ders çalışırken genellikle yeterince genel bakışa sahip olmadığımı hissederdim, ama Knowunity'yi kullanmaya başladığımdan beri bu artık sorun değil - ders notlarımı yüklüyorum ve platformda her zaman yardımcı özetler buluyorum, bu da öğrenmemi çok daha kolaylaştırıyor.
David K
iOS kullanıcısı
Uygulama acayip iyi! Konuyu yazıyorum hemen yanıt alıyorum. Bi şeyi anlamak için 10 tane youtube videosu izlemem gerekmiyor. Kesssinlikle tavsiye ederim!
Sudenaz Ocak
Android kullanıcısı
Matematikte baya kötüydüm ama bu uygulama sayesinde şimdi daha iyiyim. Uygulamayı yapanlara için çok teşekkürler!
G.B.
Android kullanıcısı
Sunumlarım için tüm bilgileri toplamak gerçekten zordu. Ama Knowunity'yi kullanmaya başladığımdan beri, notlarımı yüklüyorum ve başkalarından harika özetler buluyorum - bu da çalışmamı çok daha verimli hale getiriyor!
Julia S
Android kullanıcısı
Tüm çalışma materyalleriyle sürekli stres altındaydım, ama Knowunity'yi kullanmaya başladığımdan beri, notlarımı yüklüyor ve başkalarının harika özetlerine bakıyorum - her şeyi daha iyi yönetmemi sağlıyor ve çok daha az stresli.
Marco B
iOS kullanıcısı
QUİZLER VE FLASHCARDLAR ÇOK FAYDALI VE Knowunity AI'I ÇOK SEVİYORUM. AYRICA TAM OLARAK CHATGPT GİBİ AMA DAHA AKILLI!! RİMEL SORUNLARIMDA DA YARDIM ETTİ!! GERÇEK DERSLERİMDE DE TABII Kİ! DUHHH 😍😁😲🤑💗✨🎀😮
Sarah L
Android kullanıcısı
Eskiden okul materyallerini Google'da aramakla saatler harcardım, ama şimdi sadece notlarımı Knowunity'ye yüklüyorum ve başkalarının faydalı özetlerine bakıyorum - sınavlara hazırlanırken kendimi çok daha güvende hissediyorum.
Paul T
iOS kullanıcısı
Sinem
@smn_.3882
Basit eşitsizlikler, matematikte iki ifadenin karşılaştırılmasını sağlayan ve günlük hayattan problem çözümüne kadar birçok alanda kullanılan önemli bir konudur. Bu eşitsizliklerle işlem yapma kurallarını ve özelliklerini bilmek, matematikteki birçok problemi kolayca çözmenizi sağlar.

Tüm belgeleri görebilirsin
Notlarını Yükselt
Milyonlarca öğrenciye katıl
Eşitsizlik, iki matematiksel ifadenin birbirinden büyük, küçük veya eşit olma durumunu gösterir. Temel semboller > (büyüktür), < (küçüktür), ≥ (büyük veya eşittir) ve ≤ (küçük veya eşittir) şeklindedir.
Eşitsizlik aralıkları farklı gösterimlere sahiptir. Örneğin, 2<x<5 ifadesi (2,5) olarak gösterilirken, 2≤x<5 ifadesi [2,5) şeklinde gösterilir. Kapalı aralıklarda köşeli parantez, açık aralıklarda normal parantez kullanırız.
Eşitsizliklerle işlem yaparken bazı kurallar vardır. Her iki tarafa aynı sayıyı eklediğimizde veya çıkardığımızda eşitsizliğin yönü değişmez. Ancak her iki tarafı bir sayıyla çarparken veya bölerken dikkatli olmalıyız: pozitif sayıyla çarpma/bölmede yön aynı kalırken, negatif sayıyla çarpma/bölmede yön değişir.
Not: Bir eşitsizliğin her iki tarafını negatif bir sayıyla çarptığınızda veya böldüğünüzde eşitsizlik yönünün değiştiğini unutmayın. Bu, öğrencilerin en sık yaptığı hatalardan biridir!

Tüm belgeleri görebilirsin
Notlarını Yükselt
Milyonlarca öğrenciye katıl
Aynı yönlü iki eşitsizliği taraf tarafa toplayabiliriz. Örneğin, a<b ve c<d ise a+c<b+d olur. Bu özellik problem çözümünde oldukça işe yarar ve işlemlerinizi kolaylaştırır.
Eşitsizlikleri çıkarma işleminde ise dikkatli olmalıyız. Aynı yönlü eşitsizlikleri çıkarmak için, birini eksi ile çarparak toplama işlemine dönüştürürüz. Böylece a<b ve c<d iken, a-d<b-c olur.
Sayıların tersleriyle ilgili eşitsizlikler de önemlidir. Aynı işaretli pozitif sayılar için a>b>0 olduğunda 1/a<1/b olur. Yani sıralama tersine döner. Farklı işaretli sayılarda ise (a>0>b durumu) 1/a>1/b olur ve sıralama aynı kalır.
İpucu: Bir sayının çift kuvvetleri her zaman sıfır veya pozitiftir (a²ⁿ≥0). Sayıların tek kuvvetleri ise sayının işaretini korur: pozitif sayıların tek kuvveti pozitif, negatif sayıların tek kuvveti negatiftir.

Tüm belgeleri görebilirsin
Notlarını Yükselt
Milyonlarca öğrenciye katıl
Sayılar üzerinde özel eşitsizlik durumları vardır. Mesela a²<a olduğunda, a sayısı 0 ile 1 arasındadır. Eğer a²>a ise, a sayısı 1'den büyük veya negatif olur. Bu tür ilişkiler sizi problemlerde hızlı çözüme götürür.
Belirli aralıklardaki sayıların kuvvetleri de belirli aralıklarda değerler alır. Örneğin, 2<a<5 ise a²'nin değerleri 4<a²<25 aralığındadır. Negatif sayılar için de benzer kurallar vardır: -4<a<-1 ise 16>a²>1 olur.
Eşitsizlik problemlerinde çarpma işleminde sınırları belirlemek için uç değerleri kontrol etmek gerekir. Örneğin, -3<a<5 ve -4<b<2 ise a·b ifadesinin alabileceği en büyük ve en küçük değerleri bulmak için a ve b'nin tüm uç değerlerini hesaplamamız gerekir.
Hatırlatma: Eşitsizlik problemlerinde çarpma işlemi yaparken, değerlerin işaretlerine dikkat edin ve mutlaka bir tablo kullanarak uç değerleri hesaplayın. Bu, çözümünüzün doğru olmasını sağlar.

Tüm belgeleri görebilirsin
Notlarını Yükselt
Milyonlarca öğrenciye katıl
Eşitsizlik problemlerinde sayı tipine dikkat etmeliyiz. Eğer a ve b tam sayı ise, aralıktaki tüm tam sayıları deneyerek en büyük ve en küçük değerleri bulabiliriz. Örneğin, -3<a≤4 ve -6<b<3 tam sayıları için 2a-3b ifadesinin en büyük değeri 23, en küçük değeri -10 olur.
Eğer a ve b reel sayılar ise, eşitsizlik kurallarını kullanarak çözüme ulaşırız. Aynı aralıklarda, 2a-3b ifadesinin en büyük değeri 26, en küçük değeri -15 olur. Gördüğünüz gibi tam sayı ve reel sayı durumları farklı sonuçlar verir.
Problem çözerken, öncelikle sayı kümesini (tam sayı mı, reel sayı mı) belirlemelisiniz. Tam sayı durumunda uygun değerleri seçip hesaplayın, reel sayı durumunda ise eşitsizlikleri kullanarak aralığı belirleyin.
Önemli: Eşitsizlik problemlerinde sayı kümesi belirtilmişse (tam sayı, reel sayı gibi), buna uygun yöntemi seçmelisiniz. Bu, çözümünüzün doğruluğunu doğrudan etkiler!

Tüm belgeleri görebilirsin
Notlarını Yükselt
Milyonlarca öğrenciye katıl
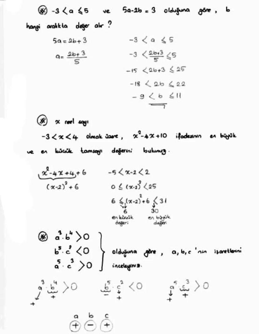
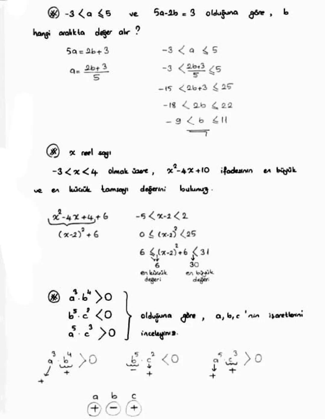
Denklem ve eşitsizliği birlikte içeren problemleri çözerken, denklemi kullanarak bir değişkeni diğeri cinsinden yazıp eşitsizliğe yerleştirebiliriz. Örneğin, -3<a≤5 ve 5a-2b=3 ise, b'nin hangi aralıkta değer alacağını bulmak için a değerini b cinsinden yazıp eşitsizliğe yerleştiriyoruz. Bu işlemler sonucu b'nin -9<b≤11 aralığında değer aldığını buluruz.
Fonksiyonların minimum ve maksimum değerlerini bulmak için kare tamamlama yöntemini kullanabilirsiniz. Örneğin, -3<x<4 aralığında x²-4x+10 ifadesinin değerlerini ²+6 şeklinde yazıp, en küçük değerin 6, en büyük değerin 30 olduğunu görebiliriz.
Çarpım şeklindeki eşitsizliklerde, ifadelerin işaretlerini inceleyerek değişkenlerin işaretleri hakkında sonuç çıkarabiliriz. Bu tür problemlerde, sistematik olarak her değişkenin farklı işaret durumlarını kontrol etmeniz gerekir.
Strateji: Karmaşık eşitsizlik problemlerinde önce problemi basit parçalara ayırın, daha sonra her bir adımda bir eşitsizliği çözerek ilerleyin. Sonuçları bir araya getirerek nihai çözüme ulaşabilirsiniz.
Yapay zeka arkadaşımız öğrencilerin ihtiyaçlarına göre özel olarak tasarlanmıştır. Platformda bulunan milyonlarca içeriğe dayanarak öğrencilere gerçekten anlamlı ve ilgili yanıtlar verebiliyoruz. Ancak mesele sadece cevaplar değil, refakatçi aynı zamanda kişiselleştirilmiş öğrenme planları, sınavlar veya sohbet içerikleri ve öğrencilerin becerilerine ve gelişimlerine dayalı %100 kişiselleştirme ile öğrencilere günlük öğrenme zorluklarında rehberlik ediyor.
Uygulamayı Google Play Store ve Apple App Store'dan indirebilirsiniz.
Knowunity uygulaması ücretsiz! Uygulamamız çok yakında indirmeye hazır olacak, bekle bizi. 💙
3
Akıllı Araçlar YENİ
Bu notu şunlara dönüştür: ✓ 50+ Alıştırma Sorusu ✓ Etkileşimli Flash Kartları ✓ Tam Deneme Sınavı ✓ Kompozisyon Taslakları
Tyt Matematik Kavram Haritası özet
App Store
Google Play
Uygulama çok kolay kullanılıyor ve güzel tasarlanmış. Şu ana kadar aradığım her şeyi buldum ve sunumlardan çok şey öğrendim! Kesinlikle ödevlerim için hep kullanacağım!
A.S.
iOS kullanıcısı
Uygulama çok iyi. Çok fazla ders notu ve yardımlaşma var. Örneğin benim problem yaşadığım bir ders Geometriydi ve ANINDA yardım ettiler beraber hem sorularımı çözdük hem konu anlatımı buldum. Herkese tavsiye ederim.
S.L.
Android kullanıcısı
BEN ŞOK. Reklamını sık sık gördüğüm için uygulamayı denedim ve gerçekten hayran kaldım. Bu uygulama okul için tam ihtiyacım olan şey. Anında ödev yardımı, konu anlatımı, örnek sınavlar, flaşkartlar hepsi hepsi var, şiddetle tavsiye ederim ✅
A.
iOS kullanıcısı
Knowunity'yi keşfedinceye kadar ödevlerimi zamanında tamamlamakta zorlanıyordum, Knowunity sadece kendi ders notlarımı yüklemeyi kolaylaştırmakla kalmıyor, aynı zamanda çalışmamı daha hızlı ve verimli hale getiren harika özetler de sunuyor.
Thomas R
iOS kullanıcısı
Ödevlerim için önemli bilgilerin tümünü bulmak her zaman bir zorluktu - Knowunity'yi kullanmaya başladığımdan beri, ders notlarımı kolayca yükleyebilir ve başkalarının özetlerinden faydalanabilirim, bu da organizasyon konusunda bana çok yardımcı oluyor.
Lisa M
Android kullanıcısı
Ders çalışırken genellikle yeterince genel bakışa sahip olmadığımı hissederdim, ama Knowunity'yi kullanmaya başladığımdan beri bu artık sorun değil - ders notlarımı yüklüyorum ve platformda her zaman yardımcı özetler buluyorum, bu da öğrenmemi çok daha kolaylaştırıyor.
David K
iOS kullanıcısı
Uygulama acayip iyi! Konuyu yazıyorum hemen yanıt alıyorum. Bi şeyi anlamak için 10 tane youtube videosu izlemem gerekmiyor. Kesssinlikle tavsiye ederim!
Sudenaz Ocak
Android kullanıcısı
Matematikte baya kötüydüm ama bu uygulama sayesinde şimdi daha iyiyim. Uygulamayı yapanlara için çok teşekkürler!
G.B.
Android kullanıcısı
Sunumlarım için tüm bilgileri toplamak gerçekten zordu. Ama Knowunity'yi kullanmaya başladığımdan beri, notlarımı yüklüyorum ve başkalarından harika özetler buluyorum - bu da çalışmamı çok daha verimli hale getiriyor!
Julia S
Android kullanıcısı
Tüm çalışma materyalleriyle sürekli stres altındaydım, ama Knowunity'yi kullanmaya başladığımdan beri, notlarımı yüklüyor ve başkalarının harika özetlerine bakıyorum - her şeyi daha iyi yönetmemi sağlıyor ve çok daha az stresli.
Marco B
iOS kullanıcısı
QUİZLER VE FLASHCARDLAR ÇOK FAYDALI VE Knowunity AI'I ÇOK SEVİYORUM. AYRICA TAM OLARAK CHATGPT GİBİ AMA DAHA AKILLI!! RİMEL SORUNLARIMDA DA YARDIM ETTİ!! GERÇEK DERSLERİMDE DE TABII Kİ! DUHHH 😍😁😲🤑💗✨🎀😮
Sarah L
Android kullanıcısı
Eskiden okul materyallerini Google'da aramakla saatler harcardım, ama şimdi sadece notlarımı Knowunity'ye yüklüyorum ve başkalarının faydalı özetlerine bakıyorum - sınavlara hazırlanırken kendimi çok daha güvende hissediyorum.
Paul T
iOS kullanıcısı
Uygulama çok kolay kullanılıyor ve güzel tasarlanmış. Şu ana kadar aradığım her şeyi buldum ve sunumlardan çok şey öğrendim! Kesinlikle ödevlerim için hep kullanacağım!
A.S.
iOS kullanıcısı
Uygulama çok iyi. Çok fazla ders notu ve yardımlaşma var. Örneğin benim problem yaşadığım bir ders Geometriydi ve ANINDA yardım ettiler beraber hem sorularımı çözdük hem konu anlatımı buldum. Herkese tavsiye ederim.
S.L.
Android kullanıcısı
BEN ŞOK. Reklamını sık sık gördüğüm için uygulamayı denedim ve gerçekten hayran kaldım. Bu uygulama okul için tam ihtiyacım olan şey. Anında ödev yardımı, konu anlatımı, örnek sınavlar, flaşkartlar hepsi hepsi var, şiddetle tavsiye ederim ✅
A.
iOS kullanıcısı
Knowunity'yi keşfedinceye kadar ödevlerimi zamanında tamamlamakta zorlanıyordum, Knowunity sadece kendi ders notlarımı yüklemeyi kolaylaştırmakla kalmıyor, aynı zamanda çalışmamı daha hızlı ve verimli hale getiren harika özetler de sunuyor.
Thomas R
iOS kullanıcısı
Ödevlerim için önemli bilgilerin tümünü bulmak her zaman bir zorluktu - Knowunity'yi kullanmaya başladığımdan beri, ders notlarımı kolayca yükleyebilir ve başkalarının özetlerinden faydalanabilirim, bu da organizasyon konusunda bana çok yardımcı oluyor.
Lisa M
Android kullanıcısı
Ders çalışırken genellikle yeterince genel bakışa sahip olmadığımı hissederdim, ama Knowunity'yi kullanmaya başladığımdan beri bu artık sorun değil - ders notlarımı yüklüyorum ve platformda her zaman yardımcı özetler buluyorum, bu da öğrenmemi çok daha kolaylaştırıyor.
David K
iOS kullanıcısı
Uygulama acayip iyi! Konuyu yazıyorum hemen yanıt alıyorum. Bi şeyi anlamak için 10 tane youtube videosu izlemem gerekmiyor. Kesssinlikle tavsiye ederim!
Sudenaz Ocak
Android kullanıcısı
Matematikte baya kötüydüm ama bu uygulama sayesinde şimdi daha iyiyim. Uygulamayı yapanlara için çok teşekkürler!
G.B.
Android kullanıcısı
Sunumlarım için tüm bilgileri toplamak gerçekten zordu. Ama Knowunity'yi kullanmaya başladığımdan beri, notlarımı yüklüyorum ve başkalarından harika özetler buluyorum - bu da çalışmamı çok daha verimli hale getiriyor!
Julia S
Android kullanıcısı
Tüm çalışma materyalleriyle sürekli stres altındaydım, ama Knowunity'yi kullanmaya başladığımdan beri, notlarımı yüklüyor ve başkalarının harika özetlerine bakıyorum - her şeyi daha iyi yönetmemi sağlıyor ve çok daha az stresli.
Marco B
iOS kullanıcısı
QUİZLER VE FLASHCARDLAR ÇOK FAYDALI VE Knowunity AI'I ÇOK SEVİYORUM. AYRICA TAM OLARAK CHATGPT GİBİ AMA DAHA AKILLI!! RİMEL SORUNLARIMDA DA YARDIM ETTİ!! GERÇEK DERSLERİMDE DE TABII Kİ! DUHHH 😍😁😲🤑💗✨🎀😮
Sarah L
Android kullanıcısı
Eskiden okul materyallerini Google'da aramakla saatler harcardım, ama şimdi sadece notlarımı Knowunity'ye yüklüyorum ve başkalarının faydalı özetlerine bakıyorum - sınavlara hazırlanırken kendimi çok daha güvende hissediyorum.
Paul T
iOS kullanıcısı