Trigonometri, matematiğin açılar ve üçgenlerle ilgili temel çalışma alanıdır. Açıların... Daha fazla göster
Ders notlarını görmek için kaydolÜcretsiz!
Tüm belgeleri görebilirsin
Notlarını Yükselt
Milyonlarca öğrenciye katıl
Knowunity AI
Daha fazla
Dersler
Triangle Congruence and Similarity Theorems
Triangle Properties and Classification
Linear Equations and Graphs
Geometric Angle Relationships
Trigonometric Functions and Identities
Equation Solving Techniques
Circle Geometry Fundamentals
Division Operations and Methods
Basic Differentiation Rules
Exponent and Logarithm Properties
Tüm konuları göster
Human Organ Systems
Reproductive Cell Cycles
Biological Sciences Subdisciplines
Cellular Energy Metabolism
Autotrophic Energy Processes
Inheritance Patterns and Principles
Biomolecular Structure and Organization
Cell Cycle and Division Mechanics
Cellular Organization and Development
Biological Structural Organization
Tüm konuları göster
Chemical Sciences and Applications
Atomic Structure and Composition
Molecular Electron Structure Representation
Atomic Electron Behavior
Matter Properties and Water
Mole Concept and Calculations
Gas Laws and Behavior
Periodic Table Organization
Chemical Thermodynamics Fundamentals
Chemical Bond Types and Properties
Tüm konuları göster
European Renaissance and Enlightenment
European Cultural Movements 800-1920
American Revolution Era 1763-1797
American Civil War 1861-1865
Global Imperial Systems
Mongol and Chinese Dynasties
U.S. Presidents and World Leaders
Historical Sources and Documentation
World Wars Era and Impact
World Religious Systems
Tüm konuları göster
Classic and Contemporary Novels
Literary Character Analysis
Rhetorical Theory and Practice
Classic Literary Narratives
Reading Analysis and Interpretation
Narrative Structure and Techniques
English Language Components
Influential English-Language Authors
Basic Sentence Structure
Narrative Voice and Perspective
Tüm konuları göster
345
•
Güncellendi Apr 18, 2026
•
Bnymn
@bnyamin_v945i
Trigonometri, matematiğin açılar ve üçgenlerle ilgili temel çalışma alanıdır. Açıların... Daha fazla göster


























































Trigonometri, açılar ve üçgenler arasındaki ilişkileri inceleyen matematik dalıdır. Notlarımız yönlü açılar, açı ölçü birimleri, trigonometrik fonksiyonlar, kosinüs ve sinüs teoremleri gibi konuları kapsamaktadır.
Bu ünite, matematik dünyasının en temel konularından birini ele alıyor. Trigonometri bilgisi, geometriden fiziğe, mühendislikten mimariye kadar birçok alanda kullanılır.
Ünite boyunca açıların nasıl ölçüldüğünü, birim çemberde nasıl gösterildiğini ve trigonometrik hesaplamaları nasıl yapacağını öğreneceksin.
Önemli Not: Trigonometrinin temel prensiplerine hakim olmak, ileride göreceğin analiz, fizik ve diğer birçok derste başarılı olmana yardımcı olacaktır!

Yönlü Açılar ve Esas Ölçü Bir açının derece olarak [0, 360°) aralığındaki veya radyan olarak [0, 2π) aralığındaki ölçüsüne esas ölçü denir. Trigonometride saat yönü negatif (-), saat yönünün tersi pozitif (+) kabul edilir.
Açıların ölçüleri iki birimle gösterilir:
Birim Çember Yarıçapı 1 birim olan çembere birim çember denir. Birim çemberin denklemi x² + y² = 1'dir. Birim çember üzerinde açıların trigonometrik değerlerini bulmak oldukça kolaydır.
Birim çember dört bölgeye ayrılır:
İpucu: 360° veya 2π'den büyük açılarda, 360° veya 2π ve katlarını atarak esas ölçüyü bulabilirsin. Negatif açılarda da benzer şekilde ilerle!

Bu sayfada yönlü açılar ve esas ölçüyle ilgili temel alıştırmalar bulunuyor. Örneğin:
Bu sorular, açılarla ilgili şu kavramları pekiştirmene yardımcı olacak:
Sorularda genellikle ABC gibi açılar veriliyor ve bunların yönlü olup olmadıklarını, başlangıç ve bitiş kenarlarını, yönlerini belirlemen isteniyor.
Hatırlatma: Pozitif yönlü açılarda saat yönünün tersine hareket edilir. Yönlü açılarda başlangıç ve bitiş kenarlarının sırası önemlidir. ABC açısında B köşe noktasıdır, [BA] başlangıç kenarı, [BC] bitiş kenarı olur.

Bu sayfada açı ölçü birimleri ve esas ölçü konularıyla ilgili daha fazla uygulama sorusu bulunuyor.
Sorular genellikle şunlarla ilgili:
Ayrıca açıların toplamı, verilen koşullara göre açı bulma gibi problemler de bulunmaktadır.
Bu egzersizler, derece ve radyan türünden açı ölçümlerini iyi anlamanı ve bunları birbirine dönüştürebilmeni sağlar. Bu beceriler, trigonometrik hesaplamalarda çok önemlidir.
Dönüşüm İpucu: Derece ile radyan arasındaki dönüşümde 180° = π radyan eşitliği kullanılır. Örneğin, 300° = 300 × (π/180) = 5π/3 radyan.

Bu sayfada yönlü açılar ve esas ölçüyle ilgili daha karmaşık uygulamalar yer alıyor.
Sorular şu konulara odaklanıyor:
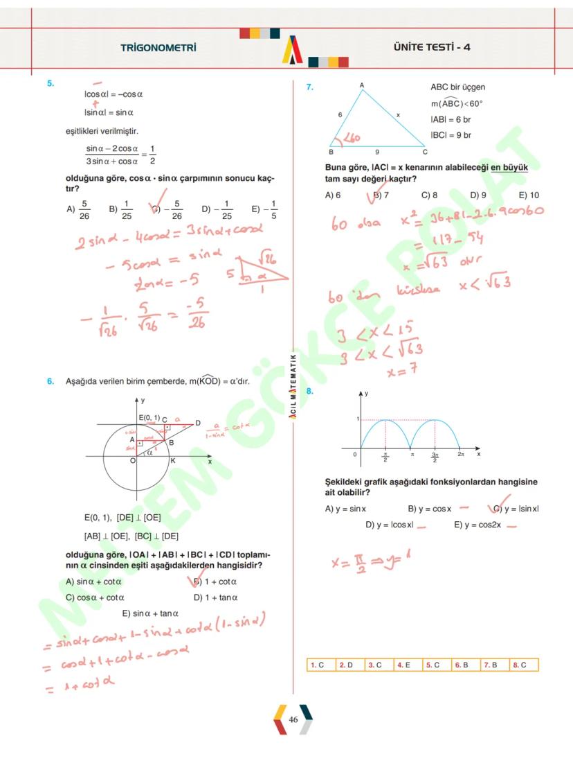
Örnek problem: Yerküresi eksenine göre eğiklik açısı x bulunmaktadır. Verilen şekildeki ölçülere göre, x açısını derece ve dakika cinsinden hesaplayınız.
Bu tür sorular, açılar arasındaki ilişkileri, üçgen içindeki açıların özelliklerini ve açı ölçümünün farklı yöntemlerini anlamana yardımcı olacaktır.
Problem Çözme İpucu: Açı hesaplamalarında şekli dikkatlice incelemek ve doğrular arasındaki paralellik, diklik gibi özellikleri göz önünde bulundurmak çözümü kolaylaştırır.

Bu sayfadaki sorular radyan ve derece cinsinden açı hesaplamalarına ve dönüşümlerine odaklanıyor.
İlginç problemler arasında:
Bu tip sorular, gerçek hayatta trigonometrik kavramların nasıl uygulandığını gösterir ve açıların periyodik doğasını anlamana yardımcı olur.
Ayrıca çemberlerle ilgili sorularda, açılar ve yay uzunlukları arasındaki ilişkiyi kullanmayı öğreneceksin.
Dikkat: Esas ölçü hesaplamalarında, açının ölçüsünden 360° (veya 2π) ve katlarını çıkararak [0°, 360°) aralığında (veya [0, 2π) aralığında) bir değer bulunur.

Birim çember, trigonometrik fonksiyonların anlaşılması için çok önemli bir araçtır. Merkezde bir O noktası olan, yarıçapı 1 birim olan bu çemberin denklemi x² + y² = 1'dir.
Birim çemberle ilgili önemli özellikler:
Bu sayfadaki problemler şunlara odaklanır:
Birim çemberi anlamak, trigonometrik fonksiyonları geometrik olarak yorumlamana ve ilerideki karmaşık trigonometrik ifadeleri çözebilmene yardımcı olacaktır.
Önemli İpucu: Birim çember üzerindeki bir noktanın x koordinatı her zaman cosθ, y koordinatı her zaman sinθ değerini verir!

Bu sayfadaki problemler, birim çember ve trigonometrik fonksiyonlar arasındaki ilişkiyi pekiştirmene yardımcı olacak.
Sorular şu konulara yoğunlaşıyor:
Örnek bir problem: "Birim çember üzerindeki -40° açısının karşılık geldiği negatif yönlü P noktasının koordinatları nelerdir?"
Bu tür sorular, açıların birim çember üzerindeki karşılıklarını nasıl bulacağını ve bunları nasıl koordinat düzlemine yerleştireceğini anlamana yardımcı olur.
Ayrıca büyük açılar ve negatif açıların birim çemberdeki karşılıklarını bulma becerini de geliştireceksin.
Pratik Yöntem: Büyük açıların birim çemberdeki karşılıklarını bulmak için, açının esas ölçüsünü bul (360° veya 2π'ye göre modunu al) ve bu açı için çember üzerindeki noktayı belirle.

Temel Trigonometrik Fonksiyonlar:
Sinüs ve Kosinüs Fonksiyonları: Birim çemberde P(x, y) noktasının apsisine (x koordinatına) dönüştüren fonksiyona kosinüs, ordinatına (y koordinatına) dönüştüren fonksiyona sinüs denir. Burada x = cosθ ve y = sinθ'dır.
Tanjant ve Kotanjant Fonksiyonları:
Sekant ve Kosekant Fonksiyonları:
Unutma: Birim çemberde x ekseni kosinüs ekseni, y ekseni sinüs eksenidir. A(1, 0) noktasından geçen x = 1 doğrusu tanjant ekseni, B(0, 1) noktasından geçen y = 1 doğrusu kotanjant eksenidir!

Bu sayfada, trigonometrik fonksiyonların birim çember üzerinde nasıl görselleştirildiği ve hesaplandığı ile ilgili problemler bulunuyor.
Temel sorular şunlardır:
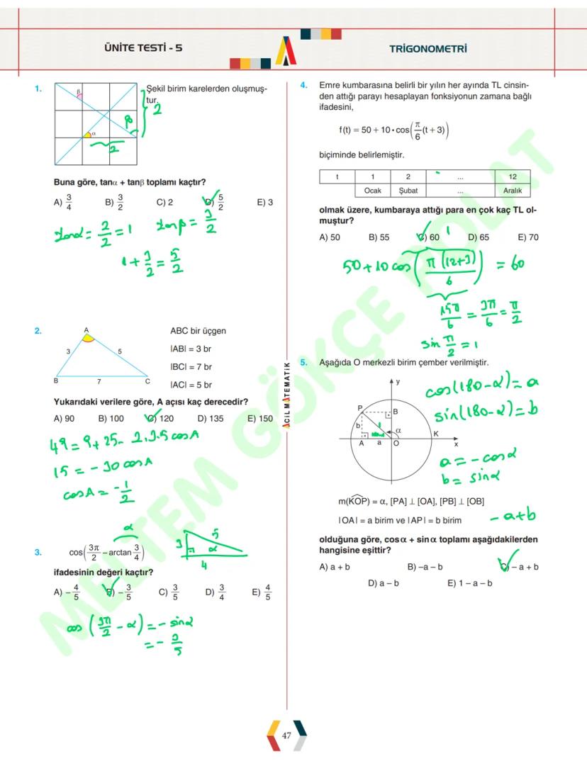
Örneğin, "Birim çember üzerindeki P noktasının apsisi -11/6 olduğunda, [PA][AB] olacak şekildeki PAB üçgeninin alanı nedir?" gibi problemler çözeceksin.
Bu sorular, trigonometrik değerlerin geometrik yorumunu anlamanı ve bunları hesaplamalarda nasıl kullanacağını öğrenmeni sağlar.
İpucu: Trigonometrik fonksiyonların maksimum ve minimum değerlerini hatırla: sinθ ve cosθ için [-1, 1] aralığı, tanθ ve cotθ için (-∞, ∞) aralığı geçerlidir.















































Yapay zeka arkadaşımız öğrencilerin ihtiyaçlarına göre özel olarak tasarlanmıştır. Platformda bulunan milyonlarca içeriğe dayanarak öğrencilere gerçekten anlamlı ve ilgili yanıtlar verebiliyoruz. Ancak mesele sadece cevaplar değil, refakatçi aynı zamanda kişiselleştirilmiş öğrenme planları, sınavlar veya sohbet içerikleri ve öğrencilerin becerilerine ve gelişimlerine dayalı %100 kişiselleştirme ile öğrencilere günlük öğrenme zorluklarında rehberlik ediyor.
Uygulamayı Google Play Store ve Apple App Store'dan indirebilirsiniz.
Knowunity uygulaması ücretsiz! Uygulamamız çok yakında indirmeye hazır olacak, bekle bizi. 💙
App Store
Google Play
Uygulama çok kolay kullanılıyor ve güzel tasarlanmış. Şu ana kadar aradığım her şeyi buldum ve sunumlardan çok şey öğrendim! Kesinlikle ödevlerim için hep kullanacağım!
A.S.
iOS kullanıcısı
Uygulama çok iyi. Çok fazla ders notu ve yardımlaşma var. Örneğin benim problem yaşadığım bir ders Geometriydi ve ANINDA yardım ettiler beraber hem sorularımı çözdük hem konu anlatımı buldum. Herkese tavsiye ederim.
S.L.
Android kullanıcısı
BEN ŞOK. Reklamını sık sık gördüğüm için uygulamayı denedim ve gerçekten hayran kaldım. Bu uygulama okul için tam ihtiyacım olan şey. Anında ödev yardımı, konu anlatımı, örnek sınavlar, flaşkartlar hepsi hepsi var, şiddetle tavsiye ederim ✅
A.
iOS kullanıcısı
Knowunity'yi keşfedinceye kadar ödevlerimi zamanında tamamlamakta zorlanıyordum, Knowunity sadece kendi ders notlarımı yüklemeyi kolaylaştırmakla kalmıyor, aynı zamanda çalışmamı daha hızlı ve verimli hale getiren harika özetler de sunuyor.
Thomas R
iOS kullanıcısı
Ödevlerim için önemli bilgilerin tümünü bulmak her zaman bir zorluktu - Knowunity'yi kullanmaya başladığımdan beri, ders notlarımı kolayca yükleyebilir ve başkalarının özetlerinden faydalanabilirim, bu da organizasyon konusunda bana çok yardımcı oluyor.
Lisa M
Android kullanıcısı
Ders çalışırken genellikle yeterince genel bakışa sahip olmadığımı hissederdim, ama Knowunity'yi kullanmaya başladığımdan beri bu artık sorun değil - ders notlarımı yüklüyorum ve platformda her zaman yardımcı özetler buluyorum, bu da öğrenmemi çok daha kolaylaştırıyor.
David K
iOS kullanıcısı
Uygulama acayip iyi! Konuyu yazıyorum hemen yanıt alıyorum. Bi şeyi anlamak için 10 tane youtube videosu izlemem gerekmiyor. Kesssinlikle tavsiye ederim!
Sudenaz Ocak
Android kullanıcısı
Matematikte baya kötüydüm ama bu uygulama sayesinde şimdi daha iyiyim. Uygulamayı yapanlara için çok teşekkürler!
G.B.
Android kullanıcısı
Sunumlarım için tüm bilgileri toplamak gerçekten zordu. Ama Knowunity'yi kullanmaya başladığımdan beri, notlarımı yüklüyorum ve başkalarından harika özetler buluyorum - bu da çalışmamı çok daha verimli hale getiriyor!
Julia S
Android kullanıcısı
Tüm çalışma materyalleriyle sürekli stres altındaydım, ama Knowunity'yi kullanmaya başladığımdan beri, notlarımı yüklüyor ve başkalarının harika özetlerine bakıyorum - her şeyi daha iyi yönetmemi sağlıyor ve çok daha az stresli.
Marco B
iOS kullanıcısı
QUİZLER VE FLASHCARDLAR ÇOK FAYDALI VE Knowunity AI'I ÇOK SEVİYORUM. AYRICA TAM OLARAK CHATGPT GİBİ AMA DAHA AKILLI!! RİMEL SORUNLARIMDA DA YARDIM ETTİ!! GERÇEK DERSLERİMDE DE TABII Kİ! DUHHH 😍😁😲🤑💗✨🎀😮
Sarah L
Android kullanıcısı
Eskiden okul materyallerini Google'da aramakla saatler harcardım, ama şimdi sadece notlarımı Knowunity'ye yüklüyorum ve başkalarının faydalı özetlerine bakıyorum - sınavlara hazırlanırken kendimi çok daha güvende hissediyorum.
Paul T
iOS kullanıcısı
Uygulama çok kolay kullanılıyor ve güzel tasarlanmış. Şu ana kadar aradığım her şeyi buldum ve sunumlardan çok şey öğrendim! Kesinlikle ödevlerim için hep kullanacağım!
A.S.
iOS kullanıcısı
Uygulama çok iyi. Çok fazla ders notu ve yardımlaşma var. Örneğin benim problem yaşadığım bir ders Geometriydi ve ANINDA yardım ettiler beraber hem sorularımı çözdük hem konu anlatımı buldum. Herkese tavsiye ederim.
S.L.
Android kullanıcısı
BEN ŞOK. Reklamını sık sık gördüğüm için uygulamayı denedim ve gerçekten hayran kaldım. Bu uygulama okul için tam ihtiyacım olan şey. Anında ödev yardımı, konu anlatımı, örnek sınavlar, flaşkartlar hepsi hepsi var, şiddetle tavsiye ederim ✅
A.
iOS kullanıcısı
Knowunity'yi keşfedinceye kadar ödevlerimi zamanında tamamlamakta zorlanıyordum, Knowunity sadece kendi ders notlarımı yüklemeyi kolaylaştırmakla kalmıyor, aynı zamanda çalışmamı daha hızlı ve verimli hale getiren harika özetler de sunuyor.
Thomas R
iOS kullanıcısı
Ödevlerim için önemli bilgilerin tümünü bulmak her zaman bir zorluktu - Knowunity'yi kullanmaya başladığımdan beri, ders notlarımı kolayca yükleyebilir ve başkalarının özetlerinden faydalanabilirim, bu da organizasyon konusunda bana çok yardımcı oluyor.
Lisa M
Android kullanıcısı
Ders çalışırken genellikle yeterince genel bakışa sahip olmadığımı hissederdim, ama Knowunity'yi kullanmaya başladığımdan beri bu artık sorun değil - ders notlarımı yüklüyorum ve platformda her zaman yardımcı özetler buluyorum, bu da öğrenmemi çok daha kolaylaştırıyor.
David K
iOS kullanıcısı
Uygulama acayip iyi! Konuyu yazıyorum hemen yanıt alıyorum. Bi şeyi anlamak için 10 tane youtube videosu izlemem gerekmiyor. Kesssinlikle tavsiye ederim!
Sudenaz Ocak
Android kullanıcısı
Matematikte baya kötüydüm ama bu uygulama sayesinde şimdi daha iyiyim. Uygulamayı yapanlara için çok teşekkürler!
G.B.
Android kullanıcısı
Sunumlarım için tüm bilgileri toplamak gerçekten zordu. Ama Knowunity'yi kullanmaya başladığımdan beri, notlarımı yüklüyorum ve başkalarından harika özetler buluyorum - bu da çalışmamı çok daha verimli hale getiriyor!
Julia S
Android kullanıcısı
Tüm çalışma materyalleriyle sürekli stres altındaydım, ama Knowunity'yi kullanmaya başladığımdan beri, notlarımı yüklüyor ve başkalarının harika özetlerine bakıyorum - her şeyi daha iyi yönetmemi sağlıyor ve çok daha az stresli.
Marco B
iOS kullanıcısı
QUİZLER VE FLASHCARDLAR ÇOK FAYDALI VE Knowunity AI'I ÇOK SEVİYORUM. AYRICA TAM OLARAK CHATGPT GİBİ AMA DAHA AKILLI!! RİMEL SORUNLARIMDA DA YARDIM ETTİ!! GERÇEK DERSLERİMDE DE TABII Kİ! DUHHH 😍😁😲🤑💗✨🎀😮
Sarah L
Android kullanıcısı
Eskiden okul materyallerini Google'da aramakla saatler harcardım, ama şimdi sadece notlarımı Knowunity'ye yüklüyorum ve başkalarının faydalı özetlerine bakıyorum - sınavlara hazırlanırken kendimi çok daha güvende hissediyorum.
Paul T
iOS kullanıcısı
Bnymn
@bnyamin_v945i
Trigonometri, matematiğin açılar ve üçgenlerle ilgili temel çalışma alanıdır. Açıların ölçülmesi, trigonometrik fonksiyonlar ve bunların grafikleri gibi konuları içerir. Bu çalışma notları, trigonometrinin temellerinden başlayarak uygulamalarını adım adım sunuyor.

Tüm belgeleri görebilirsin
Notlarını Yükselt
Milyonlarca öğrenciye katıl
Trigonometri, açılar ve üçgenler arasındaki ilişkileri inceleyen matematik dalıdır. Notlarımız yönlü açılar, açı ölçü birimleri, trigonometrik fonksiyonlar, kosinüs ve sinüs teoremleri gibi konuları kapsamaktadır.
Bu ünite, matematik dünyasının en temel konularından birini ele alıyor. Trigonometri bilgisi, geometriden fiziğe, mühendislikten mimariye kadar birçok alanda kullanılır.
Ünite boyunca açıların nasıl ölçüldüğünü, birim çemberde nasıl gösterildiğini ve trigonometrik hesaplamaları nasıl yapacağını öğreneceksin.
Önemli Not: Trigonometrinin temel prensiplerine hakim olmak, ileride göreceğin analiz, fizik ve diğer birçok derste başarılı olmana yardımcı olacaktır!

Tüm belgeleri görebilirsin
Notlarını Yükselt
Milyonlarca öğrenciye katıl
Yönlü Açılar ve Esas Ölçü Bir açının derece olarak [0, 360°) aralığındaki veya radyan olarak [0, 2π) aralığındaki ölçüsüne esas ölçü denir. Trigonometride saat yönü negatif (-), saat yönünün tersi pozitif (+) kabul edilir.
Açıların ölçüleri iki birimle gösterilir:
Birim Çember Yarıçapı 1 birim olan çembere birim çember denir. Birim çemberin denklemi x² + y² = 1'dir. Birim çember üzerinde açıların trigonometrik değerlerini bulmak oldukça kolaydır.
Birim çember dört bölgeye ayrılır:
İpucu: 360° veya 2π'den büyük açılarda, 360° veya 2π ve katlarını atarak esas ölçüyü bulabilirsin. Negatif açılarda da benzer şekilde ilerle!

Tüm belgeleri görebilirsin
Notlarını Yükselt
Milyonlarca öğrenciye katıl
Bu sayfada yönlü açılar ve esas ölçüyle ilgili temel alıştırmalar bulunuyor. Örneğin:
Bu sorular, açılarla ilgili şu kavramları pekiştirmene yardımcı olacak:
Sorularda genellikle ABC gibi açılar veriliyor ve bunların yönlü olup olmadıklarını, başlangıç ve bitiş kenarlarını, yönlerini belirlemen isteniyor.
Hatırlatma: Pozitif yönlü açılarda saat yönünün tersine hareket edilir. Yönlü açılarda başlangıç ve bitiş kenarlarının sırası önemlidir. ABC açısında B köşe noktasıdır, [BA] başlangıç kenarı, [BC] bitiş kenarı olur.

Tüm belgeleri görebilirsin
Notlarını Yükselt
Milyonlarca öğrenciye katıl
Bu sayfada açı ölçü birimleri ve esas ölçü konularıyla ilgili daha fazla uygulama sorusu bulunuyor.
Sorular genellikle şunlarla ilgili:
Ayrıca açıların toplamı, verilen koşullara göre açı bulma gibi problemler de bulunmaktadır.
Bu egzersizler, derece ve radyan türünden açı ölçümlerini iyi anlamanı ve bunları birbirine dönüştürebilmeni sağlar. Bu beceriler, trigonometrik hesaplamalarda çok önemlidir.
Dönüşüm İpucu: Derece ile radyan arasındaki dönüşümde 180° = π radyan eşitliği kullanılır. Örneğin, 300° = 300 × (π/180) = 5π/3 radyan.

Tüm belgeleri görebilirsin
Notlarını Yükselt
Milyonlarca öğrenciye katıl
Bu sayfada yönlü açılar ve esas ölçüyle ilgili daha karmaşık uygulamalar yer alıyor.
Sorular şu konulara odaklanıyor:
Örnek problem: Yerküresi eksenine göre eğiklik açısı x bulunmaktadır. Verilen şekildeki ölçülere göre, x açısını derece ve dakika cinsinden hesaplayınız.
Bu tür sorular, açılar arasındaki ilişkileri, üçgen içindeki açıların özelliklerini ve açı ölçümünün farklı yöntemlerini anlamana yardımcı olacaktır.
Problem Çözme İpucu: Açı hesaplamalarında şekli dikkatlice incelemek ve doğrular arasındaki paralellik, diklik gibi özellikleri göz önünde bulundurmak çözümü kolaylaştırır.

Tüm belgeleri görebilirsin
Notlarını Yükselt
Milyonlarca öğrenciye katıl
Bu sayfadaki sorular radyan ve derece cinsinden açı hesaplamalarına ve dönüşümlerine odaklanıyor.
İlginç problemler arasında:
Bu tip sorular, gerçek hayatta trigonometrik kavramların nasıl uygulandığını gösterir ve açıların periyodik doğasını anlamana yardımcı olur.
Ayrıca çemberlerle ilgili sorularda, açılar ve yay uzunlukları arasındaki ilişkiyi kullanmayı öğreneceksin.
Dikkat: Esas ölçü hesaplamalarında, açının ölçüsünden 360° (veya 2π) ve katlarını çıkararak [0°, 360°) aralığında (veya [0, 2π) aralığında) bir değer bulunur.

Tüm belgeleri görebilirsin
Notlarını Yükselt
Milyonlarca öğrenciye katıl
Birim çember, trigonometrik fonksiyonların anlaşılması için çok önemli bir araçtır. Merkezde bir O noktası olan, yarıçapı 1 birim olan bu çemberin denklemi x² + y² = 1'dir.
Birim çemberle ilgili önemli özellikler:
Bu sayfadaki problemler şunlara odaklanır:
Birim çemberi anlamak, trigonometrik fonksiyonları geometrik olarak yorumlamana ve ilerideki karmaşık trigonometrik ifadeleri çözebilmene yardımcı olacaktır.
Önemli İpucu: Birim çember üzerindeki bir noktanın x koordinatı her zaman cosθ, y koordinatı her zaman sinθ değerini verir!

Tüm belgeleri görebilirsin
Notlarını Yükselt
Milyonlarca öğrenciye katıl
Bu sayfadaki problemler, birim çember ve trigonometrik fonksiyonlar arasındaki ilişkiyi pekiştirmene yardımcı olacak.
Sorular şu konulara yoğunlaşıyor:
Örnek bir problem: "Birim çember üzerindeki -40° açısının karşılık geldiği negatif yönlü P noktasının koordinatları nelerdir?"
Bu tür sorular, açıların birim çember üzerindeki karşılıklarını nasıl bulacağını ve bunları nasıl koordinat düzlemine yerleştireceğini anlamana yardımcı olur.
Ayrıca büyük açılar ve negatif açıların birim çemberdeki karşılıklarını bulma becerini de geliştireceksin.
Pratik Yöntem: Büyük açıların birim çemberdeki karşılıklarını bulmak için, açının esas ölçüsünü bul (360° veya 2π'ye göre modunu al) ve bu açı için çember üzerindeki noktayı belirle.

Tüm belgeleri görebilirsin
Notlarını Yükselt
Milyonlarca öğrenciye katıl
Temel Trigonometrik Fonksiyonlar:
Sinüs ve Kosinüs Fonksiyonları: Birim çemberde P(x, y) noktasının apsisine (x koordinatına) dönüştüren fonksiyona kosinüs, ordinatına (y koordinatına) dönüştüren fonksiyona sinüs denir. Burada x = cosθ ve y = sinθ'dır.
Tanjant ve Kotanjant Fonksiyonları:
Sekant ve Kosekant Fonksiyonları:
Unutma: Birim çemberde x ekseni kosinüs ekseni, y ekseni sinüs eksenidir. A(1, 0) noktasından geçen x = 1 doğrusu tanjant ekseni, B(0, 1) noktasından geçen y = 1 doğrusu kotanjant eksenidir!

Tüm belgeleri görebilirsin
Notlarını Yükselt
Milyonlarca öğrenciye katıl
Bu sayfada, trigonometrik fonksiyonların birim çember üzerinde nasıl görselleştirildiği ve hesaplandığı ile ilgili problemler bulunuyor.
Temel sorular şunlardır:
Örneğin, "Birim çember üzerindeki P noktasının apsisi -11/6 olduğunda, [PA][AB] olacak şekildeki PAB üçgeninin alanı nedir?" gibi problemler çözeceksin.
Bu sorular, trigonometrik değerlerin geometrik yorumunu anlamanı ve bunları hesaplamalarda nasıl kullanacağını öğrenmeni sağlar.
İpucu: Trigonometrik fonksiyonların maksimum ve minimum değerlerini hatırla: sinθ ve cosθ için [-1, 1] aralığı, tanθ ve cotθ için (-∞, ∞) aralığı geçerlidir.

Tüm belgeleri görebilirsin
Notlarını Yükselt
Milyonlarca öğrenciye katıl

Tüm belgeleri görebilirsin
Notlarını Yükselt
Milyonlarca öğrenciye katıl

Tüm belgeleri görebilirsin
Notlarını Yükselt
Milyonlarca öğrenciye katıl

Tüm belgeleri görebilirsin
Notlarını Yükselt
Milyonlarca öğrenciye katıl

Tüm belgeleri görebilirsin
Notlarını Yükselt
Milyonlarca öğrenciye katıl

Tüm belgeleri görebilirsin
Notlarını Yükselt
Milyonlarca öğrenciye katıl

Tüm belgeleri görebilirsin
Notlarını Yükselt
Milyonlarca öğrenciye katıl

Tüm belgeleri görebilirsin
Notlarını Yükselt
Milyonlarca öğrenciye katıl

Tüm belgeleri görebilirsin
Notlarını Yükselt
Milyonlarca öğrenciye katıl

Tüm belgeleri görebilirsin
Notlarını Yükselt
Milyonlarca öğrenciye katıl

Tüm belgeleri görebilirsin
Notlarını Yükselt
Milyonlarca öğrenciye katıl

Tüm belgeleri görebilirsin
Notlarını Yükselt
Milyonlarca öğrenciye katıl

Tüm belgeleri görebilirsin
Notlarını Yükselt
Milyonlarca öğrenciye katıl

Tüm belgeleri görebilirsin
Notlarını Yükselt
Milyonlarca öğrenciye katıl

Tüm belgeleri görebilirsin
Notlarını Yükselt
Milyonlarca öğrenciye katıl

Tüm belgeleri görebilirsin
Notlarını Yükselt
Milyonlarca öğrenciye katıl

Tüm belgeleri görebilirsin
Notlarını Yükselt
Milyonlarca öğrenciye katıl

Tüm belgeleri görebilirsin
Notlarını Yükselt
Milyonlarca öğrenciye katıl

Tüm belgeleri görebilirsin
Notlarını Yükselt
Milyonlarca öğrenciye katıl

Tüm belgeleri görebilirsin
Notlarını Yükselt
Milyonlarca öğrenciye katıl

Tüm belgeleri görebilirsin
Notlarını Yükselt
Milyonlarca öğrenciye katıl

Tüm belgeleri görebilirsin
Notlarını Yükselt
Milyonlarca öğrenciye katıl

Tüm belgeleri görebilirsin
Notlarını Yükselt
Milyonlarca öğrenciye katıl

Tüm belgeleri görebilirsin
Notlarını Yükselt
Milyonlarca öğrenciye katıl

Tüm belgeleri görebilirsin
Notlarını Yükselt
Milyonlarca öğrenciye katıl

Tüm belgeleri görebilirsin
Notlarını Yükselt
Milyonlarca öğrenciye katıl

Tüm belgeleri görebilirsin
Notlarını Yükselt
Milyonlarca öğrenciye katıl

Tüm belgeleri görebilirsin
Notlarını Yükselt
Milyonlarca öğrenciye katıl

Tüm belgeleri görebilirsin
Notlarını Yükselt
Milyonlarca öğrenciye katıl

Tüm belgeleri görebilirsin
Notlarını Yükselt
Milyonlarca öğrenciye katıl

Tüm belgeleri görebilirsin
Notlarını Yükselt
Milyonlarca öğrenciye katıl

Tüm belgeleri görebilirsin
Notlarını Yükselt
Milyonlarca öğrenciye katıl

Tüm belgeleri görebilirsin
Notlarını Yükselt
Milyonlarca öğrenciye katıl

Tüm belgeleri görebilirsin
Notlarını Yükselt
Milyonlarca öğrenciye katıl

Tüm belgeleri görebilirsin
Notlarını Yükselt
Milyonlarca öğrenciye katıl

Tüm belgeleri görebilirsin
Notlarını Yükselt
Milyonlarca öğrenciye katıl

Tüm belgeleri görebilirsin
Notlarını Yükselt
Milyonlarca öğrenciye katıl

Tüm belgeleri görebilirsin
Notlarını Yükselt
Milyonlarca öğrenciye katıl

Tüm belgeleri görebilirsin
Notlarını Yükselt
Milyonlarca öğrenciye katıl

Tüm belgeleri görebilirsin
Notlarını Yükselt
Milyonlarca öğrenciye katıl

Tüm belgeleri görebilirsin
Notlarını Yükselt
Milyonlarca öğrenciye katıl

Tüm belgeleri görebilirsin
Notlarını Yükselt
Milyonlarca öğrenciye katıl

Tüm belgeleri görebilirsin
Notlarını Yükselt
Milyonlarca öğrenciye katıl

Tüm belgeleri görebilirsin
Notlarını Yükselt
Milyonlarca öğrenciye katıl

Tüm belgeleri görebilirsin
Notlarını Yükselt
Milyonlarca öğrenciye katıl

Tüm belgeleri görebilirsin
Notlarını Yükselt
Milyonlarca öğrenciye katıl

Tüm belgeleri görebilirsin
Notlarını Yükselt
Milyonlarca öğrenciye katıl
Yapay zeka arkadaşımız öğrencilerin ihtiyaçlarına göre özel olarak tasarlanmıştır. Platformda bulunan milyonlarca içeriğe dayanarak öğrencilere gerçekten anlamlı ve ilgili yanıtlar verebiliyoruz. Ancak mesele sadece cevaplar değil, refakatçi aynı zamanda kişiselleştirilmiş öğrenme planları, sınavlar veya sohbet içerikleri ve öğrencilerin becerilerine ve gelişimlerine dayalı %100 kişiselleştirme ile öğrencilere günlük öğrenme zorluklarında rehberlik ediyor.
Uygulamayı Google Play Store ve Apple App Store'dan indirebilirsiniz.
Knowunity uygulaması ücretsiz! Uygulamamız çok yakında indirmeye hazır olacak, bekle bizi. 💙
23
Akıllı Araçlar YENİ
Bu notu şunlara dönüştür: ✓ 50+ Alıştırma Sorusu ✓ Etkileşimli Flash Kartları ✓ Tam Deneme Sınavı ✓ Kompozisyon Taslakları
App Store
Google Play
Uygulama çok kolay kullanılıyor ve güzel tasarlanmış. Şu ana kadar aradığım her şeyi buldum ve sunumlardan çok şey öğrendim! Kesinlikle ödevlerim için hep kullanacağım!
A.S.
iOS kullanıcısı
Uygulama çok iyi. Çok fazla ders notu ve yardımlaşma var. Örneğin benim problem yaşadığım bir ders Geometriydi ve ANINDA yardım ettiler beraber hem sorularımı çözdük hem konu anlatımı buldum. Herkese tavsiye ederim.
S.L.
Android kullanıcısı
BEN ŞOK. Reklamını sık sık gördüğüm için uygulamayı denedim ve gerçekten hayran kaldım. Bu uygulama okul için tam ihtiyacım olan şey. Anında ödev yardımı, konu anlatımı, örnek sınavlar, flaşkartlar hepsi hepsi var, şiddetle tavsiye ederim ✅
A.
iOS kullanıcısı
Knowunity'yi keşfedinceye kadar ödevlerimi zamanında tamamlamakta zorlanıyordum, Knowunity sadece kendi ders notlarımı yüklemeyi kolaylaştırmakla kalmıyor, aynı zamanda çalışmamı daha hızlı ve verimli hale getiren harika özetler de sunuyor.
Thomas R
iOS kullanıcısı
Ödevlerim için önemli bilgilerin tümünü bulmak her zaman bir zorluktu - Knowunity'yi kullanmaya başladığımdan beri, ders notlarımı kolayca yükleyebilir ve başkalarının özetlerinden faydalanabilirim, bu da organizasyon konusunda bana çok yardımcı oluyor.
Lisa M
Android kullanıcısı
Ders çalışırken genellikle yeterince genel bakışa sahip olmadığımı hissederdim, ama Knowunity'yi kullanmaya başladığımdan beri bu artık sorun değil - ders notlarımı yüklüyorum ve platformda her zaman yardımcı özetler buluyorum, bu da öğrenmemi çok daha kolaylaştırıyor.
David K
iOS kullanıcısı
Uygulama acayip iyi! Konuyu yazıyorum hemen yanıt alıyorum. Bi şeyi anlamak için 10 tane youtube videosu izlemem gerekmiyor. Kesssinlikle tavsiye ederim!
Sudenaz Ocak
Android kullanıcısı
Matematikte baya kötüydüm ama bu uygulama sayesinde şimdi daha iyiyim. Uygulamayı yapanlara için çok teşekkürler!
G.B.
Android kullanıcısı
Sunumlarım için tüm bilgileri toplamak gerçekten zordu. Ama Knowunity'yi kullanmaya başladığımdan beri, notlarımı yüklüyorum ve başkalarından harika özetler buluyorum - bu da çalışmamı çok daha verimli hale getiriyor!
Julia S
Android kullanıcısı
Tüm çalışma materyalleriyle sürekli stres altındaydım, ama Knowunity'yi kullanmaya başladığımdan beri, notlarımı yüklüyor ve başkalarının harika özetlerine bakıyorum - her şeyi daha iyi yönetmemi sağlıyor ve çok daha az stresli.
Marco B
iOS kullanıcısı
QUİZLER VE FLASHCARDLAR ÇOK FAYDALI VE Knowunity AI'I ÇOK SEVİYORUM. AYRICA TAM OLARAK CHATGPT GİBİ AMA DAHA AKILLI!! RİMEL SORUNLARIMDA DA YARDIM ETTİ!! GERÇEK DERSLERİMDE DE TABII Kİ! DUHHH 😍😁😲🤑💗✨🎀😮
Sarah L
Android kullanıcısı
Eskiden okul materyallerini Google'da aramakla saatler harcardım, ama şimdi sadece notlarımı Knowunity'ye yüklüyorum ve başkalarının faydalı özetlerine bakıyorum - sınavlara hazırlanırken kendimi çok daha güvende hissediyorum.
Paul T
iOS kullanıcısı
Uygulama çok kolay kullanılıyor ve güzel tasarlanmış. Şu ana kadar aradığım her şeyi buldum ve sunumlardan çok şey öğrendim! Kesinlikle ödevlerim için hep kullanacağım!
A.S.
iOS kullanıcısı
Uygulama çok iyi. Çok fazla ders notu ve yardımlaşma var. Örneğin benim problem yaşadığım bir ders Geometriydi ve ANINDA yardım ettiler beraber hem sorularımı çözdük hem konu anlatımı buldum. Herkese tavsiye ederim.
S.L.
Android kullanıcısı
BEN ŞOK. Reklamını sık sık gördüğüm için uygulamayı denedim ve gerçekten hayran kaldım. Bu uygulama okul için tam ihtiyacım olan şey. Anında ödev yardımı, konu anlatımı, örnek sınavlar, flaşkartlar hepsi hepsi var, şiddetle tavsiye ederim ✅
A.
iOS kullanıcısı
Knowunity'yi keşfedinceye kadar ödevlerimi zamanında tamamlamakta zorlanıyordum, Knowunity sadece kendi ders notlarımı yüklemeyi kolaylaştırmakla kalmıyor, aynı zamanda çalışmamı daha hızlı ve verimli hale getiren harika özetler de sunuyor.
Thomas R
iOS kullanıcısı
Ödevlerim için önemli bilgilerin tümünü bulmak her zaman bir zorluktu - Knowunity'yi kullanmaya başladığımdan beri, ders notlarımı kolayca yükleyebilir ve başkalarının özetlerinden faydalanabilirim, bu da organizasyon konusunda bana çok yardımcı oluyor.
Lisa M
Android kullanıcısı
Ders çalışırken genellikle yeterince genel bakışa sahip olmadığımı hissederdim, ama Knowunity'yi kullanmaya başladığımdan beri bu artık sorun değil - ders notlarımı yüklüyorum ve platformda her zaman yardımcı özetler buluyorum, bu da öğrenmemi çok daha kolaylaştırıyor.
David K
iOS kullanıcısı
Uygulama acayip iyi! Konuyu yazıyorum hemen yanıt alıyorum. Bi şeyi anlamak için 10 tane youtube videosu izlemem gerekmiyor. Kesssinlikle tavsiye ederim!
Sudenaz Ocak
Android kullanıcısı
Matematikte baya kötüydüm ama bu uygulama sayesinde şimdi daha iyiyim. Uygulamayı yapanlara için çok teşekkürler!
G.B.
Android kullanıcısı
Sunumlarım için tüm bilgileri toplamak gerçekten zordu. Ama Knowunity'yi kullanmaya başladığımdan beri, notlarımı yüklüyorum ve başkalarından harika özetler buluyorum - bu da çalışmamı çok daha verimli hale getiriyor!
Julia S
Android kullanıcısı
Tüm çalışma materyalleriyle sürekli stres altındaydım, ama Knowunity'yi kullanmaya başladığımdan beri, notlarımı yüklüyor ve başkalarının harika özetlerine bakıyorum - her şeyi daha iyi yönetmemi sağlıyor ve çok daha az stresli.
Marco B
iOS kullanıcısı
QUİZLER VE FLASHCARDLAR ÇOK FAYDALI VE Knowunity AI'I ÇOK SEVİYORUM. AYRICA TAM OLARAK CHATGPT GİBİ AMA DAHA AKILLI!! RİMEL SORUNLARIMDA DA YARDIM ETTİ!! GERÇEK DERSLERİMDE DE TABII Kİ! DUHHH 😍😁😲🤑💗✨🎀😮
Sarah L
Android kullanıcısı
Eskiden okul materyallerini Google'da aramakla saatler harcardım, ama şimdi sadece notlarımı Knowunity'ye yüklüyorum ve başkalarının faydalı özetlerine bakıyorum - sınavlara hazırlanırken kendimi çok daha güvende hissediyorum.
Paul T
iOS kullanıcısı