Türkçe dersinde, sözcüklerin anlam özellikleri ve cümle yapıları hakkında öğreneceğimiz... Daha fazla göster
Ders notlarını görmek için kaydolÜcretsiz!
Tüm belgeleri görebilirsin
Notlarını Yükselt
Milyonlarca öğrenciye katıl
Knowunity AI
Daha fazla
Dersler
Triangle Congruence and Similarity Theorems
Triangle Properties and Classification
Linear Equations and Graphs
Geometric Angle Relationships
Trigonometric Functions and Identities
Equation Solving Techniques
Circle Geometry Fundamentals
Division Operations and Methods
Basic Differentiation Rules
Exponent and Logarithm Properties
Tüm konuları göster
Human Organ Systems
Reproductive Cell Cycles
Biological Sciences Subdisciplines
Cellular Energy Metabolism
Autotrophic Energy Processes
Inheritance Patterns and Principles
Biomolecular Structure and Organization
Cell Cycle and Division Mechanics
Cellular Organization and Development
Biological Structural Organization
Tüm konuları göster
Chemical Sciences and Applications
Atomic Structure and Composition
Molecular Electron Structure Representation
Atomic Electron Behavior
Matter Properties and Water
Mole Concept and Calculations
Gas Laws and Behavior
Periodic Table Organization
Chemical Thermodynamics Fundamentals
Chemical Bond Types and Properties
Tüm konuları göster
European Renaissance and Enlightenment
European Cultural Movements 800-1920
American Revolution Era 1763-1797
American Civil War 1861-1865
Global Imperial Systems
Mongol and Chinese Dynasties
U.S. Presidents and World Leaders
Historical Sources and Documentation
World Wars Era and Impact
World Religious Systems
Tüm konuları göster
Classic and Contemporary Novels
Literary Character Analysis
Rhetorical Theory and Practice
Classic Literary Narratives
Reading Analysis and Interpretation
Narrative Structure and Techniques
English Language Components
Influential English-Language Authors
Basic Sentence Structure
Narrative Voice and Perspective
Tüm konuları göster
537
•
Güncellendi Apr 26, 2026
•
˚.•➶༻✦ᰔ🤍❥🎀𝐬𝐭𝐫𝐚𝐰𝐰𝐚🎀❥🤍ᰔ✦༺➴.•˚
@strawberryangel
Türkçe dersinde, sözcüklerin anlam özellikleri ve cümle yapıları hakkında öğreneceğimiz... Daha fazla göster
























































Sözcüklerin farklı anlamları vardır ve doğru kullanılmaları iletişimimiz için çok önemlidir. İşte bu anlamların türleri:
Gerçek anlam, sözcüğün akla gelen ilk, temel anlamıdır. Örneğin "soğuk su", "sıcak hava" gibi ifadelerdeki "soğuk" ve "sıcak" gerçek anlamlıdır.
Mecaz anlam, sözcüğün gerçek anlamından tamamen farklı bir anlamda kullanılmasıdır. "Soğuk davranış", "sıcak bakış" ifadelerinde "soğuk" ve "sıcak" sözcükleri mecaz anlamda kullanılmıştır.
Yan anlam (yakıştırmaca), bir varlığın bir özelliğinin başka bir varlığa aktarılmasıdır. "Kapının kolu", "ayakkabının burnu", "uçağın kanadı" gibi örnekler yan anlama örnektir.
💡 Bir kelime sadece insan veya başka bir canlı için kullanılırken başka bir varlık için kullanılıyorsa, bu yan anlamdır. Eğer böyle bir yakıştırma yoksa, bu mecaz anlamdır.
Ayrıca sözcükler somut (beş duyumuzla algılayabildiğimiz: kitap, ağaç, soğuk) ve soyut (duyularımızla algılayamadığımız: sevgi, korku, cesaret) anlam taşırlar. Sözcükler cümle içinde somuttan soyuta, soyuttan somuta geçebilirler.
Dolaylama, bir sözcükle anlatılabilecek kavramın birden çok sözcükle anlatılmasıdır. Örneğin "beyaz perde" (sinema), "ormanlar kralı" (aslan), "yavru vatan" (Kıbrıs) gibi.
Terim anlamlı sözcükler ise belirli bir bilim veya sanat dalına özgü özel kavramları ifade eden sözcüklerdir (üçgen, hücre, yüklem, uyak, nota).

Türkçede sözcükler arasında farklı anlam ilişkileri vardır:
Eş anlamlı (anlamdaş) sözcükler, yazılışları ve okunuşları farklı ama anlamları aynı olan sözcüklerdir: isim-ad, sene-yıl, yasa-kanun.
💡 Eş anlamlı sözcüklerin aynı cümlede kullanılması anlatım bozukluğuna neden olur! "Yemek yemediğinden çok zayıf ve sıska oldu" cümlesinde "zayıf" ve "sıska" eş anlamlıdır ve birlikte kullanılmaları hatadır.
Eş sesli (sesteş) sözcükler, yazılışları ve okunuşları aynı fakat anlamları farklı olan sözcüklerdir: "yüz" (surat ve 100 sayısı), "gül" (çiçek ve gülmek fiili).
Zıt (karşıt) anlamlı sözcükler, anlamca birbirinin karşıtı olan sözcüklerdir: pahalı-ucuz, uzak-yakın. Bir sözcüğün olumsuzu o sözcüğün karşıtı değildir (akıllı → akılsız (olumsuz), deli (karşıt)).
Genel-özel anlam ilişkisi, bir sözcüğün diğerini kapsamasını ifade eder: güvercin (özel) → kuş (genel) → hayvan (daha genel).
Yansıma, doğadaki seslerin taklit edilmesiyle oluşan sözcüklerdir: şırıl şırıl, miyav, hav hav.
İkileme, anlatımı güçlendirmek amacıyla sözcüklerin çeşitli biçimlerde tekrarlanmasıyla oluşur. İkilemeler her zaman ayrı yazılır ve aralarına noktalama işareti konmaz.
İkilemeler farklı şekillerde oluşturulabilir:

Cümleler, anlamlarına göre farklı şekillerde sınıflandırılabilir:
Atasözleri, toplumların yüzyıllarca edindiği deneyimlerden doğan, söyleyeni belli olmayan, kalıplaşmış ve öğüt verici sözlerdir. Örnek: "Ak akçe kara gün içindir", "Derdini söylemeyen derman bulamaz".
Deyimler, kavramları mecaz yoluyla anlatan, en az iki sözcükten oluşan kalıplaşmış ifadelerdir. Örnek: "Küplere binmek", "Göz atmak", "Çamur atmak".
Vecize (özdeyiş), ünlü kişilerce söylenmiş özlü sözlerdir. Örnek: "Hayatta en hakiki mürşit ilimdir" (Atatürk).
Koşul (şart) cümlesi, bir olayın gerçekleşmesi için başka bir olayın varlığının gerektiğini belirtir. "-se/-sa" ekleriyle veya "mi/mı" edatıyla yapılır. Örnek: "Yarın hava güzel olursa dışarıya çıkarsın".
Neden-sonuç cümlesi, eylemin niçin yapıldığını ve sonucunu bildirir. "İçin, -dan/-den, diye" ile yapılır. "Niçin" sorusuyla bulunabilir. Örnek: "Hastalandığı için okula gelemedi".
Tanım cümlesi, bir kavramı belirgin özellikleriyle açıklar. Örnek: "Müzik, duyguların notalarla ifadesidir".
Karşılaştırma cümlesi, iki veya daha fazla nesneyi, durumu benzer ya da farklı yönlerden kıyaslar. "En, daha" sözcükleri kullanılır. Örnek: "Açelya, en sevdiğim çiçektir".
💡 Cümleler yargı bakımından nesnel (objektif) ve öznel (subjektif) olabilir. Nesnel cümleler kanıtlanabilir gerçekleri, öznel cümleler kişisel görüşleri ifade eder.

Cümleleri anlamlarına göre şu şekilde de sınıflandırabiliriz:
Nesnel (objektif) yargılı cümleler, doğruluğu ya da yanlışlığı kanıtlanabilen, kişiden kişiye değişmeyen tarafsız yargılardır. Örnek: "İstanbul Türkiye'nin en kalabalık şehridir", "Sınıfımızda şu an yirmi beş öğrenci var".
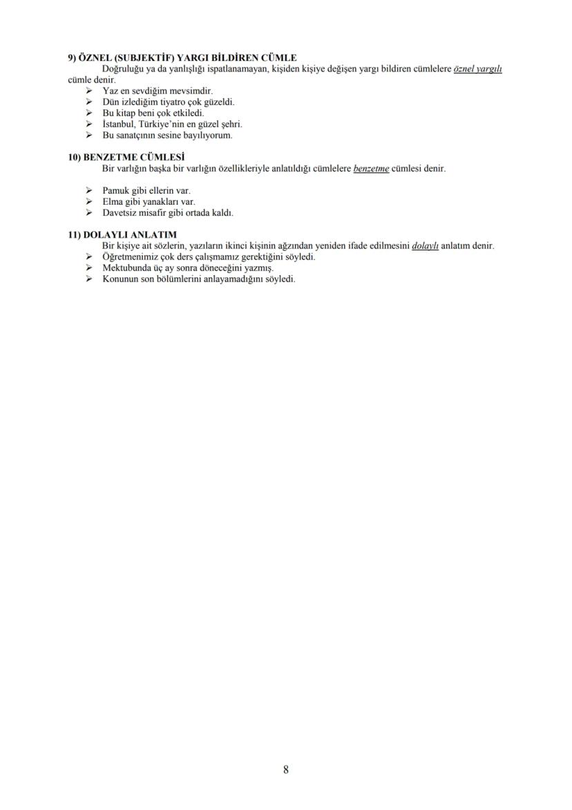
Öznel (subjektif) yargılı cümleler, doğruluğu veya yanlışlığı kanıtlanamayan, kişiden kişiye değişen yargılardır. Örnek: "Yaz en sevdiğim mevsimdir", "Bu kitap beni çok etkiledi".
Benzetme cümlesi, bir varlığın başka bir varlığın özellikleriyle anlatıldığı cümlelerdir. Örnek: "Pamuk gibi ellerin var", "Davetsiz misafir gibi ortada kaldı".
Dolaylı anlatım, bir kişiye ait sözlerin başka birinin ağzından aktarılmasıdır. Örnek: "Öğretmenimiz çok ders çalışmamız gerektiğini söyledi".
Türkçede ses uyumları ve ses olayları dilimizin temel kurallarındandır:
Büyük ünlü uyumu , bir sözcükteki tüm ünlülerin ya kalın (a, ı, o, u) ya da ince (e, i, ö, ü) olması kuralıdır. Örnek: öğütlerimiz, konuşmacı.
Bazı durumlarda büyük ünlü uyumu aranmaz:
Küçük ünlü uyumu , düz ünlülerden sonra düz ünlü, yuvarlak ünlülerden sonra ya dar yuvarlak ya da düz geniş ünlü gelme kuralıdır.

Türkçede sıkça karşılaştığımız ses olayları şunlardır:
Kaynaştırma harfleri (y, ş, s, n), Türkçede iki ünlü yan yana gelmediği için araya giren ünsüzlerdir. Örnek: "bahçe-y-e", "oda-n-ın", "kapı-s-ı".
Ses düşmesi, bazı durumlarda sözcüklerden bir sesin düşmesidir:
Geniş ünlü daralması, son hecesi geniş ünlü (a, e) ile biten sözcüklere -yor eki geldiğinde ünlünün daralmasıdır: anla-yor → anlıyor, ye-yor → yiyor.
Ses türemesi, bazı tek heceli sözcüklere küçültme eki geldiğinde görülür: bir+cik → biricik, gül+cük → gülücük.
Sert sessiz yumuşaması ve sertleşme (sessiz benzeşmesi) gibi diğer ses olayları da Türkçede önemlidir.
💡 Ses bilgisi kuralları, Türkçenin ahenkli yapısını korumak için önemlidir. Bu kurallar sayesinde dilimiz kulağa hoş gelen bir yapıya sahiptir.
Türkçe dersindeki bu konuları anlamanız, dilimizi doğru kullanmanız ve sınavlarda başarılı olmanız için çok önemlidir. Örnek cümleleri inceleyerek ve alıştırmalar yaparak bu kuralları daha iyi kavrayabilirsiniz.


















































Yapay zeka arkadaşımız öğrencilerin ihtiyaçlarına göre özel olarak tasarlanmıştır. Platformda bulunan milyonlarca içeriğe dayanarak öğrencilere gerçekten anlamlı ve ilgili yanıtlar verebiliyoruz. Ancak mesele sadece cevaplar değil, refakatçi aynı zamanda kişiselleştirilmiş öğrenme planları, sınavlar veya sohbet içerikleri ve öğrencilerin becerilerine ve gelişimlerine dayalı %100 kişiselleştirme ile öğrencilere günlük öğrenme zorluklarında rehberlik ediyor.
Uygulamayı Google Play Store ve Apple App Store'dan indirebilirsiniz.
Knowunity uygulaması ücretsiz! Uygulamamız çok yakında indirmeye hazır olacak, bekle bizi. 💙
App Store
Google Play
Uygulama çok kolay kullanılıyor ve güzel tasarlanmış. Şu ana kadar aradığım her şeyi buldum ve sunumlardan çok şey öğrendim! Kesinlikle ödevlerim için hep kullanacağım!
A.S.
iOS kullanıcısı
Uygulama çok iyi. Çok fazla ders notu ve yardımlaşma var. Örneğin benim problem yaşadığım bir ders Geometriydi ve ANINDA yardım ettiler beraber hem sorularımı çözdük hem konu anlatımı buldum. Herkese tavsiye ederim.
S.L.
Android kullanıcısı
BEN ŞOK. Reklamını sık sık gördüğüm için uygulamayı denedim ve gerçekten hayran kaldım. Bu uygulama okul için tam ihtiyacım olan şey. Anında ödev yardımı, konu anlatımı, örnek sınavlar, flaşkartlar hepsi hepsi var, şiddetle tavsiye ederim ✅
A.
iOS kullanıcısı
Knowunity'yi keşfedinceye kadar ödevlerimi zamanında tamamlamakta zorlanıyordum, Knowunity sadece kendi ders notlarımı yüklemeyi kolaylaştırmakla kalmıyor, aynı zamanda çalışmamı daha hızlı ve verimli hale getiren harika özetler de sunuyor.
Thomas R
iOS kullanıcısı
Ödevlerim için önemli bilgilerin tümünü bulmak her zaman bir zorluktu - Knowunity'yi kullanmaya başladığımdan beri, ders notlarımı kolayca yükleyebilir ve başkalarının özetlerinden faydalanabilirim, bu da organizasyon konusunda bana çok yardımcı oluyor.
Lisa M
Android kullanıcısı
Ders çalışırken genellikle yeterince genel bakışa sahip olmadığımı hissederdim, ama Knowunity'yi kullanmaya başladığımdan beri bu artık sorun değil - ders notlarımı yüklüyorum ve platformda her zaman yardımcı özetler buluyorum, bu da öğrenmemi çok daha kolaylaştırıyor.
David K
iOS kullanıcısı
Uygulama acayip iyi! Konuyu yazıyorum hemen yanıt alıyorum. Bi şeyi anlamak için 10 tane youtube videosu izlemem gerekmiyor. Kesssinlikle tavsiye ederim!
Sudenaz Ocak
Android kullanıcısı
Matematikte baya kötüydüm ama bu uygulama sayesinde şimdi daha iyiyim. Uygulamayı yapanlara için çok teşekkürler!
G.B.
Android kullanıcısı
Sunumlarım için tüm bilgileri toplamak gerçekten zordu. Ama Knowunity'yi kullanmaya başladığımdan beri, notlarımı yüklüyorum ve başkalarından harika özetler buluyorum - bu da çalışmamı çok daha verimli hale getiriyor!
Julia S
Android kullanıcısı
Tüm çalışma materyalleriyle sürekli stres altındaydım, ama Knowunity'yi kullanmaya başladığımdan beri, notlarımı yüklüyor ve başkalarının harika özetlerine bakıyorum - her şeyi daha iyi yönetmemi sağlıyor ve çok daha az stresli.
Marco B
iOS kullanıcısı
QUİZLER VE FLASHCARDLAR ÇOK FAYDALI VE Knowunity AI'I ÇOK SEVİYORUM. AYRICA TAM OLARAK CHATGPT GİBİ AMA DAHA AKILLI!! RİMEL SORUNLARIMDA DA YARDIM ETTİ!! GERÇEK DERSLERİMDE DE TABII Kİ! DUHHH 😍😁😲🤑💗✨🎀😮
Sarah L
Android kullanıcısı
Eskiden okul materyallerini Google'da aramakla saatler harcardım, ama şimdi sadece notlarımı Knowunity'ye yüklüyorum ve başkalarının faydalı özetlerine bakıyorum - sınavlara hazırlanırken kendimi çok daha güvende hissediyorum.
Paul T
iOS kullanıcısı
Uygulama çok kolay kullanılıyor ve güzel tasarlanmış. Şu ana kadar aradığım her şeyi buldum ve sunumlardan çok şey öğrendim! Kesinlikle ödevlerim için hep kullanacağım!
A.S.
iOS kullanıcısı
Uygulama çok iyi. Çok fazla ders notu ve yardımlaşma var. Örneğin benim problem yaşadığım bir ders Geometriydi ve ANINDA yardım ettiler beraber hem sorularımı çözdük hem konu anlatımı buldum. Herkese tavsiye ederim.
S.L.
Android kullanıcısı
BEN ŞOK. Reklamını sık sık gördüğüm için uygulamayı denedim ve gerçekten hayran kaldım. Bu uygulama okul için tam ihtiyacım olan şey. Anında ödev yardımı, konu anlatımı, örnek sınavlar, flaşkartlar hepsi hepsi var, şiddetle tavsiye ederim ✅
A.
iOS kullanıcısı
Knowunity'yi keşfedinceye kadar ödevlerimi zamanında tamamlamakta zorlanıyordum, Knowunity sadece kendi ders notlarımı yüklemeyi kolaylaştırmakla kalmıyor, aynı zamanda çalışmamı daha hızlı ve verimli hale getiren harika özetler de sunuyor.
Thomas R
iOS kullanıcısı
Ödevlerim için önemli bilgilerin tümünü bulmak her zaman bir zorluktu - Knowunity'yi kullanmaya başladığımdan beri, ders notlarımı kolayca yükleyebilir ve başkalarının özetlerinden faydalanabilirim, bu da organizasyon konusunda bana çok yardımcı oluyor.
Lisa M
Android kullanıcısı
Ders çalışırken genellikle yeterince genel bakışa sahip olmadığımı hissederdim, ama Knowunity'yi kullanmaya başladığımdan beri bu artık sorun değil - ders notlarımı yüklüyorum ve platformda her zaman yardımcı özetler buluyorum, bu da öğrenmemi çok daha kolaylaştırıyor.
David K
iOS kullanıcısı
Uygulama acayip iyi! Konuyu yazıyorum hemen yanıt alıyorum. Bi şeyi anlamak için 10 tane youtube videosu izlemem gerekmiyor. Kesssinlikle tavsiye ederim!
Sudenaz Ocak
Android kullanıcısı
Matematikte baya kötüydüm ama bu uygulama sayesinde şimdi daha iyiyim. Uygulamayı yapanlara için çok teşekkürler!
G.B.
Android kullanıcısı
Sunumlarım için tüm bilgileri toplamak gerçekten zordu. Ama Knowunity'yi kullanmaya başladığımdan beri, notlarımı yüklüyorum ve başkalarından harika özetler buluyorum - bu da çalışmamı çok daha verimli hale getiriyor!
Julia S
Android kullanıcısı
Tüm çalışma materyalleriyle sürekli stres altındaydım, ama Knowunity'yi kullanmaya başladığımdan beri, notlarımı yüklüyor ve başkalarının harika özetlerine bakıyorum - her şeyi daha iyi yönetmemi sağlıyor ve çok daha az stresli.
Marco B
iOS kullanıcısı
QUİZLER VE FLASHCARDLAR ÇOK FAYDALI VE Knowunity AI'I ÇOK SEVİYORUM. AYRICA TAM OLARAK CHATGPT GİBİ AMA DAHA AKILLI!! RİMEL SORUNLARIMDA DA YARDIM ETTİ!! GERÇEK DERSLERİMDE DE TABII Kİ! DUHHH 😍😁😲🤑💗✨🎀😮
Sarah L
Android kullanıcısı
Eskiden okul materyallerini Google'da aramakla saatler harcardım, ama şimdi sadece notlarımı Knowunity'ye yüklüyorum ve başkalarının faydalı özetlerine bakıyorum - sınavlara hazırlanırken kendimi çok daha güvende hissediyorum.
Paul T
iOS kullanıcısı
˚.•➶༻✦ᰔ🤍❥🎀𝐬𝐭𝐫𝐚𝐰𝐰𝐚🎀❥🤍ᰔ✦༺➴.•˚
@strawberryangel
Türkçe dersinde, sözcüklerin anlam özellikleri ve cümle yapıları hakkında öğreneceğimiz konular, yazılı ve sözlü anlatımımızı güçlendirmemize yardımcı olacak. Bu bilgiler, hem günlük hayatta daha etkili iletişim kurmamızı hem de sınavlarda başarılı olmamızı sağlayacak temel dil bilgisi kurallarını içeriyor.

Tüm belgeleri görebilirsin
Notlarını Yükselt
Milyonlarca öğrenciye katıl
Sözcüklerin farklı anlamları vardır ve doğru kullanılmaları iletişimimiz için çok önemlidir. İşte bu anlamların türleri:
Gerçek anlam, sözcüğün akla gelen ilk, temel anlamıdır. Örneğin "soğuk su", "sıcak hava" gibi ifadelerdeki "soğuk" ve "sıcak" gerçek anlamlıdır.
Mecaz anlam, sözcüğün gerçek anlamından tamamen farklı bir anlamda kullanılmasıdır. "Soğuk davranış", "sıcak bakış" ifadelerinde "soğuk" ve "sıcak" sözcükleri mecaz anlamda kullanılmıştır.
Yan anlam (yakıştırmaca), bir varlığın bir özelliğinin başka bir varlığa aktarılmasıdır. "Kapının kolu", "ayakkabının burnu", "uçağın kanadı" gibi örnekler yan anlama örnektir.
💡 Bir kelime sadece insan veya başka bir canlı için kullanılırken başka bir varlık için kullanılıyorsa, bu yan anlamdır. Eğer böyle bir yakıştırma yoksa, bu mecaz anlamdır.
Ayrıca sözcükler somut (beş duyumuzla algılayabildiğimiz: kitap, ağaç, soğuk) ve soyut (duyularımızla algılayamadığımız: sevgi, korku, cesaret) anlam taşırlar. Sözcükler cümle içinde somuttan soyuta, soyuttan somuta geçebilirler.
Dolaylama, bir sözcükle anlatılabilecek kavramın birden çok sözcükle anlatılmasıdır. Örneğin "beyaz perde" (sinema), "ormanlar kralı" (aslan), "yavru vatan" (Kıbrıs) gibi.
Terim anlamlı sözcükler ise belirli bir bilim veya sanat dalına özgü özel kavramları ifade eden sözcüklerdir (üçgen, hücre, yüklem, uyak, nota).

Tüm belgeleri görebilirsin
Notlarını Yükselt
Milyonlarca öğrenciye katıl
Türkçede sözcükler arasında farklı anlam ilişkileri vardır:
Eş anlamlı (anlamdaş) sözcükler, yazılışları ve okunuşları farklı ama anlamları aynı olan sözcüklerdir: isim-ad, sene-yıl, yasa-kanun.
💡 Eş anlamlı sözcüklerin aynı cümlede kullanılması anlatım bozukluğuna neden olur! "Yemek yemediğinden çok zayıf ve sıska oldu" cümlesinde "zayıf" ve "sıska" eş anlamlıdır ve birlikte kullanılmaları hatadır.
Eş sesli (sesteş) sözcükler, yazılışları ve okunuşları aynı fakat anlamları farklı olan sözcüklerdir: "yüz" (surat ve 100 sayısı), "gül" (çiçek ve gülmek fiili).
Zıt (karşıt) anlamlı sözcükler, anlamca birbirinin karşıtı olan sözcüklerdir: pahalı-ucuz, uzak-yakın. Bir sözcüğün olumsuzu o sözcüğün karşıtı değildir (akıllı → akılsız (olumsuz), deli (karşıt)).
Genel-özel anlam ilişkisi, bir sözcüğün diğerini kapsamasını ifade eder: güvercin (özel) → kuş (genel) → hayvan (daha genel).
Yansıma, doğadaki seslerin taklit edilmesiyle oluşan sözcüklerdir: şırıl şırıl, miyav, hav hav.
İkileme, anlatımı güçlendirmek amacıyla sözcüklerin çeşitli biçimlerde tekrarlanmasıyla oluşur. İkilemeler her zaman ayrı yazılır ve aralarına noktalama işareti konmaz.
İkilemeler farklı şekillerde oluşturulabilir:

Tüm belgeleri görebilirsin
Notlarını Yükselt
Milyonlarca öğrenciye katıl
Cümleler, anlamlarına göre farklı şekillerde sınıflandırılabilir:
Atasözleri, toplumların yüzyıllarca edindiği deneyimlerden doğan, söyleyeni belli olmayan, kalıplaşmış ve öğüt verici sözlerdir. Örnek: "Ak akçe kara gün içindir", "Derdini söylemeyen derman bulamaz".
Deyimler, kavramları mecaz yoluyla anlatan, en az iki sözcükten oluşan kalıplaşmış ifadelerdir. Örnek: "Küplere binmek", "Göz atmak", "Çamur atmak".
Vecize (özdeyiş), ünlü kişilerce söylenmiş özlü sözlerdir. Örnek: "Hayatta en hakiki mürşit ilimdir" (Atatürk).
Koşul (şart) cümlesi, bir olayın gerçekleşmesi için başka bir olayın varlığının gerektiğini belirtir. "-se/-sa" ekleriyle veya "mi/mı" edatıyla yapılır. Örnek: "Yarın hava güzel olursa dışarıya çıkarsın".
Neden-sonuç cümlesi, eylemin niçin yapıldığını ve sonucunu bildirir. "İçin, -dan/-den, diye" ile yapılır. "Niçin" sorusuyla bulunabilir. Örnek: "Hastalandığı için okula gelemedi".
Tanım cümlesi, bir kavramı belirgin özellikleriyle açıklar. Örnek: "Müzik, duyguların notalarla ifadesidir".
Karşılaştırma cümlesi, iki veya daha fazla nesneyi, durumu benzer ya da farklı yönlerden kıyaslar. "En, daha" sözcükleri kullanılır. Örnek: "Açelya, en sevdiğim çiçektir".
💡 Cümleler yargı bakımından nesnel (objektif) ve öznel (subjektif) olabilir. Nesnel cümleler kanıtlanabilir gerçekleri, öznel cümleler kişisel görüşleri ifade eder.

Tüm belgeleri görebilirsin
Notlarını Yükselt
Milyonlarca öğrenciye katıl
Cümleleri anlamlarına göre şu şekilde de sınıflandırabiliriz:
Nesnel (objektif) yargılı cümleler, doğruluğu ya da yanlışlığı kanıtlanabilen, kişiden kişiye değişmeyen tarafsız yargılardır. Örnek: "İstanbul Türkiye'nin en kalabalık şehridir", "Sınıfımızda şu an yirmi beş öğrenci var".
Öznel (subjektif) yargılı cümleler, doğruluğu veya yanlışlığı kanıtlanamayan, kişiden kişiye değişen yargılardır. Örnek: "Yaz en sevdiğim mevsimdir", "Bu kitap beni çok etkiledi".
Benzetme cümlesi, bir varlığın başka bir varlığın özellikleriyle anlatıldığı cümlelerdir. Örnek: "Pamuk gibi ellerin var", "Davetsiz misafir gibi ortada kaldı".
Dolaylı anlatım, bir kişiye ait sözlerin başka birinin ağzından aktarılmasıdır. Örnek: "Öğretmenimiz çok ders çalışmamız gerektiğini söyledi".
Türkçede ses uyumları ve ses olayları dilimizin temel kurallarındandır:
Büyük ünlü uyumu , bir sözcükteki tüm ünlülerin ya kalın (a, ı, o, u) ya da ince (e, i, ö, ü) olması kuralıdır. Örnek: öğütlerimiz, konuşmacı.
Bazı durumlarda büyük ünlü uyumu aranmaz:
Küçük ünlü uyumu , düz ünlülerden sonra düz ünlü, yuvarlak ünlülerden sonra ya dar yuvarlak ya da düz geniş ünlü gelme kuralıdır.

Tüm belgeleri görebilirsin
Notlarını Yükselt
Milyonlarca öğrenciye katıl
Türkçede sıkça karşılaştığımız ses olayları şunlardır:
Kaynaştırma harfleri (y, ş, s, n), Türkçede iki ünlü yan yana gelmediği için araya giren ünsüzlerdir. Örnek: "bahçe-y-e", "oda-n-ın", "kapı-s-ı".
Ses düşmesi, bazı durumlarda sözcüklerden bir sesin düşmesidir:
Geniş ünlü daralması, son hecesi geniş ünlü (a, e) ile biten sözcüklere -yor eki geldiğinde ünlünün daralmasıdır: anla-yor → anlıyor, ye-yor → yiyor.
Ses türemesi, bazı tek heceli sözcüklere küçültme eki geldiğinde görülür: bir+cik → biricik, gül+cük → gülücük.
Sert sessiz yumuşaması ve sertleşme (sessiz benzeşmesi) gibi diğer ses olayları da Türkçede önemlidir.
💡 Ses bilgisi kuralları, Türkçenin ahenkli yapısını korumak için önemlidir. Bu kurallar sayesinde dilimiz kulağa hoş gelen bir yapıya sahiptir.
Türkçe dersindeki bu konuları anlamanız, dilimizi doğru kullanmanız ve sınavlarda başarılı olmanız için çok önemlidir. Örnek cümleleri inceleyerek ve alıştırmalar yaparak bu kuralları daha iyi kavrayabilirsiniz.

Tüm belgeleri görebilirsin
Notlarını Yükselt
Milyonlarca öğrenciye katıl

Tüm belgeleri görebilirsin
Notlarını Yükselt
Milyonlarca öğrenciye katıl

Tüm belgeleri görebilirsin
Notlarını Yükselt
Milyonlarca öğrenciye katıl

Tüm belgeleri görebilirsin
Notlarını Yükselt
Milyonlarca öğrenciye katıl

Tüm belgeleri görebilirsin
Notlarını Yükselt
Milyonlarca öğrenciye katıl

Tüm belgeleri görebilirsin
Notlarını Yükselt
Milyonlarca öğrenciye katıl

Tüm belgeleri görebilirsin
Notlarını Yükselt
Milyonlarca öğrenciye katıl

Tüm belgeleri görebilirsin
Notlarını Yükselt
Milyonlarca öğrenciye katıl

Tüm belgeleri görebilirsin
Notlarını Yükselt
Milyonlarca öğrenciye katıl

Tüm belgeleri görebilirsin
Notlarını Yükselt
Milyonlarca öğrenciye katıl

Tüm belgeleri görebilirsin
Notlarını Yükselt
Milyonlarca öğrenciye katıl

Tüm belgeleri görebilirsin
Notlarını Yükselt
Milyonlarca öğrenciye katıl

Tüm belgeleri görebilirsin
Notlarını Yükselt
Milyonlarca öğrenciye katıl

Tüm belgeleri görebilirsin
Notlarını Yükselt
Milyonlarca öğrenciye katıl

Tüm belgeleri görebilirsin
Notlarını Yükselt
Milyonlarca öğrenciye katıl

Tüm belgeleri görebilirsin
Notlarını Yükselt
Milyonlarca öğrenciye katıl

Tüm belgeleri görebilirsin
Notlarını Yükselt
Milyonlarca öğrenciye katıl

Tüm belgeleri görebilirsin
Notlarını Yükselt
Milyonlarca öğrenciye katıl

Tüm belgeleri görebilirsin
Notlarını Yükselt
Milyonlarca öğrenciye katıl

Tüm belgeleri görebilirsin
Notlarını Yükselt
Milyonlarca öğrenciye katıl

Tüm belgeleri görebilirsin
Notlarını Yükselt
Milyonlarca öğrenciye katıl

Tüm belgeleri görebilirsin
Notlarını Yükselt
Milyonlarca öğrenciye katıl

Tüm belgeleri görebilirsin
Notlarını Yükselt
Milyonlarca öğrenciye katıl

Tüm belgeleri görebilirsin
Notlarını Yükselt
Milyonlarca öğrenciye katıl

Tüm belgeleri görebilirsin
Notlarını Yükselt
Milyonlarca öğrenciye katıl

Tüm belgeleri görebilirsin
Notlarını Yükselt
Milyonlarca öğrenciye katıl

Tüm belgeleri görebilirsin
Notlarını Yükselt
Milyonlarca öğrenciye katıl

Tüm belgeleri görebilirsin
Notlarını Yükselt
Milyonlarca öğrenciye katıl

Tüm belgeleri görebilirsin
Notlarını Yükselt
Milyonlarca öğrenciye katıl

Tüm belgeleri görebilirsin
Notlarını Yükselt
Milyonlarca öğrenciye katıl

Tüm belgeleri görebilirsin
Notlarını Yükselt
Milyonlarca öğrenciye katıl

Tüm belgeleri görebilirsin
Notlarını Yükselt
Milyonlarca öğrenciye katıl

Tüm belgeleri görebilirsin
Notlarını Yükselt
Milyonlarca öğrenciye katıl

Tüm belgeleri görebilirsin
Notlarını Yükselt
Milyonlarca öğrenciye katıl

Tüm belgeleri görebilirsin
Notlarını Yükselt
Milyonlarca öğrenciye katıl

Tüm belgeleri görebilirsin
Notlarını Yükselt
Milyonlarca öğrenciye katıl

Tüm belgeleri görebilirsin
Notlarını Yükselt
Milyonlarca öğrenciye katıl

Tüm belgeleri görebilirsin
Notlarını Yükselt
Milyonlarca öğrenciye katıl

Tüm belgeleri görebilirsin
Notlarını Yükselt
Milyonlarca öğrenciye katıl

Tüm belgeleri görebilirsin
Notlarını Yükselt
Milyonlarca öğrenciye katıl

Tüm belgeleri görebilirsin
Notlarını Yükselt
Milyonlarca öğrenciye katıl

Tüm belgeleri görebilirsin
Notlarını Yükselt
Milyonlarca öğrenciye katıl

Tüm belgeleri görebilirsin
Notlarını Yükselt
Milyonlarca öğrenciye katıl

Tüm belgeleri görebilirsin
Notlarını Yükselt
Milyonlarca öğrenciye katıl

Tüm belgeleri görebilirsin
Notlarını Yükselt
Milyonlarca öğrenciye katıl

Tüm belgeleri görebilirsin
Notlarını Yükselt
Milyonlarca öğrenciye katıl

Tüm belgeleri görebilirsin
Notlarını Yükselt
Milyonlarca öğrenciye katıl

Tüm belgeleri görebilirsin
Notlarını Yükselt
Milyonlarca öğrenciye katıl

Tüm belgeleri görebilirsin
Notlarını Yükselt
Milyonlarca öğrenciye katıl

Tüm belgeleri görebilirsin
Notlarını Yükselt
Milyonlarca öğrenciye katıl
Yapay zeka arkadaşımız öğrencilerin ihtiyaçlarına göre özel olarak tasarlanmıştır. Platformda bulunan milyonlarca içeriğe dayanarak öğrencilere gerçekten anlamlı ve ilgili yanıtlar verebiliyoruz. Ancak mesele sadece cevaplar değil, refakatçi aynı zamanda kişiselleştirilmiş öğrenme planları, sınavlar veya sohbet içerikleri ve öğrencilerin becerilerine ve gelişimlerine dayalı %100 kişiselleştirme ile öğrencilere günlük öğrenme zorluklarında rehberlik ediyor.
Uygulamayı Google Play Store ve Apple App Store'dan indirebilirsiniz.
Knowunity uygulaması ücretsiz! Uygulamamız çok yakında indirmeye hazır olacak, bekle bizi. 💙
16
Akıllı Araçlar YENİ
Bu notu şunlara dönüştür: ✓ 50+ Alıştırma Sorusu ✓ Etkileşimli Flash Kartları ✓ Tam Deneme Sınavı ✓ Kompozisyon Taslakları
App Store
Google Play
Uygulama çok kolay kullanılıyor ve güzel tasarlanmış. Şu ana kadar aradığım her şeyi buldum ve sunumlardan çok şey öğrendim! Kesinlikle ödevlerim için hep kullanacağım!
A.S.
iOS kullanıcısı
Uygulama çok iyi. Çok fazla ders notu ve yardımlaşma var. Örneğin benim problem yaşadığım bir ders Geometriydi ve ANINDA yardım ettiler beraber hem sorularımı çözdük hem konu anlatımı buldum. Herkese tavsiye ederim.
S.L.
Android kullanıcısı
BEN ŞOK. Reklamını sık sık gördüğüm için uygulamayı denedim ve gerçekten hayran kaldım. Bu uygulama okul için tam ihtiyacım olan şey. Anında ödev yardımı, konu anlatımı, örnek sınavlar, flaşkartlar hepsi hepsi var, şiddetle tavsiye ederim ✅
A.
iOS kullanıcısı
Knowunity'yi keşfedinceye kadar ödevlerimi zamanında tamamlamakta zorlanıyordum, Knowunity sadece kendi ders notlarımı yüklemeyi kolaylaştırmakla kalmıyor, aynı zamanda çalışmamı daha hızlı ve verimli hale getiren harika özetler de sunuyor.
Thomas R
iOS kullanıcısı
Ödevlerim için önemli bilgilerin tümünü bulmak her zaman bir zorluktu - Knowunity'yi kullanmaya başladığımdan beri, ders notlarımı kolayca yükleyebilir ve başkalarının özetlerinden faydalanabilirim, bu da organizasyon konusunda bana çok yardımcı oluyor.
Lisa M
Android kullanıcısı
Ders çalışırken genellikle yeterince genel bakışa sahip olmadığımı hissederdim, ama Knowunity'yi kullanmaya başladığımdan beri bu artık sorun değil - ders notlarımı yüklüyorum ve platformda her zaman yardımcı özetler buluyorum, bu da öğrenmemi çok daha kolaylaştırıyor.
David K
iOS kullanıcısı
Uygulama acayip iyi! Konuyu yazıyorum hemen yanıt alıyorum. Bi şeyi anlamak için 10 tane youtube videosu izlemem gerekmiyor. Kesssinlikle tavsiye ederim!
Sudenaz Ocak
Android kullanıcısı
Matematikte baya kötüydüm ama bu uygulama sayesinde şimdi daha iyiyim. Uygulamayı yapanlara için çok teşekkürler!
G.B.
Android kullanıcısı
Sunumlarım için tüm bilgileri toplamak gerçekten zordu. Ama Knowunity'yi kullanmaya başladığımdan beri, notlarımı yüklüyorum ve başkalarından harika özetler buluyorum - bu da çalışmamı çok daha verimli hale getiriyor!
Julia S
Android kullanıcısı
Tüm çalışma materyalleriyle sürekli stres altındaydım, ama Knowunity'yi kullanmaya başladığımdan beri, notlarımı yüklüyor ve başkalarının harika özetlerine bakıyorum - her şeyi daha iyi yönetmemi sağlıyor ve çok daha az stresli.
Marco B
iOS kullanıcısı
QUİZLER VE FLASHCARDLAR ÇOK FAYDALI VE Knowunity AI'I ÇOK SEVİYORUM. AYRICA TAM OLARAK CHATGPT GİBİ AMA DAHA AKILLI!! RİMEL SORUNLARIMDA DA YARDIM ETTİ!! GERÇEK DERSLERİMDE DE TABII Kİ! DUHHH 😍😁😲🤑💗✨🎀😮
Sarah L
Android kullanıcısı
Eskiden okul materyallerini Google'da aramakla saatler harcardım, ama şimdi sadece notlarımı Knowunity'ye yüklüyorum ve başkalarının faydalı özetlerine bakıyorum - sınavlara hazırlanırken kendimi çok daha güvende hissediyorum.
Paul T
iOS kullanıcısı
Uygulama çok kolay kullanılıyor ve güzel tasarlanmış. Şu ana kadar aradığım her şeyi buldum ve sunumlardan çok şey öğrendim! Kesinlikle ödevlerim için hep kullanacağım!
A.S.
iOS kullanıcısı
Uygulama çok iyi. Çok fazla ders notu ve yardımlaşma var. Örneğin benim problem yaşadığım bir ders Geometriydi ve ANINDA yardım ettiler beraber hem sorularımı çözdük hem konu anlatımı buldum. Herkese tavsiye ederim.
S.L.
Android kullanıcısı
BEN ŞOK. Reklamını sık sık gördüğüm için uygulamayı denedim ve gerçekten hayran kaldım. Bu uygulama okul için tam ihtiyacım olan şey. Anında ödev yardımı, konu anlatımı, örnek sınavlar, flaşkartlar hepsi hepsi var, şiddetle tavsiye ederim ✅
A.
iOS kullanıcısı
Knowunity'yi keşfedinceye kadar ödevlerimi zamanında tamamlamakta zorlanıyordum, Knowunity sadece kendi ders notlarımı yüklemeyi kolaylaştırmakla kalmıyor, aynı zamanda çalışmamı daha hızlı ve verimli hale getiren harika özetler de sunuyor.
Thomas R
iOS kullanıcısı
Ödevlerim için önemli bilgilerin tümünü bulmak her zaman bir zorluktu - Knowunity'yi kullanmaya başladığımdan beri, ders notlarımı kolayca yükleyebilir ve başkalarının özetlerinden faydalanabilirim, bu da organizasyon konusunda bana çok yardımcı oluyor.
Lisa M
Android kullanıcısı
Ders çalışırken genellikle yeterince genel bakışa sahip olmadığımı hissederdim, ama Knowunity'yi kullanmaya başladığımdan beri bu artık sorun değil - ders notlarımı yüklüyorum ve platformda her zaman yardımcı özetler buluyorum, bu da öğrenmemi çok daha kolaylaştırıyor.
David K
iOS kullanıcısı
Uygulama acayip iyi! Konuyu yazıyorum hemen yanıt alıyorum. Bi şeyi anlamak için 10 tane youtube videosu izlemem gerekmiyor. Kesssinlikle tavsiye ederim!
Sudenaz Ocak
Android kullanıcısı
Matematikte baya kötüydüm ama bu uygulama sayesinde şimdi daha iyiyim. Uygulamayı yapanlara için çok teşekkürler!
G.B.
Android kullanıcısı
Sunumlarım için tüm bilgileri toplamak gerçekten zordu. Ama Knowunity'yi kullanmaya başladığımdan beri, notlarımı yüklüyorum ve başkalarından harika özetler buluyorum - bu da çalışmamı çok daha verimli hale getiriyor!
Julia S
Android kullanıcısı
Tüm çalışma materyalleriyle sürekli stres altındaydım, ama Knowunity'yi kullanmaya başladığımdan beri, notlarımı yüklüyor ve başkalarının harika özetlerine bakıyorum - her şeyi daha iyi yönetmemi sağlıyor ve çok daha az stresli.
Marco B
iOS kullanıcısı
QUİZLER VE FLASHCARDLAR ÇOK FAYDALI VE Knowunity AI'I ÇOK SEVİYORUM. AYRICA TAM OLARAK CHATGPT GİBİ AMA DAHA AKILLI!! RİMEL SORUNLARIMDA DA YARDIM ETTİ!! GERÇEK DERSLERİMDE DE TABII Kİ! DUHHH 😍😁😲🤑💗✨🎀😮
Sarah L
Android kullanıcısı
Eskiden okul materyallerini Google'da aramakla saatler harcardım, ama şimdi sadece notlarımı Knowunity'ye yüklüyorum ve başkalarının faydalı özetlerine bakıyorum - sınavlara hazırlanırken kendimi çok daha güvende hissediyorum.
Paul T
iOS kullanıcısı