Dersler

Knowunity AI

Uygulamaya git

Dersler

233

8 Şub 2026

4 sayfa

9. Sınıf Matematik Üslü Sayılar Konu Anlatımı

A

azra

@azra97

Matematikte sayı kümeleri ve üslü ifadeler hayatımızın her alanında karşımıza... Daha fazla göster

Page 1
Page 2
Page 3
Page 4
1 / 4
# Sayıların Kümesi

Rabami
0.1.2.3.4.5.6.7.8.9

NaDoğal Sayılar büm: 0.1.2.3....

Ne Sayma sayıbrı Limai: 1.2.3....

Z. Tam sauılar kümesis-

Sayıların Kümesi

Matematikteki sayı ailesini tanıyalım! Sayılar belirli kümelere ayrılır ve her kümenin kendine özgü özellikleri vardır.

Doğal sayılar kümesi (N) 0'dan başlayarak sonsuza kadar giden sayılardır (0,1,2,3...). Eğer 0'ı dahil etmeyip 1'den başlarsak, buna sayma sayıları kümesi denir.

Tam sayılar kümesi (Z) ise negatif, sıfır ve pozitif tüm tam değerli sayıları içerir (-4,-3,-2,-1,0,1,2,3,4...). Rasyonel sayılar kümesi (Q) ise iki tam sayının bölümü şeklinde yazılabilen sayılardır örneğin: $\frac{2}{3}$, $\frac{1}{5}$, 3 gibi.

💡 Unutma: İrrasyonel sayılar $\sqrt{3}$, $\sqrt{5}$ gibi rasyonel olarak yazılamayan sayılardır. Reel sayılar kümesi (R) ise tüm bu sayıları (rasyonel ve irrasyonel) içerir.

İşlem yaparken öncelik sırasına dikkat et: Önce parantez içi, sonra çarpma/bölme, en son toplama/çıkarma işlemleri yapılır.

# Sayıların Kümesi

Rabami
0.1.2.3.4.5.6.7.8.9

NaDoğal Sayılar büm: 0.1.2.3....

Ne Sayma sayıbrı Limai: 1.2.3....

Z. Tam sauılar kümesis-

Üslü Sayılar

Üslü ifadeler matematikte kısayol gibidir! Aynı sayının tekrarlı çarpımını daha kolay göstermemizi sağlar. Bir üslü ifadede ana^n, a taban, n ise kuvvet (üs) olarak adlandırılır.

Üslü sayıların bazı önemli özellikleri vardır. Pozitif sayıların tüm kuvvetleri pozitiftir. Negatif sayıların ise çift kuvvetleri pozitif, tek kuvvetleri negatiftir. Örneğin, (3)2=+9(-3)^2 = +9 iken, (3)3=27(-3)^3 = -27 olur.

a0=1a^0 = 1'dir (a ≠ 0). Negatif üslerde ise an=1ana^{-n} = \frac{1}{a^n} şeklinde hesaplanır. Örneğin, $3^{-2} = \frac{1}{3^2} = \frac{1}{9}$.

🔑 İpucu: (1)(-1) sayısının üssüne dikkat et! (1)(-1) üssü çift sayıysa sonuç +1, tek sayıysa sonuç -1 olur. Bu bilgi pek çok soruyu hızlıca çözmenize yardımcı olur.

# Sayıların Kümesi

Rabami
0.1.2.3.4.5.6.7.8.9

NaDoğal Sayılar büm: 0.1.2.3....

Ne Sayma sayıbrı Limai: 1.2.3....

Z. Tam sauılar kümesis-

Üslü Sayılarda İşlemler

Üslü sayılarda işlem yapmak, formülleri doğru uyguladığınızda oldukça kolaydır. İşlemlerde en sık kullanacağın kuralları hatırlayalım.

Aynı tabanlı sayıları çarparken üsler toplanır: aman=am+na^m \cdot a^n = a^{m+n}. Örneğin, $2^3 \cdot 2^4 = 2^7 = 128$.

Bölme işleminde ise üsler çıkarılır: aman=amn\frac{a^m}{a^n} = a^{m-n}. Bir üslü sayıyı başka bir üsse almak istediğimizde üsler çarpılır: (am)n=amn(a^m)^n = a^{m \cdot n}. Örneğin, (32)3=323=36=729(3^2)^3 = 3^{2 \cdot 3} = 3^6 = 729.

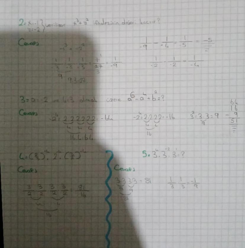
Hızlı Çözüm: Üslü ifadelerde değer verilen sorularda önce sayıları yerine koyup, sonra kurallara göre işlem yapın. Örneğin, a=2a = 2 ve b=3b = 3 için a2a+b2a^2 - a + b^2 hesaplanırken: $2^2 - 2 + 3^2 = 4 - 2 + 9 = 11$.

# Sayıların Kümesi

Rabami
0.1.2.3.4.5.6.7.8.9

NaDoğal Sayılar büm: 0.1.2.3....

Ne Sayma sayıbrı Limai: 1.2.3....

Z. Tam sauılar kümesis-

Üslü Denklemler

Üslü denklemleri çözmenin en temel yolu, her iki tarafı aynı tabana çevirip üsleri eşitlemektir. Bu, denklemi çözmeni çok kolaylaştırır!

Örneğin, $3^x = 27denkleminic\co¨zmekic\cin27yi3u¨nkuvvetis\ceklindeyazarız: denklemini çözmek için 27'yi 3'ün kuvveti şeklinde yazarız: 3^x = 3^3.Tabanlaraynıoldug˘undau¨sleres\citolmalıdır,buyu¨zden. Tabanlar aynı olduğunda üsler eşit olmalıdır, bu yüzden x = 3$ olur.

Üslü denklemin sonucu 1 ise, bunun üç farklı nedeni olabilir: Taban 1 olabilir (çünkü 1'in her kuvveti 1'dir), taban (-1) ve üs çift sayı olabilir, ya da taban herhangi bir sayı ve üs sıfır olabilir.

🎯 Püf Nokta: (1)(-1) üslü denklemlerde dikkatli ol! (1)x=1(-1)^x = 1 denkleminin çözümü x'in çift sayı olmasıdır. Eğer denklem (1)x=1(-1)^x = -1 şeklinde olsaydı, x'in tek sayı olması gerekirdi.

Karmaşık görünen üslü denklemleri çözerken adım adım ilerle ve temel kuralları uygula. Örneğin, $5 \cdot 5^x = (125)^2denklemindeo¨ncesoltarafı denkleminde önce sol tarafı 5^{x+1}olarakyazıp,sag˘tarafıda5inkuvveticinsinden olarak yazıp, sağ tarafı da 5'in kuvveti cinsinden 5^6olarakifadeedebilirsin.Bo¨ylece olarak ifade edebilirsin. Böylece x + 1 = 6ve ve x = 5$ olur.



Hiç sormayacaksın sanmıştık...

Knowunity yapay zeka arkadaşı nedir?

Yapay zeka arkadaşımız öğrencilerin ihtiyaçlarına göre özel olarak tasarlanmıştır. Platformda bulunan milyonlarca içeriğe dayanarak öğrencilere gerçekten anlamlı ve ilgili yanıtlar verebiliyoruz. Ancak mesele sadece cevaplar değil, refakatçi aynı zamanda kişiselleştirilmiş öğrenme planları, sınavlar veya sohbet içerikleri ve öğrencilerin becerilerine ve gelişimlerine dayalı %100 kişiselleştirme ile öğrencilere günlük öğrenme zorluklarında rehberlik ediyor.

Knowunity uygulamasını nereden indirebilirim?

Uygulamayı Google Play Store ve Apple App Store'dan indirebilirsiniz.

Knowunity ücretsiz mi?

Knowunity uygulaması ücretsiz! Uygulamamız çok yakında indirmeye hazır olacak, bekle bizi. 💙

Aradığını bulamıyor musun? Diğer derslere göz at.

Kullanıcılarımızdan yorumlar. Onlar her şeyi çok beğendi — sen de beğeneceksin.

4.6/5

App Store

4.7/5

Google Play

Uygulama çok kolay kullanılıyor ve güzel tasarlanmış. Şu ana kadar aradığım her şeyi buldum ve sunumlardan çok şey öğrendim! Kesinlikle ödevlerim için hep kullanacağım!

A.S.

iOS kullanıcısı

Uygulama çok iyi. Çok fazla ders notu ve yardımlaşma var. Örneğin benim problem yaşadığım bir ders Geometriydi ve ANINDA yardım ettiler beraber hem sorularımı çözdük hem konu anlatımı buldum. Herkese tavsiye ederim.

S.L.

Android kullanıcısı

BEN ŞOK. Reklamını sık sık gördüğüm için uygulamayı denedim ve gerçekten hayran kaldım. Bu uygulama okul için tam ihtiyacım olan şey. Anında ödev yardımı, konu anlatımı, örnek sınavlar, flaşkartlar hepsi hepsi var, şiddetle tavsiye ederim ✅

A.

iOS kullanıcısı

Knowunity'yi keşfedinceye kadar ödevlerimi zamanında tamamlamakta zorlanıyordum, Knowunity sadece kendi ders notlarımı yüklemeyi kolaylaştırmakla kalmıyor, aynı zamanda çalışmamı daha hızlı ve verimli hale getiren harika özetler de sunuyor.

Thomas R

iOS kullanıcısı

Ödevlerim için önemli bilgilerin tümünü bulmak her zaman bir zorluktu - Knowunity'yi kullanmaya başladığımdan beri, ders notlarımı kolayca yükleyebilir ve başkalarının özetlerinden faydalanabilirim, bu da organizasyon konusunda bana çok yardımcı oluyor.

Lisa M

Android kullanıcısı

Ders çalışırken genellikle yeterince genel bakışa sahip olmadığımı hissederdim, ama Knowunity'yi kullanmaya başladığımdan beri bu artık sorun değil - ders notlarımı yüklüyorum ve platformda her zaman yardımcı özetler buluyorum, bu da öğrenmemi çok daha kolaylaştırıyor.

David K

iOS kullanıcısı

Uygulama acayip iyi! Konuyu yazıyorum hemen yanıt alıyorum. Bi şeyi anlamak için 10 tane youtube videosu izlemem gerekmiyor. Kesssinlikle tavsiye ederim!

Sudenaz Ocak

Android kullanıcısı

Matematikte baya kötüydüm ama bu uygulama sayesinde şimdi daha iyiyim. Uygulamayı yapanlara için çok teşekkürler!

G.B.

Android kullanıcısı

Sunumlarım için tüm bilgileri toplamak gerçekten zordu. Ama Knowunity'yi kullanmaya başladığımdan beri, notlarımı yüklüyorum ve başkalarından harika özetler buluyorum - bu da çalışmamı çok daha verimli hale getiriyor!

Julia S

Android kullanıcısı

Tüm çalışma materyalleriyle sürekli stres altındaydım, ama Knowunity'yi kullanmaya başladığımdan beri, notlarımı yüklüyor ve başkalarının harika özetlerine bakıyorum - her şeyi daha iyi yönetmemi sağlıyor ve çok daha az stresli.

Marco B

iOS kullanıcısı

QUİZLER VE FLASHCARDLAR ÇOK FAYDALI VE Knowunity AI'I ÇOK SEVİYORUM. AYRICA TAM OLARAK CHATGPT GİBİ AMA DAHA AKILLI!! RİMEL SORUNLARIMDA DA YARDIM ETTİ!! GERÇEK DERSLERİMDE DE TABII Kİ! DUHHH 😍😁😲🤑💗✨🎀😮

Sarah L

Android kullanıcısı

Eskiden okul materyallerini Google'da aramakla saatler harcardım, ama şimdi sadece notlarımı Knowunity'ye yüklüyorum ve başkalarının faydalı özetlerine bakıyorum - sınavlara hazırlanırken kendimi çok daha güvende hissediyorum.

Paul T

iOS kullanıcısı

Uygulama çok kolay kullanılıyor ve güzel tasarlanmış. Şu ana kadar aradığım her şeyi buldum ve sunumlardan çok şey öğrendim! Kesinlikle ödevlerim için hep kullanacağım!

A.S.

iOS kullanıcısı

Uygulama çok iyi. Çok fazla ders notu ve yardımlaşma var. Örneğin benim problem yaşadığım bir ders Geometriydi ve ANINDA yardım ettiler beraber hem sorularımı çözdük hem konu anlatımı buldum. Herkese tavsiye ederim.

S.L.

Android kullanıcısı

BEN ŞOK. Reklamını sık sık gördüğüm için uygulamayı denedim ve gerçekten hayran kaldım. Bu uygulama okul için tam ihtiyacım olan şey. Anında ödev yardımı, konu anlatımı, örnek sınavlar, flaşkartlar hepsi hepsi var, şiddetle tavsiye ederim ✅

A.

iOS kullanıcısı

Knowunity'yi keşfedinceye kadar ödevlerimi zamanında tamamlamakta zorlanıyordum, Knowunity sadece kendi ders notlarımı yüklemeyi kolaylaştırmakla kalmıyor, aynı zamanda çalışmamı daha hızlı ve verimli hale getiren harika özetler de sunuyor.

Thomas R

iOS kullanıcısı

Ödevlerim için önemli bilgilerin tümünü bulmak her zaman bir zorluktu - Knowunity'yi kullanmaya başladığımdan beri, ders notlarımı kolayca yükleyebilir ve başkalarının özetlerinden faydalanabilirim, bu da organizasyon konusunda bana çok yardımcı oluyor.

Lisa M

Android kullanıcısı

Ders çalışırken genellikle yeterince genel bakışa sahip olmadığımı hissederdim, ama Knowunity'yi kullanmaya başladığımdan beri bu artık sorun değil - ders notlarımı yüklüyorum ve platformda her zaman yardımcı özetler buluyorum, bu da öğrenmemi çok daha kolaylaştırıyor.

David K

iOS kullanıcısı

Uygulama acayip iyi! Konuyu yazıyorum hemen yanıt alıyorum. Bi şeyi anlamak için 10 tane youtube videosu izlemem gerekmiyor. Kesssinlikle tavsiye ederim!

Sudenaz Ocak

Android kullanıcısı

Matematikte baya kötüydüm ama bu uygulama sayesinde şimdi daha iyiyim. Uygulamayı yapanlara için çok teşekkürler!

G.B.

Android kullanıcısı

Sunumlarım için tüm bilgileri toplamak gerçekten zordu. Ama Knowunity'yi kullanmaya başladığımdan beri, notlarımı yüklüyorum ve başkalarından harika özetler buluyorum - bu da çalışmamı çok daha verimli hale getiriyor!

Julia S

Android kullanıcısı

Tüm çalışma materyalleriyle sürekli stres altındaydım, ama Knowunity'yi kullanmaya başladığımdan beri, notlarımı yüklüyor ve başkalarının harika özetlerine bakıyorum - her şeyi daha iyi yönetmemi sağlıyor ve çok daha az stresli.

Marco B

iOS kullanıcısı

QUİZLER VE FLASHCARDLAR ÇOK FAYDALI VE Knowunity AI'I ÇOK SEVİYORUM. AYRICA TAM OLARAK CHATGPT GİBİ AMA DAHA AKILLI!! RİMEL SORUNLARIMDA DA YARDIM ETTİ!! GERÇEK DERSLERİMDE DE TABII Kİ! DUHHH 😍😁😲🤑💗✨🎀😮

Sarah L

Android kullanıcısı

Eskiden okul materyallerini Google'da aramakla saatler harcardım, ama şimdi sadece notlarımı Knowunity'ye yüklüyorum ve başkalarının faydalı özetlerine bakıyorum - sınavlara hazırlanırken kendimi çok daha güvende hissediyorum.

Paul T

iOS kullanıcısı

 

Matematik

233

8 Şub 2026

4 sayfa

9. Sınıf Matematik Üslü Sayılar Konu Anlatımı

A

azra

@azra97

Matematikte sayı kümeleri ve üslü ifadeler hayatımızın her alanında karşımıza çıkar. Bu konular, ileri matematik için temel oluşturduğundan iyi anlamanız çok önemli. Hadi birlikte bu temel kavramları basit bir şekilde öğrenelim.

# Sayıların Kümesi

Rabami
0.1.2.3.4.5.6.7.8.9

NaDoğal Sayılar büm: 0.1.2.3....

Ne Sayma sayıbrı Limai: 1.2.3....

Z. Tam sauılar kümesis-

Ders notlarını görmek için kaydolÜcretsiz!

Tüm belgeleri görebilirsin

Notlarını Yükselt

Milyonlarca öğrenciye katıl

Kaydolduğunda Hizmet Şartları ve Gizlilik Politikasını kabul etmiş olursun

Sayıların Kümesi

Matematikteki sayı ailesini tanıyalım! Sayılar belirli kümelere ayrılır ve her kümenin kendine özgü özellikleri vardır.

Doğal sayılar kümesi (N) 0'dan başlayarak sonsuza kadar giden sayılardır (0,1,2,3...). Eğer 0'ı dahil etmeyip 1'den başlarsak, buna sayma sayıları kümesi denir.

Tam sayılar kümesi (Z) ise negatif, sıfır ve pozitif tüm tam değerli sayıları içerir (-4,-3,-2,-1,0,1,2,3,4...). Rasyonel sayılar kümesi (Q) ise iki tam sayının bölümü şeklinde yazılabilen sayılardır örneğin: $\frac{2}{3}$, $\frac{1}{5}$, 3 gibi.

💡 Unutma: İrrasyonel sayılar $\sqrt{3}$, $\sqrt{5}$ gibi rasyonel olarak yazılamayan sayılardır. Reel sayılar kümesi (R) ise tüm bu sayıları (rasyonel ve irrasyonel) içerir.

İşlem yaparken öncelik sırasına dikkat et: Önce parantez içi, sonra çarpma/bölme, en son toplama/çıkarma işlemleri yapılır.

# Sayıların Kümesi

Rabami
0.1.2.3.4.5.6.7.8.9

NaDoğal Sayılar büm: 0.1.2.3....

Ne Sayma sayıbrı Limai: 1.2.3....

Z. Tam sauılar kümesis-

Ders notlarını görmek için kaydolÜcretsiz!

Tüm belgeleri görebilirsin

Notlarını Yükselt

Milyonlarca öğrenciye katıl

Kaydolduğunda Hizmet Şartları ve Gizlilik Politikasını kabul etmiş olursun

Üslü Sayılar

Üslü ifadeler matematikte kısayol gibidir! Aynı sayının tekrarlı çarpımını daha kolay göstermemizi sağlar. Bir üslü ifadede ana^n, a taban, n ise kuvvet (üs) olarak adlandırılır.

Üslü sayıların bazı önemli özellikleri vardır. Pozitif sayıların tüm kuvvetleri pozitiftir. Negatif sayıların ise çift kuvvetleri pozitif, tek kuvvetleri negatiftir. Örneğin, (3)2=+9(-3)^2 = +9 iken, (3)3=27(-3)^3 = -27 olur.

a0=1a^0 = 1'dir (a ≠ 0). Negatif üslerde ise an=1ana^{-n} = \frac{1}{a^n} şeklinde hesaplanır. Örneğin, $3^{-2} = \frac{1}{3^2} = \frac{1}{9}$.

🔑 İpucu: (1)(-1) sayısının üssüne dikkat et! (1)(-1) üssü çift sayıysa sonuç +1, tek sayıysa sonuç -1 olur. Bu bilgi pek çok soruyu hızlıca çözmenize yardımcı olur.

# Sayıların Kümesi

Rabami
0.1.2.3.4.5.6.7.8.9

NaDoğal Sayılar büm: 0.1.2.3....

Ne Sayma sayıbrı Limai: 1.2.3....

Z. Tam sauılar kümesis-

Ders notlarını görmek için kaydolÜcretsiz!

Tüm belgeleri görebilirsin

Notlarını Yükselt

Milyonlarca öğrenciye katıl

Kaydolduğunda Hizmet Şartları ve Gizlilik Politikasını kabul etmiş olursun

Üslü Sayılarda İşlemler

Üslü sayılarda işlem yapmak, formülleri doğru uyguladığınızda oldukça kolaydır. İşlemlerde en sık kullanacağın kuralları hatırlayalım.

Aynı tabanlı sayıları çarparken üsler toplanır: aman=am+na^m \cdot a^n = a^{m+n}. Örneğin, $2^3 \cdot 2^4 = 2^7 = 128$.

Bölme işleminde ise üsler çıkarılır: aman=amn\frac{a^m}{a^n} = a^{m-n}. Bir üslü sayıyı başka bir üsse almak istediğimizde üsler çarpılır: (am)n=amn(a^m)^n = a^{m \cdot n}. Örneğin, (32)3=323=36=729(3^2)^3 = 3^{2 \cdot 3} = 3^6 = 729.

Hızlı Çözüm: Üslü ifadelerde değer verilen sorularda önce sayıları yerine koyup, sonra kurallara göre işlem yapın. Örneğin, a=2a = 2 ve b=3b = 3 için a2a+b2a^2 - a + b^2 hesaplanırken: $2^2 - 2 + 3^2 = 4 - 2 + 9 = 11$.

# Sayıların Kümesi

Rabami
0.1.2.3.4.5.6.7.8.9

NaDoğal Sayılar büm: 0.1.2.3....

Ne Sayma sayıbrı Limai: 1.2.3....

Z. Tam sauılar kümesis-

Ders notlarını görmek için kaydolÜcretsiz!

Tüm belgeleri görebilirsin

Notlarını Yükselt

Milyonlarca öğrenciye katıl

Kaydolduğunda Hizmet Şartları ve Gizlilik Politikasını kabul etmiş olursun

Üslü Denklemler

Üslü denklemleri çözmenin en temel yolu, her iki tarafı aynı tabana çevirip üsleri eşitlemektir. Bu, denklemi çözmeni çok kolaylaştırır!

Örneğin, $3^x = 27denkleminic\co¨zmekic\cin27yi3u¨nkuvvetis\ceklindeyazarız: denklemini çözmek için 27'yi 3'ün kuvveti şeklinde yazarız: 3^x = 3^3.Tabanlaraynıoldug˘undau¨sleres\citolmalıdır,buyu¨zden. Tabanlar aynı olduğunda üsler eşit olmalıdır, bu yüzden x = 3$ olur.

Üslü denklemin sonucu 1 ise, bunun üç farklı nedeni olabilir: Taban 1 olabilir (çünkü 1'in her kuvveti 1'dir), taban (-1) ve üs çift sayı olabilir, ya da taban herhangi bir sayı ve üs sıfır olabilir.

🎯 Püf Nokta: (1)(-1) üslü denklemlerde dikkatli ol! (1)x=1(-1)^x = 1 denkleminin çözümü x'in çift sayı olmasıdır. Eğer denklem (1)x=1(-1)^x = -1 şeklinde olsaydı, x'in tek sayı olması gerekirdi.

Karmaşık görünen üslü denklemleri çözerken adım adım ilerle ve temel kuralları uygula. Örneğin, $5 \cdot 5^x = (125)^2denklemindeo¨ncesoltarafı denkleminde önce sol tarafı 5^{x+1}olarakyazıp,sag˘tarafıda5inkuvveticinsinden olarak yazıp, sağ tarafı da 5'in kuvveti cinsinden 5^6olarakifadeedebilirsin.Bo¨ylece olarak ifade edebilirsin. Böylece x + 1 = 6ve ve x = 5$ olur.

Hiç sormayacaksın sanmıştık...

Knowunity yapay zeka arkadaşı nedir?

Yapay zeka arkadaşımız öğrencilerin ihtiyaçlarına göre özel olarak tasarlanmıştır. Platformda bulunan milyonlarca içeriğe dayanarak öğrencilere gerçekten anlamlı ve ilgili yanıtlar verebiliyoruz. Ancak mesele sadece cevaplar değil, refakatçi aynı zamanda kişiselleştirilmiş öğrenme planları, sınavlar veya sohbet içerikleri ve öğrencilerin becerilerine ve gelişimlerine dayalı %100 kişiselleştirme ile öğrencilere günlük öğrenme zorluklarında rehberlik ediyor.

Knowunity uygulamasını nereden indirebilirim?

Uygulamayı Google Play Store ve Apple App Store'dan indirebilirsiniz.

Knowunity ücretsiz mi?

Knowunity uygulaması ücretsiz! Uygulamamız çok yakında indirmeye hazır olacak, bekle bizi. 💙

1

Akıllı Araçlar YENİ

Bu notu şunlara dönüştür: ✓ 50+ Alıştırma Sorusu ✓ Etkileşimli Flash Kartları ✓ Tam Deneme Sınavı ✓ Kompozisyon Taslakları

Deneme Sınavı
Quiz
Flashcard
Kompozisyon

Aradığını bulamıyor musun? Diğer derslere göz at.

Kullanıcılarımızdan yorumlar. Onlar her şeyi çok beğendi — sen de beğeneceksin.

4.6/5

App Store

4.7/5

Google Play

Uygulama çok kolay kullanılıyor ve güzel tasarlanmış. Şu ana kadar aradığım her şeyi buldum ve sunumlardan çok şey öğrendim! Kesinlikle ödevlerim için hep kullanacağım!

A.S.

iOS kullanıcısı

Uygulama çok iyi. Çok fazla ders notu ve yardımlaşma var. Örneğin benim problem yaşadığım bir ders Geometriydi ve ANINDA yardım ettiler beraber hem sorularımı çözdük hem konu anlatımı buldum. Herkese tavsiye ederim.

S.L.

Android kullanıcısı

BEN ŞOK. Reklamını sık sık gördüğüm için uygulamayı denedim ve gerçekten hayran kaldım. Bu uygulama okul için tam ihtiyacım olan şey. Anında ödev yardımı, konu anlatımı, örnek sınavlar, flaşkartlar hepsi hepsi var, şiddetle tavsiye ederim ✅

A.

iOS kullanıcısı

Knowunity'yi keşfedinceye kadar ödevlerimi zamanında tamamlamakta zorlanıyordum, Knowunity sadece kendi ders notlarımı yüklemeyi kolaylaştırmakla kalmıyor, aynı zamanda çalışmamı daha hızlı ve verimli hale getiren harika özetler de sunuyor.

Thomas R

iOS kullanıcısı

Ödevlerim için önemli bilgilerin tümünü bulmak her zaman bir zorluktu - Knowunity'yi kullanmaya başladığımdan beri, ders notlarımı kolayca yükleyebilir ve başkalarının özetlerinden faydalanabilirim, bu da organizasyon konusunda bana çok yardımcı oluyor.

Lisa M

Android kullanıcısı

Ders çalışırken genellikle yeterince genel bakışa sahip olmadığımı hissederdim, ama Knowunity'yi kullanmaya başladığımdan beri bu artık sorun değil - ders notlarımı yüklüyorum ve platformda her zaman yardımcı özetler buluyorum, bu da öğrenmemi çok daha kolaylaştırıyor.

David K

iOS kullanıcısı

Uygulama acayip iyi! Konuyu yazıyorum hemen yanıt alıyorum. Bi şeyi anlamak için 10 tane youtube videosu izlemem gerekmiyor. Kesssinlikle tavsiye ederim!

Sudenaz Ocak

Android kullanıcısı

Matematikte baya kötüydüm ama bu uygulama sayesinde şimdi daha iyiyim. Uygulamayı yapanlara için çok teşekkürler!

G.B.

Android kullanıcısı

Sunumlarım için tüm bilgileri toplamak gerçekten zordu. Ama Knowunity'yi kullanmaya başladığımdan beri, notlarımı yüklüyorum ve başkalarından harika özetler buluyorum - bu da çalışmamı çok daha verimli hale getiriyor!

Julia S

Android kullanıcısı

Tüm çalışma materyalleriyle sürekli stres altındaydım, ama Knowunity'yi kullanmaya başladığımdan beri, notlarımı yüklüyor ve başkalarının harika özetlerine bakıyorum - her şeyi daha iyi yönetmemi sağlıyor ve çok daha az stresli.

Marco B

iOS kullanıcısı

QUİZLER VE FLASHCARDLAR ÇOK FAYDALI VE Knowunity AI'I ÇOK SEVİYORUM. AYRICA TAM OLARAK CHATGPT GİBİ AMA DAHA AKILLI!! RİMEL SORUNLARIMDA DA YARDIM ETTİ!! GERÇEK DERSLERİMDE DE TABII Kİ! DUHHH 😍😁😲🤑💗✨🎀😮

Sarah L

Android kullanıcısı

Eskiden okul materyallerini Google'da aramakla saatler harcardım, ama şimdi sadece notlarımı Knowunity'ye yüklüyorum ve başkalarının faydalı özetlerine bakıyorum - sınavlara hazırlanırken kendimi çok daha güvende hissediyorum.

Paul T

iOS kullanıcısı

Uygulama çok kolay kullanılıyor ve güzel tasarlanmış. Şu ana kadar aradığım her şeyi buldum ve sunumlardan çok şey öğrendim! Kesinlikle ödevlerim için hep kullanacağım!

A.S.

iOS kullanıcısı

Uygulama çok iyi. Çok fazla ders notu ve yardımlaşma var. Örneğin benim problem yaşadığım bir ders Geometriydi ve ANINDA yardım ettiler beraber hem sorularımı çözdük hem konu anlatımı buldum. Herkese tavsiye ederim.

S.L.

Android kullanıcısı

BEN ŞOK. Reklamını sık sık gördüğüm için uygulamayı denedim ve gerçekten hayran kaldım. Bu uygulama okul için tam ihtiyacım olan şey. Anında ödev yardımı, konu anlatımı, örnek sınavlar, flaşkartlar hepsi hepsi var, şiddetle tavsiye ederim ✅

A.

iOS kullanıcısı

Knowunity'yi keşfedinceye kadar ödevlerimi zamanında tamamlamakta zorlanıyordum, Knowunity sadece kendi ders notlarımı yüklemeyi kolaylaştırmakla kalmıyor, aynı zamanda çalışmamı daha hızlı ve verimli hale getiren harika özetler de sunuyor.

Thomas R

iOS kullanıcısı

Ödevlerim için önemli bilgilerin tümünü bulmak her zaman bir zorluktu - Knowunity'yi kullanmaya başladığımdan beri, ders notlarımı kolayca yükleyebilir ve başkalarının özetlerinden faydalanabilirim, bu da organizasyon konusunda bana çok yardımcı oluyor.

Lisa M

Android kullanıcısı

Ders çalışırken genellikle yeterince genel bakışa sahip olmadığımı hissederdim, ama Knowunity'yi kullanmaya başladığımdan beri bu artık sorun değil - ders notlarımı yüklüyorum ve platformda her zaman yardımcı özetler buluyorum, bu da öğrenmemi çok daha kolaylaştırıyor.

David K

iOS kullanıcısı

Uygulama acayip iyi! Konuyu yazıyorum hemen yanıt alıyorum. Bi şeyi anlamak için 10 tane youtube videosu izlemem gerekmiyor. Kesssinlikle tavsiye ederim!

Sudenaz Ocak

Android kullanıcısı

Matematikte baya kötüydüm ama bu uygulama sayesinde şimdi daha iyiyim. Uygulamayı yapanlara için çok teşekkürler!

G.B.

Android kullanıcısı

Sunumlarım için tüm bilgileri toplamak gerçekten zordu. Ama Knowunity'yi kullanmaya başladığımdan beri, notlarımı yüklüyorum ve başkalarından harika özetler buluyorum - bu da çalışmamı çok daha verimli hale getiriyor!

Julia S

Android kullanıcısı

Tüm çalışma materyalleriyle sürekli stres altındaydım, ama Knowunity'yi kullanmaya başladığımdan beri, notlarımı yüklüyor ve başkalarının harika özetlerine bakıyorum - her şeyi daha iyi yönetmemi sağlıyor ve çok daha az stresli.

Marco B

iOS kullanıcısı

QUİZLER VE FLASHCARDLAR ÇOK FAYDALI VE Knowunity AI'I ÇOK SEVİYORUM. AYRICA TAM OLARAK CHATGPT GİBİ AMA DAHA AKILLI!! RİMEL SORUNLARIMDA DA YARDIM ETTİ!! GERÇEK DERSLERİMDE DE TABII Kİ! DUHHH 😍😁😲🤑💗✨🎀😮

Sarah L

Android kullanıcısı

Eskiden okul materyallerini Google'da aramakla saatler harcardım, ama şimdi sadece notlarımı Knowunity'ye yüklüyorum ve başkalarının faydalı özetlerine bakıyorum - sınavlara hazırlanırken kendimi çok daha güvende hissediyorum.

Paul T

iOS kullanıcısı