Fizik dersinde karşılaşacağın en önemli konulardan biri olan hareket konusunu... Daha fazla göster
Ders notlarını görmek için kaydolÜcretsiz!
Tüm belgeleri görebilirsin
Notlarını Yükselt
Milyonlarca öğrenciye katıl
Knowunity AI
Daha fazla
Dersler
Triangle Congruence and Similarity Theorems
Triangle Properties and Classification
Linear Equations and Graphs
Geometric Angle Relationships
Trigonometric Functions and Identities
Equation Solving Techniques
Circle Geometry Fundamentals
Division Operations and Methods
Basic Differentiation Rules
Exponent and Logarithm Properties
Tüm konuları göster
Human Organ Systems
Reproductive Cell Cycles
Biological Sciences Subdisciplines
Cellular Energy Metabolism
Autotrophic Energy Processes
Inheritance Patterns and Principles
Biomolecular Structure and Organization
Cell Cycle and Division Mechanics
Cellular Organization and Development
Biological Structural Organization
Tüm konuları göster
Chemical Sciences and Applications
Atomic Structure and Composition
Molecular Electron Structure Representation
Atomic Electron Behavior
Matter Properties and Water
Mole Concept and Calculations
Gas Laws and Behavior
Periodic Table Organization
Chemical Thermodynamics Fundamentals
Chemical Bond Types and Properties
Tüm konuları göster
European Renaissance and Enlightenment
European Cultural Movements 800-1920
American Revolution Era 1763-1797
American Civil War 1861-1865
Global Imperial Systems
Mongol and Chinese Dynasties
U.S. Presidents and World Leaders
Historical Sources and Documentation
World Wars Era and Impact
World Religious Systems
Tüm konuları göster
Classic and Contemporary Novels
Literary Character Analysis
Rhetorical Theory and Practice
Classic Literary Narratives
Reading Analysis and Interpretation
Narrative Structure and Techniques
English Language Components
Influential English-Language Authors
Basic Sentence Structure
Narrative Voice and Perspective
Tüm konuları göster
122
•
Güncellendi May 21, 2026
•
Duru Şengül
@duruengl_enf6q
Fizik dersinde karşılaşacağın en önemli konulardan biri olan hareket konusunu... Daha fazla göster









Eğik atış sorularında cisim hem yatay hem düşey yönde hareket eder. 45° açıyla atılan bir cismin maksimum menzile ulaştığını hatırla.
İlk örnekte, 45° açıyla 30√2 m/s hızla atılan cismin uçuş süresi, maksimum yükseklik ve yatay menzil hesaplanıyor. Düşey bileşen V₀sin45° = 30 m/s, yatay bileşen ise V₀cos45° = 30 m/s oluyor.
Yatay atış problemlerinde ise cisim başlangıçta sadece yatay hıza sahiptir. Uçaktan bırakılan bomba örneğinde, bombanın düşme süresi yükseklikten, yatay hareketi ise sabit hızdan hesaplanır.
💡 İpucu: Eğik atışta çıkış ve iniş açıları eşittir, maksimum yükseklikte düşey hız sıfırdır.

Hız-zaman grafiği hareketin en önemli göstergesidir. Grafikteki eğim ivmeyi, alan ise yer değiştirmeyi verir.
Yön değişimi, hızın işaret değiştirdiği anlarda gerçekleşir. Grafikte hız çizgisinin x eksenini kestiği noktalarda cisim yön değiştirir.
İvme-zaman grafiğinden konum-zaman grafiğine geçerken, her zaman aralığı için ayrı ayrı hareket denklemlerini uygulaman gerekir. Pozitif ivme hızlanma, negatif ivme yavaşlama anlamına gelir.
Araç problemi örneğinde, v² = v₀² + 2ax formülü kullanılarak ilk hız 8 m/s olarak bulunur.
💡 İpucu: Grafik sorularında önce hareket türünü belirle, sonra uygun formülü seç.

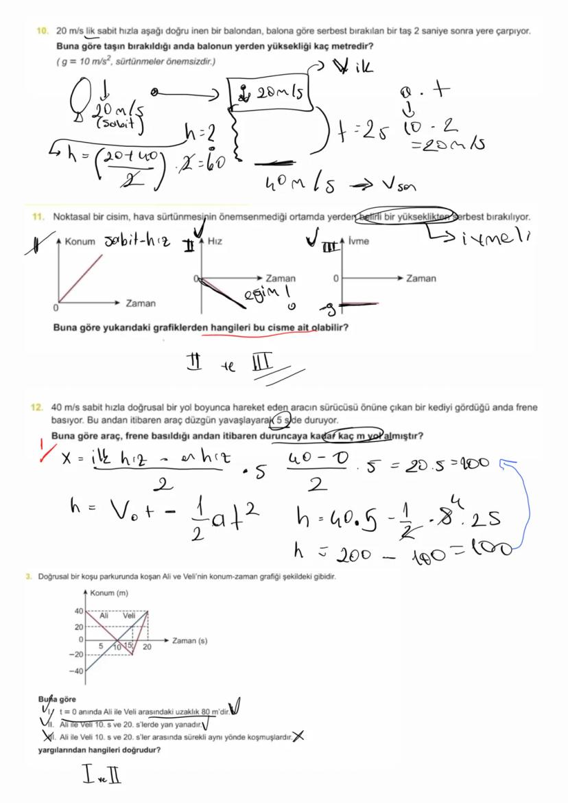
Serbest düşüş problemlerinde sadece yerçekimi ivmesi etkilidir. Balonden bırakılan taş örneğinde, balonun ilk hızı da taşa etki eder.
Taşın balondan bırakılma anındaki hızı, balonun hızına eşittir . Bu durumda h = v₀t + ½gt² formülü kullanılır.
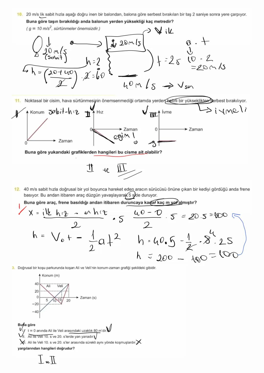
Konum-zaman, hız-zaman ve ivme-zaman grafiklerini birbirinden ayırt etmeyi öğren. Serbest düşüşte ivme sabit , hız doğrusal artar, konum parabolik değişir.
Frenleme problemi örneğinde, araç 5 saniyede durduğu için ortalama hız yöntemiyle yol hesaplanabilir: x = /2 × t = 100 m.
💡 İpucu: Serbest düşüşte g = 10 m/s² değerini her zaman aşağı doğru pozitif al.

İki cismin eş hızla yere çarpması durumunda, farklı başlangıç koşullarına rağmen aynı son hıza ulaşırlar. K ve L cismi örneğinde, her ikisi de 40 m/s hızla yere çarpar.
L cisminin son hızı: v² = (30)² + 2×10×35 = 1600, yani v = 40 m/s. K cismi için: h = v²/(2g) = 1600/(2×10) = 80 m.
Göreli hareket problemlerinde cisimler birbirine yaklaşıyorsa hızlar toplanır, uzaklaşıyorsa çıkarılır. 400 m arayla karşılıklı gelen araçlar 8 saniyede buluşur.
Konum-zaman grafiği çizerken her aracın başlangıç konumunu ve hızının yönünü dikkate al.
💡 İpucu: Karşılıklı hareket eden cisimlerde göreli hız = v₁ + v₂ formülünü kullan.

Düzgün hızlanan harekette cisim sabit ivmeyle hareket eder. Boya damlası deneyinde, ardışık mesafeler 4m, 8m, 12m şeklinde artıyor.
Bu durumda x = v₀t + ½at² formülünden ilk hız sıfır olduğu için, 2 saniyede 4m = ½×a×4, buradan a = 2 m/s² bulunur.
Frenleme hareketi örneklerinde ivme negatiftir. 40 m/s hızla giden araç 5 m/s² ile yavaşlarsa, 6. saniyedeki hızı: v = 40 - 5×6 = 10 m/s olur.
Gezegen deneyinde, 2 saniyede 0'dan 16 m/s'ye çıkma durumundan çekim ivmesi a = 8 m/s² bulunur.
💡 İpucu: Düzgün hızlanan harekette ardışık eşit zaman aralıklarında alınan yollar 1:3:5:7... oranındadır.

Hız-zaman grafiğinde yön değişimi, çizginin zaman eksenini kestiği noktalarda gerçekleşir. Eğim ivmeyi, grafik altındaki alan yer değiştirmeyi verir.
Konum-zaman grafiğinde yön değişimi tepe ve çukur noktalarında olur. Bu noktalarda anlık hız sıfırdır.
Grafikte pozitif bölgeler ileri hareketi, negatif bölgeler geri hareketi gösterir. İvme-zaman grafiğini çizerken hız grafiğinin eğimlerine bak.
Sabit hızda eğim sıfır , artan hızda pozitif eğim (pozitif ivme), azalan hızda negatif eğim (negatif ivme) vardır.
💡 İpucu: v-t grafiğinde pozitiften negatife geçiş = yön değişimi, x-t grafiğinde tepe/çukur = yön değişimi.

Yer değiştirme hesabında hız-zaman grafiğinin altındaki alanları topla. Pozitif alanlar ileri, negatif alanlar geri hareketi gösterir.
7 saniyelik harekette toplam yer değiştirme: 40 + 20 + 15 + 60 = 135 m olur.
Ortalama hız = Toplam yer değiştirme / Toplam zaman formülüyle bulunur. Bu değer pozitif, negatif veya sıfır olabilir.
Ortalama sürat = Toplam yol / Toplam zaman şeklinde hesaplanır ve her zaman pozitiftir. Yol hesabında tüm alanların mutlak değerleri toplanır.
Örnek problemde ortalama hız 5 m/s, ortalama sürat ise 10 m/s çıkar.
💡 İpucu: Ortalama hız skaler, ortalama sürat vektörel niceliktir. Tek yönlü harekette ikisi eşittir.

Bu konuları test sınavlarında başarıyla çözebilmek için formülleri ezberlemekten çok, hangi durumda hangi formülü kullanacağını bilmen önemli.
Grafik sorularında önce hareket türünü belirle: düzgün hareket, düzgün hızlanan hareket veya serbest düşüş. Sonra uygun denklemleri seç.
Işaret kuralına dikkat et: yukarı/ileri pozitif, aşağı/geri negatif. Tüm büyüklüklerin birimlerinin tutarlı olduğunu kontrol et.
Problem çözerken verilen büyüklükleri organize et, isteneni belirle ve adım adım çöz. Sonucun mantıklı olup olmadığını kontrol etmeyi unutma.
💡 İpucu: Hareket problemlerinde çizim yap, koordinat sistemi belirle ve vektörel büyüklüklerin yönlerini doğru işaretle.
Yapay zeka arkadaşımız öğrencilerin ihtiyaçlarına göre özel olarak tasarlanmıştır. Platformda bulunan milyonlarca içeriğe dayanarak öğrencilere gerçekten anlamlı ve ilgili yanıtlar verebiliyoruz. Ancak mesele sadece cevaplar değil, refakatçi aynı zamanda kişiselleştirilmiş öğrenme planları, sınavlar veya sohbet içerikleri ve öğrencilerin becerilerine ve gelişimlerine dayalı %100 kişiselleştirme ile öğrencilere günlük öğrenme zorluklarında rehberlik ediyor.
Uygulamayı Google Play Store ve Apple App Store'dan indirebilirsiniz.
Knowunity uygulaması ücretsiz! Uygulamamız çok yakında indirmeye hazır olacak, bekle bizi. 💙
App Store
Google Play
Uygulama çok kolay kullanılıyor ve güzel tasarlanmış. Şu ana kadar aradığım her şeyi buldum ve sunumlardan çok şey öğrendim! Kesinlikle ödevlerim için hep kullanacağım!
A.S.
iOS kullanıcısı
Uygulama çok iyi. Çok fazla ders notu ve yardımlaşma var. Örneğin benim problem yaşadığım bir ders Geometriydi ve ANINDA yardım ettiler beraber hem sorularımı çözdük hem konu anlatımı buldum. Herkese tavsiye ederim.
S.L.
Android kullanıcısı
BEN ŞOK. Reklamını sık sık gördüğüm için uygulamayı denedim ve gerçekten hayran kaldım. Bu uygulama okul için tam ihtiyacım olan şey. Anında ödev yardımı, konu anlatımı, örnek sınavlar, flaşkartlar hepsi hepsi var, şiddetle tavsiye ederim ✅
A.
iOS kullanıcısı
Knowunity'yi keşfedinceye kadar ödevlerimi zamanında tamamlamakta zorlanıyordum, Knowunity sadece kendi ders notlarımı yüklemeyi kolaylaştırmakla kalmıyor, aynı zamanda çalışmamı daha hızlı ve verimli hale getiren harika özetler de sunuyor.
Thomas R
iOS kullanıcısı
Ödevlerim için önemli bilgilerin tümünü bulmak her zaman bir zorluktu - Knowunity'yi kullanmaya başladığımdan beri, ders notlarımı kolayca yükleyebilir ve başkalarının özetlerinden faydalanabilirim, bu da organizasyon konusunda bana çok yardımcı oluyor.
Lisa M
Android kullanıcısı
Ders çalışırken genellikle yeterince genel bakışa sahip olmadığımı hissederdim, ama Knowunity'yi kullanmaya başladığımdan beri bu artık sorun değil - ders notlarımı yüklüyorum ve platformda her zaman yardımcı özetler buluyorum, bu da öğrenmemi çok daha kolaylaştırıyor.
David K
iOS kullanıcısı
Uygulama acayip iyi! Konuyu yazıyorum hemen yanıt alıyorum. Bi şeyi anlamak için 10 tane youtube videosu izlemem gerekmiyor. Kesssinlikle tavsiye ederim!
Sudenaz Ocak
Android kullanıcısı
Matematikte baya kötüydüm ama bu uygulama sayesinde şimdi daha iyiyim. Uygulamayı yapanlara için çok teşekkürler!
G.B.
Android kullanıcısı
Sunumlarım için tüm bilgileri toplamak gerçekten zordu. Ama Knowunity'yi kullanmaya başladığımdan beri, notlarımı yüklüyorum ve başkalarından harika özetler buluyorum - bu da çalışmamı çok daha verimli hale getiriyor!
Julia S
Android kullanıcısı
Tüm çalışma materyalleriyle sürekli stres altındaydım, ama Knowunity'yi kullanmaya başladığımdan beri, notlarımı yüklüyor ve başkalarının harika özetlerine bakıyorum - her şeyi daha iyi yönetmemi sağlıyor ve çok daha az stresli.
Marco B
iOS kullanıcısı
QUİZLER VE FLASHCARDLAR ÇOK FAYDALI VE Knowunity AI'I ÇOK SEVİYORUM. AYRICA TAM OLARAK CHATGPT GİBİ AMA DAHA AKILLI!! RİMEL SORUNLARIMDA DA YARDIM ETTİ!! GERÇEK DERSLERİMDE DE TABII Kİ! DUHHH 😍😁😲🤑💗✨🎀😮
Sarah L
Android kullanıcısı
Eskiden okul materyallerini Google'da aramakla saatler harcardım, ama şimdi sadece notlarımı Knowunity'ye yüklüyorum ve başkalarının faydalı özetlerine bakıyorum - sınavlara hazırlanırken kendimi çok daha güvende hissediyorum.
Paul T
iOS kullanıcısı
Uygulama çok kolay kullanılıyor ve güzel tasarlanmış. Şu ana kadar aradığım her şeyi buldum ve sunumlardan çok şey öğrendim! Kesinlikle ödevlerim için hep kullanacağım!
A.S.
iOS kullanıcısı
Uygulama çok iyi. Çok fazla ders notu ve yardımlaşma var. Örneğin benim problem yaşadığım bir ders Geometriydi ve ANINDA yardım ettiler beraber hem sorularımı çözdük hem konu anlatımı buldum. Herkese tavsiye ederim.
S.L.
Android kullanıcısı
BEN ŞOK. Reklamını sık sık gördüğüm için uygulamayı denedim ve gerçekten hayran kaldım. Bu uygulama okul için tam ihtiyacım olan şey. Anında ödev yardımı, konu anlatımı, örnek sınavlar, flaşkartlar hepsi hepsi var, şiddetle tavsiye ederim ✅
A.
iOS kullanıcısı
Knowunity'yi keşfedinceye kadar ödevlerimi zamanında tamamlamakta zorlanıyordum, Knowunity sadece kendi ders notlarımı yüklemeyi kolaylaştırmakla kalmıyor, aynı zamanda çalışmamı daha hızlı ve verimli hale getiren harika özetler de sunuyor.
Thomas R
iOS kullanıcısı
Ödevlerim için önemli bilgilerin tümünü bulmak her zaman bir zorluktu - Knowunity'yi kullanmaya başladığımdan beri, ders notlarımı kolayca yükleyebilir ve başkalarının özetlerinden faydalanabilirim, bu da organizasyon konusunda bana çok yardımcı oluyor.
Lisa M
Android kullanıcısı
Ders çalışırken genellikle yeterince genel bakışa sahip olmadığımı hissederdim, ama Knowunity'yi kullanmaya başladığımdan beri bu artık sorun değil - ders notlarımı yüklüyorum ve platformda her zaman yardımcı özetler buluyorum, bu da öğrenmemi çok daha kolaylaştırıyor.
David K
iOS kullanıcısı
Uygulama acayip iyi! Konuyu yazıyorum hemen yanıt alıyorum. Bi şeyi anlamak için 10 tane youtube videosu izlemem gerekmiyor. Kesssinlikle tavsiye ederim!
Sudenaz Ocak
Android kullanıcısı
Matematikte baya kötüydüm ama bu uygulama sayesinde şimdi daha iyiyim. Uygulamayı yapanlara için çok teşekkürler!
G.B.
Android kullanıcısı
Sunumlarım için tüm bilgileri toplamak gerçekten zordu. Ama Knowunity'yi kullanmaya başladığımdan beri, notlarımı yüklüyorum ve başkalarından harika özetler buluyorum - bu da çalışmamı çok daha verimli hale getiriyor!
Julia S
Android kullanıcısı
Tüm çalışma materyalleriyle sürekli stres altındaydım, ama Knowunity'yi kullanmaya başladığımdan beri, notlarımı yüklüyor ve başkalarının harika özetlerine bakıyorum - her şeyi daha iyi yönetmemi sağlıyor ve çok daha az stresli.
Marco B
iOS kullanıcısı
QUİZLER VE FLASHCARDLAR ÇOK FAYDALI VE Knowunity AI'I ÇOK SEVİYORUM. AYRICA TAM OLARAK CHATGPT GİBİ AMA DAHA AKILLI!! RİMEL SORUNLARIMDA DA YARDIM ETTİ!! GERÇEK DERSLERİMDE DE TABII Kİ! DUHHH 😍😁😲🤑💗✨🎀😮
Sarah L
Android kullanıcısı
Eskiden okul materyallerini Google'da aramakla saatler harcardım, ama şimdi sadece notlarımı Knowunity'ye yüklüyorum ve başkalarının faydalı özetlerine bakıyorum - sınavlara hazırlanırken kendimi çok daha güvende hissediyorum.
Paul T
iOS kullanıcısı
Duru Şengül
@duruengl_enf6q
Fizik dersinde karşılaşacağın en önemli konulardan biri olan hareket konusunu işleyeceğiz. Eğik atış, serbest düşüş, düzgün hızlanan hareket ve grafik analizi gibi temel konuları örneklerle anlayacaksın.

Tüm belgeleri görebilirsin
Notlarını Yükselt
Milyonlarca öğrenciye katıl
Eğik atış sorularında cisim hem yatay hem düşey yönde hareket eder. 45° açıyla atılan bir cismin maksimum menzile ulaştığını hatırla.
İlk örnekte, 45° açıyla 30√2 m/s hızla atılan cismin uçuş süresi, maksimum yükseklik ve yatay menzil hesaplanıyor. Düşey bileşen V₀sin45° = 30 m/s, yatay bileşen ise V₀cos45° = 30 m/s oluyor.
Yatay atış problemlerinde ise cisim başlangıçta sadece yatay hıza sahiptir. Uçaktan bırakılan bomba örneğinde, bombanın düşme süresi yükseklikten, yatay hareketi ise sabit hızdan hesaplanır.
💡 İpucu: Eğik atışta çıkış ve iniş açıları eşittir, maksimum yükseklikte düşey hız sıfırdır.

Tüm belgeleri görebilirsin
Notlarını Yükselt
Milyonlarca öğrenciye katıl
Hız-zaman grafiği hareketin en önemli göstergesidir. Grafikteki eğim ivmeyi, alan ise yer değiştirmeyi verir.
Yön değişimi, hızın işaret değiştirdiği anlarda gerçekleşir. Grafikte hız çizgisinin x eksenini kestiği noktalarda cisim yön değiştirir.
İvme-zaman grafiğinden konum-zaman grafiğine geçerken, her zaman aralığı için ayrı ayrı hareket denklemlerini uygulaman gerekir. Pozitif ivme hızlanma, negatif ivme yavaşlama anlamına gelir.
Araç problemi örneğinde, v² = v₀² + 2ax formülü kullanılarak ilk hız 8 m/s olarak bulunur.
💡 İpucu: Grafik sorularında önce hareket türünü belirle, sonra uygun formülü seç.

Tüm belgeleri görebilirsin
Notlarını Yükselt
Milyonlarca öğrenciye katıl
Serbest düşüş problemlerinde sadece yerçekimi ivmesi etkilidir. Balonden bırakılan taş örneğinde, balonun ilk hızı da taşa etki eder.
Taşın balondan bırakılma anındaki hızı, balonun hızına eşittir . Bu durumda h = v₀t + ½gt² formülü kullanılır.
Konum-zaman, hız-zaman ve ivme-zaman grafiklerini birbirinden ayırt etmeyi öğren. Serbest düşüşte ivme sabit , hız doğrusal artar, konum parabolik değişir.
Frenleme problemi örneğinde, araç 5 saniyede durduğu için ortalama hız yöntemiyle yol hesaplanabilir: x = /2 × t = 100 m.
💡 İpucu: Serbest düşüşte g = 10 m/s² değerini her zaman aşağı doğru pozitif al.

Tüm belgeleri görebilirsin
Notlarını Yükselt
Milyonlarca öğrenciye katıl
İki cismin eş hızla yere çarpması durumunda, farklı başlangıç koşullarına rağmen aynı son hıza ulaşırlar. K ve L cismi örneğinde, her ikisi de 40 m/s hızla yere çarpar.
L cisminin son hızı: v² = (30)² + 2×10×35 = 1600, yani v = 40 m/s. K cismi için: h = v²/(2g) = 1600/(2×10) = 80 m.
Göreli hareket problemlerinde cisimler birbirine yaklaşıyorsa hızlar toplanır, uzaklaşıyorsa çıkarılır. 400 m arayla karşılıklı gelen araçlar 8 saniyede buluşur.
Konum-zaman grafiği çizerken her aracın başlangıç konumunu ve hızının yönünü dikkate al.
💡 İpucu: Karşılıklı hareket eden cisimlerde göreli hız = v₁ + v₂ formülünü kullan.

Tüm belgeleri görebilirsin
Notlarını Yükselt
Milyonlarca öğrenciye katıl
Düzgün hızlanan harekette cisim sabit ivmeyle hareket eder. Boya damlası deneyinde, ardışık mesafeler 4m, 8m, 12m şeklinde artıyor.
Bu durumda x = v₀t + ½at² formülünden ilk hız sıfır olduğu için, 2 saniyede 4m = ½×a×4, buradan a = 2 m/s² bulunur.
Frenleme hareketi örneklerinde ivme negatiftir. 40 m/s hızla giden araç 5 m/s² ile yavaşlarsa, 6. saniyedeki hızı: v = 40 - 5×6 = 10 m/s olur.
Gezegen deneyinde, 2 saniyede 0'dan 16 m/s'ye çıkma durumundan çekim ivmesi a = 8 m/s² bulunur.
💡 İpucu: Düzgün hızlanan harekette ardışık eşit zaman aralıklarında alınan yollar 1:3:5:7... oranındadır.

Tüm belgeleri görebilirsin
Notlarını Yükselt
Milyonlarca öğrenciye katıl
Hız-zaman grafiğinde yön değişimi, çizginin zaman eksenini kestiği noktalarda gerçekleşir. Eğim ivmeyi, grafik altındaki alan yer değiştirmeyi verir.
Konum-zaman grafiğinde yön değişimi tepe ve çukur noktalarında olur. Bu noktalarda anlık hız sıfırdır.
Grafikte pozitif bölgeler ileri hareketi, negatif bölgeler geri hareketi gösterir. İvme-zaman grafiğini çizerken hız grafiğinin eğimlerine bak.
Sabit hızda eğim sıfır , artan hızda pozitif eğim (pozitif ivme), azalan hızda negatif eğim (negatif ivme) vardır.
💡 İpucu: v-t grafiğinde pozitiften negatife geçiş = yön değişimi, x-t grafiğinde tepe/çukur = yön değişimi.

Tüm belgeleri görebilirsin
Notlarını Yükselt
Milyonlarca öğrenciye katıl
Yer değiştirme hesabında hız-zaman grafiğinin altındaki alanları topla. Pozitif alanlar ileri, negatif alanlar geri hareketi gösterir.
7 saniyelik harekette toplam yer değiştirme: 40 + 20 + 15 + 60 = 135 m olur.
Ortalama hız = Toplam yer değiştirme / Toplam zaman formülüyle bulunur. Bu değer pozitif, negatif veya sıfır olabilir.
Ortalama sürat = Toplam yol / Toplam zaman şeklinde hesaplanır ve her zaman pozitiftir. Yol hesabında tüm alanların mutlak değerleri toplanır.
Örnek problemde ortalama hız 5 m/s, ortalama sürat ise 10 m/s çıkar.
💡 İpucu: Ortalama hız skaler, ortalama sürat vektörel niceliktir. Tek yönlü harekette ikisi eşittir.

Tüm belgeleri görebilirsin
Notlarını Yükselt
Milyonlarca öğrenciye katıl
Bu konuları test sınavlarında başarıyla çözebilmek için formülleri ezberlemekten çok, hangi durumda hangi formülü kullanacağını bilmen önemli.
Grafik sorularında önce hareket türünü belirle: düzgün hareket, düzgün hızlanan hareket veya serbest düşüş. Sonra uygun denklemleri seç.
Işaret kuralına dikkat et: yukarı/ileri pozitif, aşağı/geri negatif. Tüm büyüklüklerin birimlerinin tutarlı olduğunu kontrol et.
Problem çözerken verilen büyüklükleri organize et, isteneni belirle ve adım adım çöz. Sonucun mantıklı olup olmadığını kontrol etmeyi unutma.
💡 İpucu: Hareket problemlerinde çizim yap, koordinat sistemi belirle ve vektörel büyüklüklerin yönlerini doğru işaretle.
Yapay zeka arkadaşımız öğrencilerin ihtiyaçlarına göre özel olarak tasarlanmıştır. Platformda bulunan milyonlarca içeriğe dayanarak öğrencilere gerçekten anlamlı ve ilgili yanıtlar verebiliyoruz. Ancak mesele sadece cevaplar değil, refakatçi aynı zamanda kişiselleştirilmiş öğrenme planları, sınavlar veya sohbet içerikleri ve öğrencilerin becerilerine ve gelişimlerine dayalı %100 kişiselleştirme ile öğrencilere günlük öğrenme zorluklarında rehberlik ediyor.
Uygulamayı Google Play Store ve Apple App Store'dan indirebilirsiniz.
Knowunity uygulaması ücretsiz! Uygulamamız çok yakında indirmeye hazır olacak, bekle bizi. 💙
0
Akıllı Araçlar YENİ
Bu notu şunlara dönüştür: ✓ 50+ Alıştırma Sorusu ✓ Etkileşimli Flash Kartları ✓ Tam Deneme Sınavı ✓ Kompozisyon Taslakları
App Store
Google Play
Uygulama çok kolay kullanılıyor ve güzel tasarlanmış. Şu ana kadar aradığım her şeyi buldum ve sunumlardan çok şey öğrendim! Kesinlikle ödevlerim için hep kullanacağım!
A.S.
iOS kullanıcısı
Uygulama çok iyi. Çok fazla ders notu ve yardımlaşma var. Örneğin benim problem yaşadığım bir ders Geometriydi ve ANINDA yardım ettiler beraber hem sorularımı çözdük hem konu anlatımı buldum. Herkese tavsiye ederim.
S.L.
Android kullanıcısı
BEN ŞOK. Reklamını sık sık gördüğüm için uygulamayı denedim ve gerçekten hayran kaldım. Bu uygulama okul için tam ihtiyacım olan şey. Anında ödev yardımı, konu anlatımı, örnek sınavlar, flaşkartlar hepsi hepsi var, şiddetle tavsiye ederim ✅
A.
iOS kullanıcısı
Knowunity'yi keşfedinceye kadar ödevlerimi zamanında tamamlamakta zorlanıyordum, Knowunity sadece kendi ders notlarımı yüklemeyi kolaylaştırmakla kalmıyor, aynı zamanda çalışmamı daha hızlı ve verimli hale getiren harika özetler de sunuyor.
Thomas R
iOS kullanıcısı
Ödevlerim için önemli bilgilerin tümünü bulmak her zaman bir zorluktu - Knowunity'yi kullanmaya başladığımdan beri, ders notlarımı kolayca yükleyebilir ve başkalarının özetlerinden faydalanabilirim, bu da organizasyon konusunda bana çok yardımcı oluyor.
Lisa M
Android kullanıcısı
Ders çalışırken genellikle yeterince genel bakışa sahip olmadığımı hissederdim, ama Knowunity'yi kullanmaya başladığımdan beri bu artık sorun değil - ders notlarımı yüklüyorum ve platformda her zaman yardımcı özetler buluyorum, bu da öğrenmemi çok daha kolaylaştırıyor.
David K
iOS kullanıcısı
Uygulama acayip iyi! Konuyu yazıyorum hemen yanıt alıyorum. Bi şeyi anlamak için 10 tane youtube videosu izlemem gerekmiyor. Kesssinlikle tavsiye ederim!
Sudenaz Ocak
Android kullanıcısı
Matematikte baya kötüydüm ama bu uygulama sayesinde şimdi daha iyiyim. Uygulamayı yapanlara için çok teşekkürler!
G.B.
Android kullanıcısı
Sunumlarım için tüm bilgileri toplamak gerçekten zordu. Ama Knowunity'yi kullanmaya başladığımdan beri, notlarımı yüklüyorum ve başkalarından harika özetler buluyorum - bu da çalışmamı çok daha verimli hale getiriyor!
Julia S
Android kullanıcısı
Tüm çalışma materyalleriyle sürekli stres altındaydım, ama Knowunity'yi kullanmaya başladığımdan beri, notlarımı yüklüyor ve başkalarının harika özetlerine bakıyorum - her şeyi daha iyi yönetmemi sağlıyor ve çok daha az stresli.
Marco B
iOS kullanıcısı
QUİZLER VE FLASHCARDLAR ÇOK FAYDALI VE Knowunity AI'I ÇOK SEVİYORUM. AYRICA TAM OLARAK CHATGPT GİBİ AMA DAHA AKILLI!! RİMEL SORUNLARIMDA DA YARDIM ETTİ!! GERÇEK DERSLERİMDE DE TABII Kİ! DUHHH 😍😁😲🤑💗✨🎀😮
Sarah L
Android kullanıcısı
Eskiden okul materyallerini Google'da aramakla saatler harcardım, ama şimdi sadece notlarımı Knowunity'ye yüklüyorum ve başkalarının faydalı özetlerine bakıyorum - sınavlara hazırlanırken kendimi çok daha güvende hissediyorum.
Paul T
iOS kullanıcısı
Uygulama çok kolay kullanılıyor ve güzel tasarlanmış. Şu ana kadar aradığım her şeyi buldum ve sunumlardan çok şey öğrendim! Kesinlikle ödevlerim için hep kullanacağım!
A.S.
iOS kullanıcısı
Uygulama çok iyi. Çok fazla ders notu ve yardımlaşma var. Örneğin benim problem yaşadığım bir ders Geometriydi ve ANINDA yardım ettiler beraber hem sorularımı çözdük hem konu anlatımı buldum. Herkese tavsiye ederim.
S.L.
Android kullanıcısı
BEN ŞOK. Reklamını sık sık gördüğüm için uygulamayı denedim ve gerçekten hayran kaldım. Bu uygulama okul için tam ihtiyacım olan şey. Anında ödev yardımı, konu anlatımı, örnek sınavlar, flaşkartlar hepsi hepsi var, şiddetle tavsiye ederim ✅
A.
iOS kullanıcısı
Knowunity'yi keşfedinceye kadar ödevlerimi zamanında tamamlamakta zorlanıyordum, Knowunity sadece kendi ders notlarımı yüklemeyi kolaylaştırmakla kalmıyor, aynı zamanda çalışmamı daha hızlı ve verimli hale getiren harika özetler de sunuyor.
Thomas R
iOS kullanıcısı
Ödevlerim için önemli bilgilerin tümünü bulmak her zaman bir zorluktu - Knowunity'yi kullanmaya başladığımdan beri, ders notlarımı kolayca yükleyebilir ve başkalarının özetlerinden faydalanabilirim, bu da organizasyon konusunda bana çok yardımcı oluyor.
Lisa M
Android kullanıcısı
Ders çalışırken genellikle yeterince genel bakışa sahip olmadığımı hissederdim, ama Knowunity'yi kullanmaya başladığımdan beri bu artık sorun değil - ders notlarımı yüklüyorum ve platformda her zaman yardımcı özetler buluyorum, bu da öğrenmemi çok daha kolaylaştırıyor.
David K
iOS kullanıcısı
Uygulama acayip iyi! Konuyu yazıyorum hemen yanıt alıyorum. Bi şeyi anlamak için 10 tane youtube videosu izlemem gerekmiyor. Kesssinlikle tavsiye ederim!
Sudenaz Ocak
Android kullanıcısı
Matematikte baya kötüydüm ama bu uygulama sayesinde şimdi daha iyiyim. Uygulamayı yapanlara için çok teşekkürler!
G.B.
Android kullanıcısı
Sunumlarım için tüm bilgileri toplamak gerçekten zordu. Ama Knowunity'yi kullanmaya başladığımdan beri, notlarımı yüklüyorum ve başkalarından harika özetler buluyorum - bu da çalışmamı çok daha verimli hale getiriyor!
Julia S
Android kullanıcısı
Tüm çalışma materyalleriyle sürekli stres altındaydım, ama Knowunity'yi kullanmaya başladığımdan beri, notlarımı yüklüyor ve başkalarının harika özetlerine bakıyorum - her şeyi daha iyi yönetmemi sağlıyor ve çok daha az stresli.
Marco B
iOS kullanıcısı
QUİZLER VE FLASHCARDLAR ÇOK FAYDALI VE Knowunity AI'I ÇOK SEVİYORUM. AYRICA TAM OLARAK CHATGPT GİBİ AMA DAHA AKILLI!! RİMEL SORUNLARIMDA DA YARDIM ETTİ!! GERÇEK DERSLERİMDE DE TABII Kİ! DUHHH 😍😁😲🤑💗✨🎀😮
Sarah L
Android kullanıcısı
Eskiden okul materyallerini Google'da aramakla saatler harcardım, ama şimdi sadece notlarımı Knowunity'ye yüklüyorum ve başkalarının faydalı özetlerine bakıyorum - sınavlara hazırlanırken kendimi çok daha güvende hissediyorum.
Paul T
iOS kullanıcısı