TDK Yazım Kuralları, Türkçenin doğru ve etkili kullanımı için temel... Daha fazla göster
Ders notlarını görmek için kaydolÜcretsiz!
Tüm belgeleri görebilirsin
Notlarını Yükselt
Milyonlarca öğrenciye katıl
Knowunity AI
Daha fazla
Dersler
Triangle Congruence and Similarity Theorems
Triangle Properties and Classification
Linear Equations and Graphs
Geometric Angle Relationships
Trigonometric Functions and Identities
Equation Solving Techniques
Circle Geometry Fundamentals
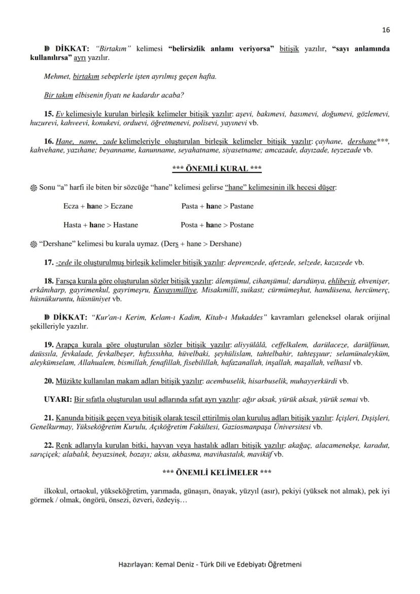
Division Operations and Methods
Basic Differentiation Rules
Exponent and Logarithm Properties
Tüm konuları göster
Human Organ Systems
Reproductive Cell Cycles
Biological Sciences Subdisciplines
Cellular Energy Metabolism
Autotrophic Energy Processes
Inheritance Patterns and Principles
Biomolecular Structure and Organization
Cell Cycle and Division Mechanics
Cellular Organization and Development
Biological Structural Organization
Tüm konuları göster
Chemical Sciences and Applications
Atomic Structure and Composition
Molecular Electron Structure Representation
Atomic Electron Behavior
Matter Properties and Water
Mole Concept and Calculations
Gas Laws and Behavior
Periodic Table Organization
Chemical Thermodynamics Fundamentals
Chemical Bond Types and Properties
Tüm konuları göster
European Renaissance and Enlightenment
European Cultural Movements 800-1920
American Revolution Era 1763-1797
American Civil War 1861-1865
Global Imperial Systems
Mongol and Chinese Dynasties
U.S. Presidents and World Leaders
Historical Sources and Documentation
World Wars Era and Impact
World Religious Systems
Tüm konuları göster
Classic and Contemporary Novels
Literary Character Analysis
Rhetorical Theory and Practice
Classic Literary Narratives
Reading Analysis and Interpretation
Narrative Structure and Techniques
English Language Components
Influential English-Language Authors
Basic Sentence Structure
Narrative Voice and Perspective
Tüm konuları göster
160
•
Güncellendi Apr 27, 2026
•
⭐
@duhaliya
TDK Yazım Kuralları, Türkçenin doğru ve etkili kullanımı için temel... Daha fazla göster


























TDK Yazım Kuralları, Türkçeyi doğru yazmak için ihtiyaç duyacağınız tüm kuralları içeren kapsamlı bir kaynaktır. Bu rehber, büyük harflerin kullanımından sayıların yazılışına, birleşik kelimelerin nasıl yazılacağından yabancı özel adların yazılışına kadar geniş bir içeriğe sahiptir.
İçerik listesinde göreceğiniz gibi, kılavuz 24 ana başlıktan oluşmaktadır. Büyük harflerin kullanıldığı yerler, sayıların yazılışı, ikilemelerin yazılışı, kesme işaretinin kullanımı gibi temel konuların yanında, alıntı kelimelerin yazılışı ve 2023 değişiklikleri gibi güncel bilgileri de içermektedir.
Biliyor muydunuz? TDK Yazım Kuralları'nın en son güncellemesi 2023 yılında yapılmış ve birçok kelime ve kelime grubunun yazımı değişmiştir. Örneğin "kayyum" yerine artık "kayyım" yazımı tercih edilmektedir.
Bu rehberdeki kuralları öğrenerek, ödevlerinizde, sınavlarınızda ve günlük yazışmalarınızda Türkçeyi doğru kullanma becerinizi geliştirebilirsiniz. Doğru yazım, iletişimin etkili olmasını sağlayan en önemli faktörlerden biridir.

Büyük harflerin doğru kullanımı, yazı dilinde anlam karışıklıklarını önleyen önemli bir kuraldır. Cümle büyük harfle başlar ve cümle içinde tırnak ya da yay ayraç içine alınan cümleler de büyük harfle başlar: "Muhtaç olduğun kudret, damarlarındaki asil kanda mevcuttur!"
Ancak iki çizgi arasındaki açıklama cümleleri büyük harfle başlamaz: Yeşiltepe köyüne -benim doğup büyüdüğüm yerdir- varmak üzereyiz.
İki noktadan sonra gelen cümleler büyük harfle başlarken, örnekler sıralandığında bunlar küçük harfle başlar: Bir kitapta aradığım en önemli 2 özellik şudur: konuyu ele alış tarzı ve ilginçlik.
Şiir dizelerinin büyük harfle başladığını unutmayın: "Korkma! Sönmez bu şafaklarda yüzen al sancak / Sönmeden yurdumun üstünde tüten en son ocak."
Özel adların tümü büyük harfle başlar: kişi adları (Yunus Emre), unvanlar (Mareşal Fevzi Çakmak), hayvan adları (Minnoş), millet adları (Türk), dil adları (İngilizce), din adları (Müslümanlık), gezegen adları (Merkür).
Püf Noktası: "Dünya, güneş, ay" kelimeleri gök cismi olarak kullanıldıklarında (terim anlamıyla) büyük harfle; sıradan anlamlarıyla kullanıldıklarında küçük harfle yazılır. "Dünya ve Ay, Güneş sisteminin parçasıdır" cümlesinde büyük harfle yazılırken, "dünyaya gelmek" deyiminde küçük harfle yazılır.

Özel adların yazılışında dikkat edilmesi gereken önemli kurallar vardır. Kişi adlarıyla soyadları (Mustafa Kemal Atatürk), takma adlar (Muhibbi), lakaplar (Deli Petro) ve unvanlar (Kaymakam Erol Bey) büyük harfle başlar.
Akrabalık bildiren kelimeler eğer lakap veya unvan olarak kullanılmışsa büyük harfle başlar: Baba Gündüz, Nene Hatun. Ancak genel akrabalık bildiren kelimeler küçük harfle başlar: Tülay ablama gittim.
Cümle içinde özel adın yerine kullanılan makam veya unvan sözleri de büyük harfle başlar: "Yarın yurt dışına çıkacakmış Cumhurbaşkanı." Aynı şekilde mektuplardaki hitaplar da büyük harfle başlar: "Sevgili Kardeşim,"
Gezegen, millet, dil ve devlet adları her zaman büyük harfle başlar: Merkür, Türk, İngilizce, Türkiye Cumhuriyeti. Din ve mezhep adları (Müslümanlık), mitolojik tanrı adları (Zeus) da büyük harfle yazılır.
Yön adları, özel isimden önce geliyorsa büyük harfle (Doğu Anadolu), sonra geliyorsa küçük harfle (Anadolu'nun doğusu) yazılır.
Dikkat! Akrabalık bildiren kelimeler özel isimden önce ya da sonra geldiklerinde (lakap olmadıkları sürece) küçük harfle yazılır: Fatma halan, dayım Ramiz, Hikmet deden. Bu hataya sınavlarda sık rastlanır!

Yer adları (kıta, bölge, il, ilçe, köy, semt vb.) büyük harfle başlar: Afrika, İstanbul, Turgutlu, Bahçelievler. Ancak özel ada dahil olmayan şehir, il, ilçe sözleri küçük harfle başlar: Konya ili, Etimesgut ilçesi.
Yer adlarında ilk isimden sonra gelen deniz, nehir, göl, dağ, boğaz gibi tür bildiren ikinci isimler de büyük harfle başlar: Ağrı Dağı, Van Gölü, Dicle Irmağı.
Mahalle, meydan, bulvar, cadde, sokak adlarının sonundaki mahalle, meydan, bulvar, cadde, sokak kelimeleri büyük harfle başlar: Yunus Emre Mahallesi, Zafer Meydanı, Nene Hatun Caddesi.
Kurum ve kuruluş adlarının her kelimesi büyük harfle başlar: Türkiye Büyük Millet Meclisi, Türk Dil Kurumu, Çocuk Esirgeme Kurumu. Bu adlar asılları kastedildiğinde büyük harfle başlar: "Türk Dil Kurumu çalışmalarını titizlikle sürdürüyor."
Kitap, dergi, gazete ve sanat eserlerinin her kelimesi de büyük harfle başlar: Nutuk, Türk Dili, Hürriyet, Kaplumbağa Terbiyecisi. Ancak ve, ile, ya, veya, yahut, ki, da, de sözleriyle mı, mi, mu, mü soru eki küçük harfle yazılır: "Leyla ile Mecnun"
Pratik Bilgi: Özel isim veya sayıdan sonra gelen yer adlarında şu kural işinize yarayabilir: "Kıta, eyalet, il, ilçe, semt, belde, köy" isimleri küçük yazılırken, "mahalle, cadde, sokak, meydan, bulvar" isimleri büyük yazılır. Yani büyükler küçük, küçükler büyük yazılır!

Saray, köşk, han, kale, köprü, kule, anıt gibi yapı adlarının bütün kelimeleri büyük harfle başlar: Dolmabahçe Sarayı, Ankara Kalesi, Galata Köprüsü. Aynı şekilde ulusal, resmî ve dinî bayramlarla anma ve kutlama günlerinin adları da büyük harfle başlar: Cumhuriyet Bayramı, Nevruz Bayramı, Anneler Günü.
Kurultay, bilgi şöleni, çalıştay gibi toplantıların adlarında ve tarihî olay, çağ ve dönem adlarında her kelime büyük harfle başlar: VI. Uluslararası Türk Dili Kurultayı, Kurtuluş Savaşı, İlk Çağ, Lale Devri.
Özel adlardan türetilen bütün kelimeler büyük harfle başlar: Türklük, Avrupalı, Darvinci. Ancak özel ad kendi anlamı dışında yeni bir anlam kazanmışsa küçük harfle başlar: amper (elektrik akımında şiddet birimi), donkişotluk (gereği yokken kahramanlık göstermeye kalkışma).
Yer, millet ve kişi adlarıyla kurulan birleşik kelimelerde sadece özel adlar büyük harfle başlar: Antep fıstığı, Brüksel lahanası, Van kedisi.
Belirli bir tarih bildiren ay ve gün adları büyük harfle başlar: 29 Mayıs 1453 Salı günü. Ancak belirli bir tarihi belirtmeyen ay ve gün adları küçük harfle başlar: Okullar genellikle eylülün ikinci haftasında öğretime başlar.
Önemli! Tarihî dönem bildiren terimler (Lale Devri, Tanzimat Dönemi) büyük harfle yazılırken, tür ve tarz bildiren terimler (divan edebiyatı, halk şiiri) küçük harfle yazılır. Bu ayrıntıya sınavlarda dikkat edin!

Sayılar harflerle yazılabilir: bin yıldan beri, on dört gün. Ancak saat, para tutarı, ölçü ve istatistiklerde rakam kullanılır: 17.30'da, 1.500.000 lira, 25 kilogram.
Dört veya daha çok basamaklı sayıların kolay okunabilmesi için içindeki bin, milyon, milyar ve trilyon sözleri harfle yazılabilir: 1 milyar 500 milyon kişi. Bu sayılar sondan sayılmak üzere üçlü gruplara ayrılarak yazılır ve aralarına nokta konur: 4.567, 326.197.
Sıra sayıları hem yazıyla hem rakamla gösterilebilir: 15., 56., XX. veya 15'inci, 56'ncı, XX'nci. Ancak üleştirme sayıları (ikişer, dokuzar) rakamla değil, yazıyla belirtilir.
Tabela, levha ve levha niteliğindeki yazılarda geçen kelimeler büyük harfle başlar: Giriş, Çıkış, Müdür, Vezne.
Kitap, bildiri, makale vb. yayınlarda ana başlıktaki kelimelerin tamamı, alt başlıktaki kelimelerin ise yalnızca ilk harfleri büyük olarak yazılır. Kitap, dergi vb. yayınlardaki resim, çizelge, tablo vb. altındaki açıklayıcı yazılar büyük harfle başlar.
Sınav Notu: Sıra sayıları yazılırken 8.'inci değil, 8'inci veya 8. şeklinde yazılmalıdır. Hem nokta hem kesme işareti kullanılmaz. Bu, sınavlarda sıkça sorulan bir yazım kuralıdır.

İkilemeler genellikle ayrı yazılır: adım adım, ağır ağır, çeşit çeşit. Aynı şekilde m ile yapılan ikilemeler (at mat), isim durum ekleriyle yapılan ikilemeler (baş başa, baştan başa) de ayrı yazılır.
Kalıcı isim haline gelen ikilemeler ise bitişik yazılır: gırgır, çıtçıt, patpat, pırpır. "Art arda" ayrı yazılırken "gitgide" bitişik yazılır.
Soru eki mı/mi/mu/mü gelenekleşmiş olarak ayrı yazılır ve ünlü uyumuna uyar: Kaldı mı? Olur mu? Soru ekinden sonra gelen ekler, bu eke bitişik olarak yazılır: Verecek misin? Soru dışında kullanıldığında da ayrı yazılır: Güzel mi güzel!
Bağlaç olan ki ayrı yazılır: bilmem ki, demek ki. Ancak bazı örneklerde ki bağlacı kalıplaşmış olduğu için bitişik yazılır: sanki, oysaki, belki, hâlbuki, çünkü, meğerki (SOMBAHÇEMİ kelimesiyle hatırlayabilirsiniz).
Bağlaç olan da/de ayrı yazılır ve ünlü uyumuna uyar: Kızı da geldi gelini de. Ayrı yazılan da/de hiçbir zaman ta/te biçiminde yazılmaz. Bulunma durum eki olan -da/-de/-ta/-te ise bitişik yazılır: devede kulak, işte çalışmak.
Kolay Hatırlama Yöntemi: Bağlaç olan "da/de" cümleden çıkarıldığında anlam bozulmaz, sadece daralır. Bulunma hâl eki "-da/-de" çıkarıldığında ise cümlenin anlamı tamamen bozulur. Bu yöntemle kolayca ayırt edebilirsiniz.

Bağlaç olan ki, sıfat yapan -ki ve ilgi zamiri olan -ki'yi karıştırmamak önemlidir. Sıfat yapan -ki (sahnedeki sanatçı) ve ilgi zamiri olan -ki (televizyonunki) her zaman bitişik yazılırken, bağlaç olan ki genellikle ayrı yazılır (gel gör ki). Sadece SOMBAHÇEMİ (sanki, oysaki, mademki, belki, hâlbuki, çünkü, meğerki, illaki) örneklerinde bitişik yazılır.
Bağlaç olan da/de ile bulunma durum eki -da/-de arasındaki farkı anlamak da çok önemlidir. Bağlaç olan da/de cümleden çıkarıldığında anlamda sadece daralma olur: "Sana da bir kitap aldım" (Sana bir kitap aldım). Bulunma hâl eki -da/-de çıkarıldığında ise cümle anlamını yitirir: "Kardeşinizin sınavda başarısız olmasına üzüldüm."
İle edatı ayrı yazılabildiği gibi ek olarak da kullanılabilir. Ek olarak kullanıldığında ünsüzle biten kelimelerde i ünlüsü düşer ve büyük ünlü uyumuna uyar: bulut-la (bulut ile). Ünlüyle biten kelimelerde ise araya y ünsüzü girer: arkadaşı-y-la (arkadaşı ile).
Dikkat! Ayırt etmekte zorlandığınız durumlarda, sözcüğün cümlede hangi öge görevi yaptığına bakabilirsiniz. Bulunma durum eki, cümlede dolaylı tümleç veya zarf tümleci yaparken, bağlaçların böyle bir görevi yoktur. Bu yöntem, kararsız kaldığınızda yardımcı olacaktır.

Kısaltmalar genellikle her kelimenin ilk harfinin büyük olarak yazılmasıyla yapılır: TBMM, TDK, ABD. Gelenekleşmiş olan T.C. ve T. kısaltmalarının dışında büyük harfle yapılan kısaltmalarda nokta kullanılmaz.
Küçük harflerle yapılan kısaltmalara getirilen eklerde "kelimenin okunuşu" esas alınır: cm'yi, kg'dan. Büyük harflerle yapılan kısaltmalara gelen eklerde ise "kısaltmanın son harfinin okunuşu" esas alınır: TDK'den, TRT'den.
Birleşik kelimelerin yazılışında belirli kurallar vardır. Bazı birleşik kelimeler ayrı yazılırken (ada balığı, çörek otu, et sineği, Antep fıstığı, dil bilimi), bazıları bitişik yazılır (kalemtraş, hemşire).
Hayvan türleri (ağustos böceği, arı kuşu), bitki türleri (ayrık otu, çuha çiçeği), nesne, eşya ve alet adları (alçı taşı, el sabunu), yiyecek ve içecek adları (bohça böreği, beyaz peynir) genellikle ayrı yazılır.
Pratik Bilgi: "ile" ekinin yazılışında şu kurala dikkat edin: Ünsüzle biten kelimelerde i ünlüsü düşer , ünlüyle biten kelimelerde araya y girer . Aynı kural ek-fiilin çekimli biçimleri (idi, imiş, ise) için de geçerlidir: yorgundu (yorgun idi), güzelmiş (güzel imiş).

Kısaltmalarla ilgili önemli kuralları bilmek yazı dilinde tutarlılık sağlar. Ölçü birimlerinin uluslararası kısaltmalarında (m, cm, kg) nokta kullanılmaz ve bu kısaltmalara gelen ekler kesme işaretiyle ayrılır. Türkçe yapılmış kısaltmalarda ise (dk.) nokta kullanılır ve ekler kesme işaretiyle ayrılmaz.
Bir kelime gibi okunan kısaltmalara (ASELSAN, NATO) gelen eklerde kısaltmanın okunuşu esas alınır: NATO'dan, UNESCO'ya. Sonunda nokta bulunan kısaltmalara gelen ekler kesmeyle ayrılmaz: vb.leri, Alm.dan.
Birleşik kelimeler belirli durumlarda ayrı yazılır. -r/-ar/-er, -maz/-mez ve -an/-en sıfat-fiil ekleriyle kurulan sıfat tamlamaları (bakar kör, çıkmaz sokak, akan yıldız), renk sözü veya renk adlarıyla kurulmuş isim tamlamaları (bal rengi, ateş kırmızısı), rengin tonunu belirten sıfatlar (açık mavi, koyu yeşil) ayrı yazılır.
Yer adlarında kullanılan yön bildiren kelimeler (Batı Trakya, Doğu Anadolu), kişi adlarından oluşmuş yer adları (Yunus Emre Mahallesi), dış, iç, sıra sözleriyle oluşturulan kelimeler (çağ dışı, hafta içi, aklı sıra) ve somut yer belirten alt ve üst sözleri (deri altı, tepe üstü) de ayrı yazılır.
Önemli Not: Kısaltmaların okunuşunda ve ek almasında küçük-büyük harf farkına dikkat edin. Küçük harfli kısaltmalarda kelimenin tam okunuşu , büyük harfli kısaltmalarda ise son harfin okunuşu esas alınır. Bu ayrıntıya sınavlarda sıkça yer verilir.















Yapay zeka arkadaşımız öğrencilerin ihtiyaçlarına göre özel olarak tasarlanmıştır. Platformda bulunan milyonlarca içeriğe dayanarak öğrencilere gerçekten anlamlı ve ilgili yanıtlar verebiliyoruz. Ancak mesele sadece cevaplar değil, refakatçi aynı zamanda kişiselleştirilmiş öğrenme planları, sınavlar veya sohbet içerikleri ve öğrencilerin becerilerine ve gelişimlerine dayalı %100 kişiselleştirme ile öğrencilere günlük öğrenme zorluklarında rehberlik ediyor.
Uygulamayı Google Play Store ve Apple App Store'dan indirebilirsiniz.
Knowunity uygulaması ücretsiz! Uygulamamız çok yakında indirmeye hazır olacak, bekle bizi. 💙
App Store
Google Play
Uygulama çok kolay kullanılıyor ve güzel tasarlanmış. Şu ana kadar aradığım her şeyi buldum ve sunumlardan çok şey öğrendim! Kesinlikle ödevlerim için hep kullanacağım!
A.S.
iOS kullanıcısı
Uygulama çok iyi. Çok fazla ders notu ve yardımlaşma var. Örneğin benim problem yaşadığım bir ders Geometriydi ve ANINDA yardım ettiler beraber hem sorularımı çözdük hem konu anlatımı buldum. Herkese tavsiye ederim.
S.L.
Android kullanıcısı
BEN ŞOK. Reklamını sık sık gördüğüm için uygulamayı denedim ve gerçekten hayran kaldım. Bu uygulama okul için tam ihtiyacım olan şey. Anında ödev yardımı, konu anlatımı, örnek sınavlar, flaşkartlar hepsi hepsi var, şiddetle tavsiye ederim ✅
A.
iOS kullanıcısı
Knowunity'yi keşfedinceye kadar ödevlerimi zamanında tamamlamakta zorlanıyordum, Knowunity sadece kendi ders notlarımı yüklemeyi kolaylaştırmakla kalmıyor, aynı zamanda çalışmamı daha hızlı ve verimli hale getiren harika özetler de sunuyor.
Thomas R
iOS kullanıcısı
Ödevlerim için önemli bilgilerin tümünü bulmak her zaman bir zorluktu - Knowunity'yi kullanmaya başladığımdan beri, ders notlarımı kolayca yükleyebilir ve başkalarının özetlerinden faydalanabilirim, bu da organizasyon konusunda bana çok yardımcı oluyor.
Lisa M
Android kullanıcısı
Ders çalışırken genellikle yeterince genel bakışa sahip olmadığımı hissederdim, ama Knowunity'yi kullanmaya başladığımdan beri bu artık sorun değil - ders notlarımı yüklüyorum ve platformda her zaman yardımcı özetler buluyorum, bu da öğrenmemi çok daha kolaylaştırıyor.
David K
iOS kullanıcısı
Uygulama acayip iyi! Konuyu yazıyorum hemen yanıt alıyorum. Bi şeyi anlamak için 10 tane youtube videosu izlemem gerekmiyor. Kesssinlikle tavsiye ederim!
Sudenaz Ocak
Android kullanıcısı
Matematikte baya kötüydüm ama bu uygulama sayesinde şimdi daha iyiyim. Uygulamayı yapanlara için çok teşekkürler!
G.B.
Android kullanıcısı
Sunumlarım için tüm bilgileri toplamak gerçekten zordu. Ama Knowunity'yi kullanmaya başladığımdan beri, notlarımı yüklüyorum ve başkalarından harika özetler buluyorum - bu da çalışmamı çok daha verimli hale getiriyor!
Julia S
Android kullanıcısı
Tüm çalışma materyalleriyle sürekli stres altındaydım, ama Knowunity'yi kullanmaya başladığımdan beri, notlarımı yüklüyor ve başkalarının harika özetlerine bakıyorum - her şeyi daha iyi yönetmemi sağlıyor ve çok daha az stresli.
Marco B
iOS kullanıcısı
QUİZLER VE FLASHCARDLAR ÇOK FAYDALI VE Knowunity AI'I ÇOK SEVİYORUM. AYRICA TAM OLARAK CHATGPT GİBİ AMA DAHA AKILLI!! RİMEL SORUNLARIMDA DA YARDIM ETTİ!! GERÇEK DERSLERİMDE DE TABII Kİ! DUHHH 😍😁😲🤑💗✨🎀😮
Sarah L
Android kullanıcısı
Eskiden okul materyallerini Google'da aramakla saatler harcardım, ama şimdi sadece notlarımı Knowunity'ye yüklüyorum ve başkalarının faydalı özetlerine bakıyorum - sınavlara hazırlanırken kendimi çok daha güvende hissediyorum.
Paul T
iOS kullanıcısı
Uygulama çok kolay kullanılıyor ve güzel tasarlanmış. Şu ana kadar aradığım her şeyi buldum ve sunumlardan çok şey öğrendim! Kesinlikle ödevlerim için hep kullanacağım!
A.S.
iOS kullanıcısı
Uygulama çok iyi. Çok fazla ders notu ve yardımlaşma var. Örneğin benim problem yaşadığım bir ders Geometriydi ve ANINDA yardım ettiler beraber hem sorularımı çözdük hem konu anlatımı buldum. Herkese tavsiye ederim.
S.L.
Android kullanıcısı
BEN ŞOK. Reklamını sık sık gördüğüm için uygulamayı denedim ve gerçekten hayran kaldım. Bu uygulama okul için tam ihtiyacım olan şey. Anında ödev yardımı, konu anlatımı, örnek sınavlar, flaşkartlar hepsi hepsi var, şiddetle tavsiye ederim ✅
A.
iOS kullanıcısı
Knowunity'yi keşfedinceye kadar ödevlerimi zamanında tamamlamakta zorlanıyordum, Knowunity sadece kendi ders notlarımı yüklemeyi kolaylaştırmakla kalmıyor, aynı zamanda çalışmamı daha hızlı ve verimli hale getiren harika özetler de sunuyor.
Thomas R
iOS kullanıcısı
Ödevlerim için önemli bilgilerin tümünü bulmak her zaman bir zorluktu - Knowunity'yi kullanmaya başladığımdan beri, ders notlarımı kolayca yükleyebilir ve başkalarının özetlerinden faydalanabilirim, bu da organizasyon konusunda bana çok yardımcı oluyor.
Lisa M
Android kullanıcısı
Ders çalışırken genellikle yeterince genel bakışa sahip olmadığımı hissederdim, ama Knowunity'yi kullanmaya başladığımdan beri bu artık sorun değil - ders notlarımı yüklüyorum ve platformda her zaman yardımcı özetler buluyorum, bu da öğrenmemi çok daha kolaylaştırıyor.
David K
iOS kullanıcısı
Uygulama acayip iyi! Konuyu yazıyorum hemen yanıt alıyorum. Bi şeyi anlamak için 10 tane youtube videosu izlemem gerekmiyor. Kesssinlikle tavsiye ederim!
Sudenaz Ocak
Android kullanıcısı
Matematikte baya kötüydüm ama bu uygulama sayesinde şimdi daha iyiyim. Uygulamayı yapanlara için çok teşekkürler!
G.B.
Android kullanıcısı
Sunumlarım için tüm bilgileri toplamak gerçekten zordu. Ama Knowunity'yi kullanmaya başladığımdan beri, notlarımı yüklüyorum ve başkalarından harika özetler buluyorum - bu da çalışmamı çok daha verimli hale getiriyor!
Julia S
Android kullanıcısı
Tüm çalışma materyalleriyle sürekli stres altındaydım, ama Knowunity'yi kullanmaya başladığımdan beri, notlarımı yüklüyor ve başkalarının harika özetlerine bakıyorum - her şeyi daha iyi yönetmemi sağlıyor ve çok daha az stresli.
Marco B
iOS kullanıcısı
QUİZLER VE FLASHCARDLAR ÇOK FAYDALI VE Knowunity AI'I ÇOK SEVİYORUM. AYRICA TAM OLARAK CHATGPT GİBİ AMA DAHA AKILLI!! RİMEL SORUNLARIMDA DA YARDIM ETTİ!! GERÇEK DERSLERİMDE DE TABII Kİ! DUHHH 😍😁😲🤑💗✨🎀😮
Sarah L
Android kullanıcısı
Eskiden okul materyallerini Google'da aramakla saatler harcardım, ama şimdi sadece notlarımı Knowunity'ye yüklüyorum ve başkalarının faydalı özetlerine bakıyorum - sınavlara hazırlanırken kendimi çok daha güvende hissediyorum.
Paul T
iOS kullanıcısı
⭐
@duhaliya
TDK Yazım Kuralları, Türkçenin doğru ve etkili kullanımı için temel bir rehberdir. Dilimizi yazarken hangi durumlarda büyük harf kullanacağımızdan, kelimelerin nasıl bölüneceğine, birleşik kelimelerin nasıl yazılacağına kadar birçok konuyu düzenleyen bu kurallar, 2023 değişiklikleri ile güncellenmiştir. Yazım kurallarına hâkim olmak,... Daha fazla göster

Tüm belgeleri görebilirsin
Notlarını Yükselt
Milyonlarca öğrenciye katıl
TDK Yazım Kuralları, Türkçeyi doğru yazmak için ihtiyaç duyacağınız tüm kuralları içeren kapsamlı bir kaynaktır. Bu rehber, büyük harflerin kullanımından sayıların yazılışına, birleşik kelimelerin nasıl yazılacağından yabancı özel adların yazılışına kadar geniş bir içeriğe sahiptir.
İçerik listesinde göreceğiniz gibi, kılavuz 24 ana başlıktan oluşmaktadır. Büyük harflerin kullanıldığı yerler, sayıların yazılışı, ikilemelerin yazılışı, kesme işaretinin kullanımı gibi temel konuların yanında, alıntı kelimelerin yazılışı ve 2023 değişiklikleri gibi güncel bilgileri de içermektedir.
Biliyor muydunuz? TDK Yazım Kuralları'nın en son güncellemesi 2023 yılında yapılmış ve birçok kelime ve kelime grubunun yazımı değişmiştir. Örneğin "kayyum" yerine artık "kayyım" yazımı tercih edilmektedir.
Bu rehberdeki kuralları öğrenerek, ödevlerinizde, sınavlarınızda ve günlük yazışmalarınızda Türkçeyi doğru kullanma becerinizi geliştirebilirsiniz. Doğru yazım, iletişimin etkili olmasını sağlayan en önemli faktörlerden biridir.

Tüm belgeleri görebilirsin
Notlarını Yükselt
Milyonlarca öğrenciye katıl
Büyük harflerin doğru kullanımı, yazı dilinde anlam karışıklıklarını önleyen önemli bir kuraldır. Cümle büyük harfle başlar ve cümle içinde tırnak ya da yay ayraç içine alınan cümleler de büyük harfle başlar: "Muhtaç olduğun kudret, damarlarındaki asil kanda mevcuttur!"
Ancak iki çizgi arasındaki açıklama cümleleri büyük harfle başlamaz: Yeşiltepe köyüne -benim doğup büyüdüğüm yerdir- varmak üzereyiz.
İki noktadan sonra gelen cümleler büyük harfle başlarken, örnekler sıralandığında bunlar küçük harfle başlar: Bir kitapta aradığım en önemli 2 özellik şudur: konuyu ele alış tarzı ve ilginçlik.
Şiir dizelerinin büyük harfle başladığını unutmayın: "Korkma! Sönmez bu şafaklarda yüzen al sancak / Sönmeden yurdumun üstünde tüten en son ocak."
Özel adların tümü büyük harfle başlar: kişi adları (Yunus Emre), unvanlar (Mareşal Fevzi Çakmak), hayvan adları (Minnoş), millet adları (Türk), dil adları (İngilizce), din adları (Müslümanlık), gezegen adları (Merkür).
Püf Noktası: "Dünya, güneş, ay" kelimeleri gök cismi olarak kullanıldıklarında (terim anlamıyla) büyük harfle; sıradan anlamlarıyla kullanıldıklarında küçük harfle yazılır. "Dünya ve Ay, Güneş sisteminin parçasıdır" cümlesinde büyük harfle yazılırken, "dünyaya gelmek" deyiminde küçük harfle yazılır.

Tüm belgeleri görebilirsin
Notlarını Yükselt
Milyonlarca öğrenciye katıl
Özel adların yazılışında dikkat edilmesi gereken önemli kurallar vardır. Kişi adlarıyla soyadları (Mustafa Kemal Atatürk), takma adlar (Muhibbi), lakaplar (Deli Petro) ve unvanlar (Kaymakam Erol Bey) büyük harfle başlar.
Akrabalık bildiren kelimeler eğer lakap veya unvan olarak kullanılmışsa büyük harfle başlar: Baba Gündüz, Nene Hatun. Ancak genel akrabalık bildiren kelimeler küçük harfle başlar: Tülay ablama gittim.
Cümle içinde özel adın yerine kullanılan makam veya unvan sözleri de büyük harfle başlar: "Yarın yurt dışına çıkacakmış Cumhurbaşkanı." Aynı şekilde mektuplardaki hitaplar da büyük harfle başlar: "Sevgili Kardeşim,"
Gezegen, millet, dil ve devlet adları her zaman büyük harfle başlar: Merkür, Türk, İngilizce, Türkiye Cumhuriyeti. Din ve mezhep adları (Müslümanlık), mitolojik tanrı adları (Zeus) da büyük harfle yazılır.
Yön adları, özel isimden önce geliyorsa büyük harfle (Doğu Anadolu), sonra geliyorsa küçük harfle (Anadolu'nun doğusu) yazılır.
Dikkat! Akrabalık bildiren kelimeler özel isimden önce ya da sonra geldiklerinde (lakap olmadıkları sürece) küçük harfle yazılır: Fatma halan, dayım Ramiz, Hikmet deden. Bu hataya sınavlarda sık rastlanır!

Tüm belgeleri görebilirsin
Notlarını Yükselt
Milyonlarca öğrenciye katıl
Yer adları (kıta, bölge, il, ilçe, köy, semt vb.) büyük harfle başlar: Afrika, İstanbul, Turgutlu, Bahçelievler. Ancak özel ada dahil olmayan şehir, il, ilçe sözleri küçük harfle başlar: Konya ili, Etimesgut ilçesi.
Yer adlarında ilk isimden sonra gelen deniz, nehir, göl, dağ, boğaz gibi tür bildiren ikinci isimler de büyük harfle başlar: Ağrı Dağı, Van Gölü, Dicle Irmağı.
Mahalle, meydan, bulvar, cadde, sokak adlarının sonundaki mahalle, meydan, bulvar, cadde, sokak kelimeleri büyük harfle başlar: Yunus Emre Mahallesi, Zafer Meydanı, Nene Hatun Caddesi.
Kurum ve kuruluş adlarının her kelimesi büyük harfle başlar: Türkiye Büyük Millet Meclisi, Türk Dil Kurumu, Çocuk Esirgeme Kurumu. Bu adlar asılları kastedildiğinde büyük harfle başlar: "Türk Dil Kurumu çalışmalarını titizlikle sürdürüyor."
Kitap, dergi, gazete ve sanat eserlerinin her kelimesi de büyük harfle başlar: Nutuk, Türk Dili, Hürriyet, Kaplumbağa Terbiyecisi. Ancak ve, ile, ya, veya, yahut, ki, da, de sözleriyle mı, mi, mu, mü soru eki küçük harfle yazılır: "Leyla ile Mecnun"
Pratik Bilgi: Özel isim veya sayıdan sonra gelen yer adlarında şu kural işinize yarayabilir: "Kıta, eyalet, il, ilçe, semt, belde, köy" isimleri küçük yazılırken, "mahalle, cadde, sokak, meydan, bulvar" isimleri büyük yazılır. Yani büyükler küçük, küçükler büyük yazılır!

Tüm belgeleri görebilirsin
Notlarını Yükselt
Milyonlarca öğrenciye katıl
Saray, köşk, han, kale, köprü, kule, anıt gibi yapı adlarının bütün kelimeleri büyük harfle başlar: Dolmabahçe Sarayı, Ankara Kalesi, Galata Köprüsü. Aynı şekilde ulusal, resmî ve dinî bayramlarla anma ve kutlama günlerinin adları da büyük harfle başlar: Cumhuriyet Bayramı, Nevruz Bayramı, Anneler Günü.
Kurultay, bilgi şöleni, çalıştay gibi toplantıların adlarında ve tarihî olay, çağ ve dönem adlarında her kelime büyük harfle başlar: VI. Uluslararası Türk Dili Kurultayı, Kurtuluş Savaşı, İlk Çağ, Lale Devri.
Özel adlardan türetilen bütün kelimeler büyük harfle başlar: Türklük, Avrupalı, Darvinci. Ancak özel ad kendi anlamı dışında yeni bir anlam kazanmışsa küçük harfle başlar: amper (elektrik akımında şiddet birimi), donkişotluk (gereği yokken kahramanlık göstermeye kalkışma).
Yer, millet ve kişi adlarıyla kurulan birleşik kelimelerde sadece özel adlar büyük harfle başlar: Antep fıstığı, Brüksel lahanası, Van kedisi.
Belirli bir tarih bildiren ay ve gün adları büyük harfle başlar: 29 Mayıs 1453 Salı günü. Ancak belirli bir tarihi belirtmeyen ay ve gün adları küçük harfle başlar: Okullar genellikle eylülün ikinci haftasında öğretime başlar.
Önemli! Tarihî dönem bildiren terimler (Lale Devri, Tanzimat Dönemi) büyük harfle yazılırken, tür ve tarz bildiren terimler (divan edebiyatı, halk şiiri) küçük harfle yazılır. Bu ayrıntıya sınavlarda dikkat edin!

Tüm belgeleri görebilirsin
Notlarını Yükselt
Milyonlarca öğrenciye katıl
Sayılar harflerle yazılabilir: bin yıldan beri, on dört gün. Ancak saat, para tutarı, ölçü ve istatistiklerde rakam kullanılır: 17.30'da, 1.500.000 lira, 25 kilogram.
Dört veya daha çok basamaklı sayıların kolay okunabilmesi için içindeki bin, milyon, milyar ve trilyon sözleri harfle yazılabilir: 1 milyar 500 milyon kişi. Bu sayılar sondan sayılmak üzere üçlü gruplara ayrılarak yazılır ve aralarına nokta konur: 4.567, 326.197.
Sıra sayıları hem yazıyla hem rakamla gösterilebilir: 15., 56., XX. veya 15'inci, 56'ncı, XX'nci. Ancak üleştirme sayıları (ikişer, dokuzar) rakamla değil, yazıyla belirtilir.
Tabela, levha ve levha niteliğindeki yazılarda geçen kelimeler büyük harfle başlar: Giriş, Çıkış, Müdür, Vezne.
Kitap, bildiri, makale vb. yayınlarda ana başlıktaki kelimelerin tamamı, alt başlıktaki kelimelerin ise yalnızca ilk harfleri büyük olarak yazılır. Kitap, dergi vb. yayınlardaki resim, çizelge, tablo vb. altındaki açıklayıcı yazılar büyük harfle başlar.
Sınav Notu: Sıra sayıları yazılırken 8.'inci değil, 8'inci veya 8. şeklinde yazılmalıdır. Hem nokta hem kesme işareti kullanılmaz. Bu, sınavlarda sıkça sorulan bir yazım kuralıdır.

Tüm belgeleri görebilirsin
Notlarını Yükselt
Milyonlarca öğrenciye katıl
İkilemeler genellikle ayrı yazılır: adım adım, ağır ağır, çeşit çeşit. Aynı şekilde m ile yapılan ikilemeler (at mat), isim durum ekleriyle yapılan ikilemeler (baş başa, baştan başa) de ayrı yazılır.
Kalıcı isim haline gelen ikilemeler ise bitişik yazılır: gırgır, çıtçıt, patpat, pırpır. "Art arda" ayrı yazılırken "gitgide" bitişik yazılır.
Soru eki mı/mi/mu/mü gelenekleşmiş olarak ayrı yazılır ve ünlü uyumuna uyar: Kaldı mı? Olur mu? Soru ekinden sonra gelen ekler, bu eke bitişik olarak yazılır: Verecek misin? Soru dışında kullanıldığında da ayrı yazılır: Güzel mi güzel!
Bağlaç olan ki ayrı yazılır: bilmem ki, demek ki. Ancak bazı örneklerde ki bağlacı kalıplaşmış olduğu için bitişik yazılır: sanki, oysaki, belki, hâlbuki, çünkü, meğerki (SOMBAHÇEMİ kelimesiyle hatırlayabilirsiniz).
Bağlaç olan da/de ayrı yazılır ve ünlü uyumuna uyar: Kızı da geldi gelini de. Ayrı yazılan da/de hiçbir zaman ta/te biçiminde yazılmaz. Bulunma durum eki olan -da/-de/-ta/-te ise bitişik yazılır: devede kulak, işte çalışmak.
Kolay Hatırlama Yöntemi: Bağlaç olan "da/de" cümleden çıkarıldığında anlam bozulmaz, sadece daralır. Bulunma hâl eki "-da/-de" çıkarıldığında ise cümlenin anlamı tamamen bozulur. Bu yöntemle kolayca ayırt edebilirsiniz.

Tüm belgeleri görebilirsin
Notlarını Yükselt
Milyonlarca öğrenciye katıl
Bağlaç olan ki, sıfat yapan -ki ve ilgi zamiri olan -ki'yi karıştırmamak önemlidir. Sıfat yapan -ki (sahnedeki sanatçı) ve ilgi zamiri olan -ki (televizyonunki) her zaman bitişik yazılırken, bağlaç olan ki genellikle ayrı yazılır (gel gör ki). Sadece SOMBAHÇEMİ (sanki, oysaki, mademki, belki, hâlbuki, çünkü, meğerki, illaki) örneklerinde bitişik yazılır.
Bağlaç olan da/de ile bulunma durum eki -da/-de arasındaki farkı anlamak da çok önemlidir. Bağlaç olan da/de cümleden çıkarıldığında anlamda sadece daralma olur: "Sana da bir kitap aldım" (Sana bir kitap aldım). Bulunma hâl eki -da/-de çıkarıldığında ise cümle anlamını yitirir: "Kardeşinizin sınavda başarısız olmasına üzüldüm."
İle edatı ayrı yazılabildiği gibi ek olarak da kullanılabilir. Ek olarak kullanıldığında ünsüzle biten kelimelerde i ünlüsü düşer ve büyük ünlü uyumuna uyar: bulut-la (bulut ile). Ünlüyle biten kelimelerde ise araya y ünsüzü girer: arkadaşı-y-la (arkadaşı ile).
Dikkat! Ayırt etmekte zorlandığınız durumlarda, sözcüğün cümlede hangi öge görevi yaptığına bakabilirsiniz. Bulunma durum eki, cümlede dolaylı tümleç veya zarf tümleci yaparken, bağlaçların böyle bir görevi yoktur. Bu yöntem, kararsız kaldığınızda yardımcı olacaktır.

Tüm belgeleri görebilirsin
Notlarını Yükselt
Milyonlarca öğrenciye katıl
Kısaltmalar genellikle her kelimenin ilk harfinin büyük olarak yazılmasıyla yapılır: TBMM, TDK, ABD. Gelenekleşmiş olan T.C. ve T. kısaltmalarının dışında büyük harfle yapılan kısaltmalarda nokta kullanılmaz.
Küçük harflerle yapılan kısaltmalara getirilen eklerde "kelimenin okunuşu" esas alınır: cm'yi, kg'dan. Büyük harflerle yapılan kısaltmalara gelen eklerde ise "kısaltmanın son harfinin okunuşu" esas alınır: TDK'den, TRT'den.
Birleşik kelimelerin yazılışında belirli kurallar vardır. Bazı birleşik kelimeler ayrı yazılırken (ada balığı, çörek otu, et sineği, Antep fıstığı, dil bilimi), bazıları bitişik yazılır (kalemtraş, hemşire).
Hayvan türleri (ağustos böceği, arı kuşu), bitki türleri (ayrık otu, çuha çiçeği), nesne, eşya ve alet adları (alçı taşı, el sabunu), yiyecek ve içecek adları (bohça böreği, beyaz peynir) genellikle ayrı yazılır.
Pratik Bilgi: "ile" ekinin yazılışında şu kurala dikkat edin: Ünsüzle biten kelimelerde i ünlüsü düşer , ünlüyle biten kelimelerde araya y girer . Aynı kural ek-fiilin çekimli biçimleri (idi, imiş, ise) için de geçerlidir: yorgundu (yorgun idi), güzelmiş (güzel imiş).

Tüm belgeleri görebilirsin
Notlarını Yükselt
Milyonlarca öğrenciye katıl
Kısaltmalarla ilgili önemli kuralları bilmek yazı dilinde tutarlılık sağlar. Ölçü birimlerinin uluslararası kısaltmalarında (m, cm, kg) nokta kullanılmaz ve bu kısaltmalara gelen ekler kesme işaretiyle ayrılır. Türkçe yapılmış kısaltmalarda ise (dk.) nokta kullanılır ve ekler kesme işaretiyle ayrılmaz.
Bir kelime gibi okunan kısaltmalara (ASELSAN, NATO) gelen eklerde kısaltmanın okunuşu esas alınır: NATO'dan, UNESCO'ya. Sonunda nokta bulunan kısaltmalara gelen ekler kesmeyle ayrılmaz: vb.leri, Alm.dan.
Birleşik kelimeler belirli durumlarda ayrı yazılır. -r/-ar/-er, -maz/-mez ve -an/-en sıfat-fiil ekleriyle kurulan sıfat tamlamaları (bakar kör, çıkmaz sokak, akan yıldız), renk sözü veya renk adlarıyla kurulmuş isim tamlamaları (bal rengi, ateş kırmızısı), rengin tonunu belirten sıfatlar (açık mavi, koyu yeşil) ayrı yazılır.
Yer adlarında kullanılan yön bildiren kelimeler (Batı Trakya, Doğu Anadolu), kişi adlarından oluşmuş yer adları (Yunus Emre Mahallesi), dış, iç, sıra sözleriyle oluşturulan kelimeler (çağ dışı, hafta içi, aklı sıra) ve somut yer belirten alt ve üst sözleri (deri altı, tepe üstü) de ayrı yazılır.
Önemli Not: Kısaltmaların okunuşunda ve ek almasında küçük-büyük harf farkına dikkat edin. Küçük harfli kısaltmalarda kelimenin tam okunuşu , büyük harfli kısaltmalarda ise son harfin okunuşu esas alınır. Bu ayrıntıya sınavlarda sıkça yer verilir.

Tüm belgeleri görebilirsin
Notlarını Yükselt
Milyonlarca öğrenciye katıl

Tüm belgeleri görebilirsin
Notlarını Yükselt
Milyonlarca öğrenciye katıl

Tüm belgeleri görebilirsin
Notlarını Yükselt
Milyonlarca öğrenciye katıl

Tüm belgeleri görebilirsin
Notlarını Yükselt
Milyonlarca öğrenciye katıl

Tüm belgeleri görebilirsin
Notlarını Yükselt
Milyonlarca öğrenciye katıl

Tüm belgeleri görebilirsin
Notlarını Yükselt
Milyonlarca öğrenciye katıl

Tüm belgeleri görebilirsin
Notlarını Yükselt
Milyonlarca öğrenciye katıl

Tüm belgeleri görebilirsin
Notlarını Yükselt
Milyonlarca öğrenciye katıl

Tüm belgeleri görebilirsin
Notlarını Yükselt
Milyonlarca öğrenciye katıl

Tüm belgeleri görebilirsin
Notlarını Yükselt
Milyonlarca öğrenciye katıl

Tüm belgeleri görebilirsin
Notlarını Yükselt
Milyonlarca öğrenciye katıl

Tüm belgeleri görebilirsin
Notlarını Yükselt
Milyonlarca öğrenciye katıl

Tüm belgeleri görebilirsin
Notlarını Yükselt
Milyonlarca öğrenciye katıl

Tüm belgeleri görebilirsin
Notlarını Yükselt
Milyonlarca öğrenciye katıl

Tüm belgeleri görebilirsin
Notlarını Yükselt
Milyonlarca öğrenciye katıl
Yapay zeka arkadaşımız öğrencilerin ihtiyaçlarına göre özel olarak tasarlanmıştır. Platformda bulunan milyonlarca içeriğe dayanarak öğrencilere gerçekten anlamlı ve ilgili yanıtlar verebiliyoruz. Ancak mesele sadece cevaplar değil, refakatçi aynı zamanda kişiselleştirilmiş öğrenme planları, sınavlar veya sohbet içerikleri ve öğrencilerin becerilerine ve gelişimlerine dayalı %100 kişiselleştirme ile öğrencilere günlük öğrenme zorluklarında rehberlik ediyor.
Uygulamayı Google Play Store ve Apple App Store'dan indirebilirsiniz.
Knowunity uygulaması ücretsiz! Uygulamamız çok yakında indirmeye hazır olacak, bekle bizi. 💙
1
Akıllı Araçlar YENİ
Bu notu şunlara dönüştür: ✓ 50+ Alıştırma Sorusu ✓ Etkileşimli Flash Kartları ✓ Tam Deneme Sınavı ✓ Kompozisyon Taslakları
App Store
Google Play
Uygulama çok kolay kullanılıyor ve güzel tasarlanmış. Şu ana kadar aradığım her şeyi buldum ve sunumlardan çok şey öğrendim! Kesinlikle ödevlerim için hep kullanacağım!
A.S.
iOS kullanıcısı
Uygulama çok iyi. Çok fazla ders notu ve yardımlaşma var. Örneğin benim problem yaşadığım bir ders Geometriydi ve ANINDA yardım ettiler beraber hem sorularımı çözdük hem konu anlatımı buldum. Herkese tavsiye ederim.
S.L.
Android kullanıcısı
BEN ŞOK. Reklamını sık sık gördüğüm için uygulamayı denedim ve gerçekten hayran kaldım. Bu uygulama okul için tam ihtiyacım olan şey. Anında ödev yardımı, konu anlatımı, örnek sınavlar, flaşkartlar hepsi hepsi var, şiddetle tavsiye ederim ✅
A.
iOS kullanıcısı
Knowunity'yi keşfedinceye kadar ödevlerimi zamanında tamamlamakta zorlanıyordum, Knowunity sadece kendi ders notlarımı yüklemeyi kolaylaştırmakla kalmıyor, aynı zamanda çalışmamı daha hızlı ve verimli hale getiren harika özetler de sunuyor.
Thomas R
iOS kullanıcısı
Ödevlerim için önemli bilgilerin tümünü bulmak her zaman bir zorluktu - Knowunity'yi kullanmaya başladığımdan beri, ders notlarımı kolayca yükleyebilir ve başkalarının özetlerinden faydalanabilirim, bu da organizasyon konusunda bana çok yardımcı oluyor.
Lisa M
Android kullanıcısı
Ders çalışırken genellikle yeterince genel bakışa sahip olmadığımı hissederdim, ama Knowunity'yi kullanmaya başladığımdan beri bu artık sorun değil - ders notlarımı yüklüyorum ve platformda her zaman yardımcı özetler buluyorum, bu da öğrenmemi çok daha kolaylaştırıyor.
David K
iOS kullanıcısı
Uygulama acayip iyi! Konuyu yazıyorum hemen yanıt alıyorum. Bi şeyi anlamak için 10 tane youtube videosu izlemem gerekmiyor. Kesssinlikle tavsiye ederim!
Sudenaz Ocak
Android kullanıcısı
Matematikte baya kötüydüm ama bu uygulama sayesinde şimdi daha iyiyim. Uygulamayı yapanlara için çok teşekkürler!
G.B.
Android kullanıcısı
Sunumlarım için tüm bilgileri toplamak gerçekten zordu. Ama Knowunity'yi kullanmaya başladığımdan beri, notlarımı yüklüyorum ve başkalarından harika özetler buluyorum - bu da çalışmamı çok daha verimli hale getiriyor!
Julia S
Android kullanıcısı
Tüm çalışma materyalleriyle sürekli stres altındaydım, ama Knowunity'yi kullanmaya başladığımdan beri, notlarımı yüklüyor ve başkalarının harika özetlerine bakıyorum - her şeyi daha iyi yönetmemi sağlıyor ve çok daha az stresli.
Marco B
iOS kullanıcısı
QUİZLER VE FLASHCARDLAR ÇOK FAYDALI VE Knowunity AI'I ÇOK SEVİYORUM. AYRICA TAM OLARAK CHATGPT GİBİ AMA DAHA AKILLI!! RİMEL SORUNLARIMDA DA YARDIM ETTİ!! GERÇEK DERSLERİMDE DE TABII Kİ! DUHHH 😍😁😲🤑💗✨🎀😮
Sarah L
Android kullanıcısı
Eskiden okul materyallerini Google'da aramakla saatler harcardım, ama şimdi sadece notlarımı Knowunity'ye yüklüyorum ve başkalarının faydalı özetlerine bakıyorum - sınavlara hazırlanırken kendimi çok daha güvende hissediyorum.
Paul T
iOS kullanıcısı
Uygulama çok kolay kullanılıyor ve güzel tasarlanmış. Şu ana kadar aradığım her şeyi buldum ve sunumlardan çok şey öğrendim! Kesinlikle ödevlerim için hep kullanacağım!
A.S.
iOS kullanıcısı
Uygulama çok iyi. Çok fazla ders notu ve yardımlaşma var. Örneğin benim problem yaşadığım bir ders Geometriydi ve ANINDA yardım ettiler beraber hem sorularımı çözdük hem konu anlatımı buldum. Herkese tavsiye ederim.
S.L.
Android kullanıcısı
BEN ŞOK. Reklamını sık sık gördüğüm için uygulamayı denedim ve gerçekten hayran kaldım. Bu uygulama okul için tam ihtiyacım olan şey. Anında ödev yardımı, konu anlatımı, örnek sınavlar, flaşkartlar hepsi hepsi var, şiddetle tavsiye ederim ✅
A.
iOS kullanıcısı
Knowunity'yi keşfedinceye kadar ödevlerimi zamanında tamamlamakta zorlanıyordum, Knowunity sadece kendi ders notlarımı yüklemeyi kolaylaştırmakla kalmıyor, aynı zamanda çalışmamı daha hızlı ve verimli hale getiren harika özetler de sunuyor.
Thomas R
iOS kullanıcısı
Ödevlerim için önemli bilgilerin tümünü bulmak her zaman bir zorluktu - Knowunity'yi kullanmaya başladığımdan beri, ders notlarımı kolayca yükleyebilir ve başkalarının özetlerinden faydalanabilirim, bu da organizasyon konusunda bana çok yardımcı oluyor.
Lisa M
Android kullanıcısı
Ders çalışırken genellikle yeterince genel bakışa sahip olmadığımı hissederdim, ama Knowunity'yi kullanmaya başladığımdan beri bu artık sorun değil - ders notlarımı yüklüyorum ve platformda her zaman yardımcı özetler buluyorum, bu da öğrenmemi çok daha kolaylaştırıyor.
David K
iOS kullanıcısı
Uygulama acayip iyi! Konuyu yazıyorum hemen yanıt alıyorum. Bi şeyi anlamak için 10 tane youtube videosu izlemem gerekmiyor. Kesssinlikle tavsiye ederim!
Sudenaz Ocak
Android kullanıcısı
Matematikte baya kötüydüm ama bu uygulama sayesinde şimdi daha iyiyim. Uygulamayı yapanlara için çok teşekkürler!
G.B.
Android kullanıcısı
Sunumlarım için tüm bilgileri toplamak gerçekten zordu. Ama Knowunity'yi kullanmaya başladığımdan beri, notlarımı yüklüyorum ve başkalarından harika özetler buluyorum - bu da çalışmamı çok daha verimli hale getiriyor!
Julia S
Android kullanıcısı
Tüm çalışma materyalleriyle sürekli stres altındaydım, ama Knowunity'yi kullanmaya başladığımdan beri, notlarımı yüklüyor ve başkalarının harika özetlerine bakıyorum - her şeyi daha iyi yönetmemi sağlıyor ve çok daha az stresli.
Marco B
iOS kullanıcısı
QUİZLER VE FLASHCARDLAR ÇOK FAYDALI VE Knowunity AI'I ÇOK SEVİYORUM. AYRICA TAM OLARAK CHATGPT GİBİ AMA DAHA AKILLI!! RİMEL SORUNLARIMDA DA YARDIM ETTİ!! GERÇEK DERSLERİMDE DE TABII Kİ! DUHHH 😍😁😲🤑💗✨🎀😮
Sarah L
Android kullanıcısı
Eskiden okul materyallerini Google'da aramakla saatler harcardım, ama şimdi sadece notlarımı Knowunity'ye yüklüyorum ve başkalarının faydalı özetlerine bakıyorum - sınavlara hazırlanırken kendimi çok daha güvende hissediyorum.
Paul T
iOS kullanıcısı