- sınıf Türk Dili ve Edebiyatı dersi 1. dönem sınavında karşına... Daha fazla göster
Ders notlarını görmek için kaydolÜcretsiz!
Tüm belgeleri görebilirsin
Notlarını Yükselt
Milyonlarca öğrenciye katıl
Knowunity AI
Daha fazla
Dersler
Triangle Congruence and Similarity Theorems
Triangle Properties and Classification
Linear Equations and Graphs
Geometric Angle Relationships
Trigonometric Functions and Identities
Equation Solving Techniques
Circle Geometry Fundamentals
Division Operations and Methods
Basic Differentiation Rules
Exponent and Logarithm Properties
Tüm konuları göster
Human Organ Systems
Reproductive Cell Cycles
Biological Sciences Subdisciplines
Cellular Energy Metabolism
Autotrophic Energy Processes
Inheritance Patterns and Principles
Biomolecular Structure and Organization
Cell Cycle and Division Mechanics
Cellular Organization and Development
Biological Structural Organization
Tüm konuları göster
Chemical Sciences and Applications
Atomic Structure and Composition
Molecular Electron Structure Representation
Atomic Electron Behavior
Matter Properties and Water
Mole Concept and Calculations
Gas Laws and Behavior
Periodic Table Organization
Chemical Thermodynamics Fundamentals
Chemical Bond Types and Properties
Tüm konuları göster
European Renaissance and Enlightenment
European Cultural Movements 800-1920
American Revolution Era 1763-1797
American Civil War 1861-1865
Global Imperial Systems
Mongol and Chinese Dynasties
U.S. Presidents and World Leaders
Historical Sources and Documentation
World Wars Era and Impact
World Religious Systems
Tüm konuları göster
Classic and Contemporary Novels
Literary Character Analysis
Rhetorical Theory and Practice
Classic Literary Narratives
Reading Analysis and Interpretation
Narrative Structure and Techniques
English Language Components
Influential English-Language Authors
Basic Sentence Structure
Narrative Voice and Perspective
Tüm konuları göster
481
•
Güncellendi May 19, 2026
•
Said
@said_999ff








Artık çoktan seçmeli sorularla uğraşmayacaksın! 9. sınıf Türk Dili ve Edebiyatı sınavları tamamen açık uçlu ve kısa cevaplı sorulardan oluşuyor. Bu da senin düşüncelerini daha özgürce ifade edebileceğin anlamına geliyor.
Sınavlarda eşleştirme, doğru/yanlış gibi soru türleri kesinlikle çıkmayacak. Bunun yerine metinleri anlayıp yorumlaman, kendi cümlelerinde açıklaman isteniyor.
Öğrenme çıktıları sadece öğretmenlerin rehberlik etmesi için verilmiş - sınav kağıdında bu kodları görmeyeceksin. Sen sadece soruları okuyup cevaplamaya odaklan.
💡 İpucu: Açık uçlu sorularda tam puan alabilmek için örneklerle desteklediğin, detaylı cevaplar vermeye alış!

İlk soru türünde karşında bilimsel metin analizi var. İsmet Özel'in metninde hayvanların müzik zevkleri, renk algıları gibi konular işlenmiş. Bu tür sorularda metnin hangi bilim dalından yararlandığını bulmak gerekiyor.
Metinde kedilerin ney sesinden, kaplanların keman sesinden hoşlanması, köpeklerin farklı müzik türlerine tepkileri anlatılıyor. Böceklerin renk seçimi de bahsedilen konular arasında.
Çözüm stratejin: Metinde geçen konuları tespit et, hangi bilim dalıyla ilgili olduğunu düşün. Sonra metinden somut örnekler vererek cevabını destekle.
💡 İpucu: Bu tip sorularda genellikle zooloji, botanik, psikoloji gibi bilim dalları sorgulanır. Metindeki ipuçlarını takip et!

Cemal Süreya'nın "Fotoğraf" şiirinde açık ileti ve örtük ileti ayrımını yapman isteniyor. Bu oldukça önemli bir beceri çünkü şiirin derinliklerini anlaman gerekiyor.
Açık ileti: Şiirde doğrudan söylenen, açıkça belirtilen anlamlar. "Durakta üç kişi" gibi somut ifadeler buraya girer.
Örtük ileti: Şiirin satır aralarında gizli olan, ima edilen anlamlar. "Güzel anılar gibi hüzünlü, hüzünlü şarkılar gibi güzel" gibi çelişkili ifadeler hayatın karmaşıklığını ima ediyor.
💡 İpucu: Örtük iletileri bulurken şairin kelime seçimlerine, zıtlıklara ve ima edilen duygulara dikkat et!

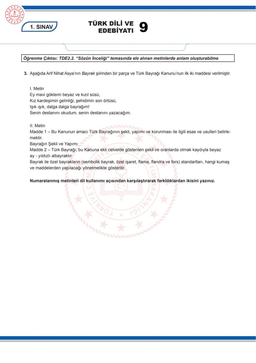
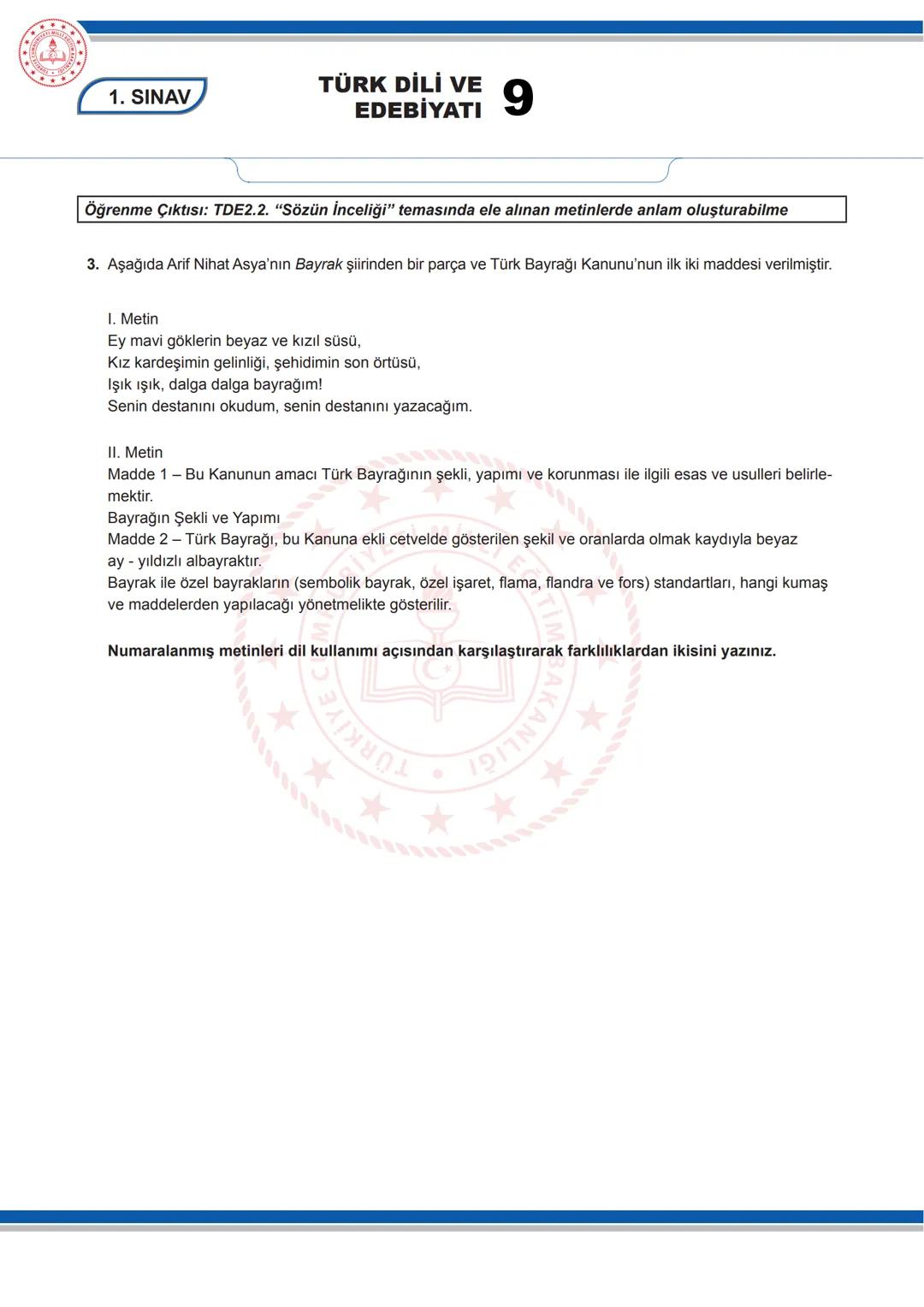
Bu soruda edebî metin ile resmî metin arasındaki dil farklarını tespit etmen isteniyor. Arif Nihat Asya'nın şiiri ile Türk Bayrağı Kanunu'nu karşılaştırıyorsun.
Edebî metinde: Mecazlı anlatım, duygusal dil, "Ey mavi göklerin beyaz ve kızıl süsü" gibi sanatlı ifadeler var. Kişisel ve duygusal yaklaşım hâkim.
Resmî metinde: Nesnel, açık, kesin ifadeler kullanılmış. "Bu Kanunun amacı..." gibi doğrudan, sade bir dil var.
Temel farklar: Dil seviyesi, üslup, amaç, hitap tarzı gibi başlıklardan ikisini seçip açıklayabilirsin.
💡 İpucu: Bu tür karşılaştırmalarda sadece farkı belirtmekle kalma, her iki metinden örnek de ver!

Turgut Uyar'ın şiirinde duygu analizi ve imge inceleme yapman isteniyor. Bu sorular genellikle iki bölümden oluşuyor.
a) Duygu tespiti: "Sevda, veda, yareli yüreğimde" ifadelerinden hüzün ve özlem duygularının hâkim olduğunu anlayabilirsin. "Ağlayıp ağlayıp avunsam" dizesi de bunu destekliyor.
b) İmge analizi: "İki tel kumral saç" imgesi sevgiliye olan özlemi somutlaştırıyor. "Dağ dağ üstüne" tekrarı da acının büyüklüğünü vurguluyor.
İmgelerin şiirin genel anlamına nasıl katkıda bulunduğunu da açıklaman önemli. Her imge duyguyu güçlendirme amacı taşıyor.
💡 İpucu: İmge sorularında sadece imgeyi bulmakla kalma, şiirin anlamına etkisini mutlaka açıkla!

Tanpınar'ın metninde metin türü analizi yapman isteniyor. Bu biraz karmaşık görünse de sistematik yaklaşırsan kolay.
Gerçeklik boyutu: Ankara Kalesi'ne çıkma, arkadaşla sohbet etme gibi yaşanmış olaylar var. Ama "zaman denizlerinde yüzme" gibi hayali ifadeler de mevcut.
Öznellik-Nesnellik: Yazar kişisel gözlemlerini, duygularını aktarıyor. "Gözümün önünde", "hazırlanıyordum" gibi ifadeler öznelliği gösteriyor.
Yazılış amacı: Bu analiz sonucunda metnin kişisel gözlem ve deneyim paylaşma amacıyla yazıldığını söyleyebilirsin.
💡 İpucu: Bu tip sorularda metnin türünü (anı, gezi yazısı vs.) belirlemen de cevabını güçlendirir!

Son soru yazma becerini ölçüyor. Necip Fazıl'ın şiirinden hareketle betimleyici paragraf yazman isteniyor.
Yazma kriterlerin: Anlatım biçimi, içerik, söz varlığı, akıcılık, yazım ve noktalama kuralları. Bu beş kriterde de başarılı olman gerekiyor.
Şiirdeki "sonbahar", "ihtiyar", "gözyaşı" gibi ögeleri kullanarak kendi betimlemeni yapabilirsin. Kendi gözlemlerini de ekleyebilirsin.
Stratejin: Önce şiirdeki ana unsurları belirle, sonra bunları kendi cümlelerinle zenginleştir. Duyulara hitap eden ifadeler kullan.
💡 İpucu: Betimlemede görsel, işitsel, dokunsal detayları kullanman metnini daha etkili kılacak!
Yapay zeka arkadaşımız öğrencilerin ihtiyaçlarına göre özel olarak tasarlanmıştır. Platformda bulunan milyonlarca içeriğe dayanarak öğrencilere gerçekten anlamlı ve ilgili yanıtlar verebiliyoruz. Ancak mesele sadece cevaplar değil, refakatçi aynı zamanda kişiselleştirilmiş öğrenme planları, sınavlar veya sohbet içerikleri ve öğrencilerin becerilerine ve gelişimlerine dayalı %100 kişiselleştirme ile öğrencilere günlük öğrenme zorluklarında rehberlik ediyor.
Uygulamayı Google Play Store ve Apple App Store'dan indirebilirsiniz.
Knowunity uygulaması ücretsiz! Uygulamamız çok yakında indirmeye hazır olacak, bekle bizi. 💙
App Store
Google Play
Uygulama çok kolay kullanılıyor ve güzel tasarlanmış. Şu ana kadar aradığım her şeyi buldum ve sunumlardan çok şey öğrendim! Kesinlikle ödevlerim için hep kullanacağım!
A.S.
iOS kullanıcısı
Uygulama çok iyi. Çok fazla ders notu ve yardımlaşma var. Örneğin benim problem yaşadığım bir ders Geometriydi ve ANINDA yardım ettiler beraber hem sorularımı çözdük hem konu anlatımı buldum. Herkese tavsiye ederim.
S.L.
Android kullanıcısı
BEN ŞOK. Reklamını sık sık gördüğüm için uygulamayı denedim ve gerçekten hayran kaldım. Bu uygulama okul için tam ihtiyacım olan şey. Anında ödev yardımı, konu anlatımı, örnek sınavlar, flaşkartlar hepsi hepsi var, şiddetle tavsiye ederim ✅
A.
iOS kullanıcısı
Knowunity'yi keşfedinceye kadar ödevlerimi zamanında tamamlamakta zorlanıyordum, Knowunity sadece kendi ders notlarımı yüklemeyi kolaylaştırmakla kalmıyor, aynı zamanda çalışmamı daha hızlı ve verimli hale getiren harika özetler de sunuyor.
Thomas R
iOS kullanıcısı
Ödevlerim için önemli bilgilerin tümünü bulmak her zaman bir zorluktu - Knowunity'yi kullanmaya başladığımdan beri, ders notlarımı kolayca yükleyebilir ve başkalarının özetlerinden faydalanabilirim, bu da organizasyon konusunda bana çok yardımcı oluyor.
Lisa M
Android kullanıcısı
Ders çalışırken genellikle yeterince genel bakışa sahip olmadığımı hissederdim, ama Knowunity'yi kullanmaya başladığımdan beri bu artık sorun değil - ders notlarımı yüklüyorum ve platformda her zaman yardımcı özetler buluyorum, bu da öğrenmemi çok daha kolaylaştırıyor.
David K
iOS kullanıcısı
Uygulama acayip iyi! Konuyu yazıyorum hemen yanıt alıyorum. Bi şeyi anlamak için 10 tane youtube videosu izlemem gerekmiyor. Kesssinlikle tavsiye ederim!
Sudenaz Ocak
Android kullanıcısı
Matematikte baya kötüydüm ama bu uygulama sayesinde şimdi daha iyiyim. Uygulamayı yapanlara için çok teşekkürler!
G.B.
Android kullanıcısı
Sunumlarım için tüm bilgileri toplamak gerçekten zordu. Ama Knowunity'yi kullanmaya başladığımdan beri, notlarımı yüklüyorum ve başkalarından harika özetler buluyorum - bu da çalışmamı çok daha verimli hale getiriyor!
Julia S
Android kullanıcısı
Tüm çalışma materyalleriyle sürekli stres altındaydım, ama Knowunity'yi kullanmaya başladığımdan beri, notlarımı yüklüyor ve başkalarının harika özetlerine bakıyorum - her şeyi daha iyi yönetmemi sağlıyor ve çok daha az stresli.
Marco B
iOS kullanıcısı
QUİZLER VE FLASHCARDLAR ÇOK FAYDALI VE Knowunity AI'I ÇOK SEVİYORUM. AYRICA TAM OLARAK CHATGPT GİBİ AMA DAHA AKILLI!! RİMEL SORUNLARIMDA DA YARDIM ETTİ!! GERÇEK DERSLERİMDE DE TABII Kİ! DUHHH 😍😁😲🤑💗✨🎀😮
Sarah L
Android kullanıcısı
Eskiden okul materyallerini Google'da aramakla saatler harcardım, ama şimdi sadece notlarımı Knowunity'ye yüklüyorum ve başkalarının faydalı özetlerine bakıyorum - sınavlara hazırlanırken kendimi çok daha güvende hissediyorum.
Paul T
iOS kullanıcısı
Uygulama çok kolay kullanılıyor ve güzel tasarlanmış. Şu ana kadar aradığım her şeyi buldum ve sunumlardan çok şey öğrendim! Kesinlikle ödevlerim için hep kullanacağım!
A.S.
iOS kullanıcısı
Uygulama çok iyi. Çok fazla ders notu ve yardımlaşma var. Örneğin benim problem yaşadığım bir ders Geometriydi ve ANINDA yardım ettiler beraber hem sorularımı çözdük hem konu anlatımı buldum. Herkese tavsiye ederim.
S.L.
Android kullanıcısı
BEN ŞOK. Reklamını sık sık gördüğüm için uygulamayı denedim ve gerçekten hayran kaldım. Bu uygulama okul için tam ihtiyacım olan şey. Anında ödev yardımı, konu anlatımı, örnek sınavlar, flaşkartlar hepsi hepsi var, şiddetle tavsiye ederim ✅
A.
iOS kullanıcısı
Knowunity'yi keşfedinceye kadar ödevlerimi zamanında tamamlamakta zorlanıyordum, Knowunity sadece kendi ders notlarımı yüklemeyi kolaylaştırmakla kalmıyor, aynı zamanda çalışmamı daha hızlı ve verimli hale getiren harika özetler de sunuyor.
Thomas R
iOS kullanıcısı
Ödevlerim için önemli bilgilerin tümünü bulmak her zaman bir zorluktu - Knowunity'yi kullanmaya başladığımdan beri, ders notlarımı kolayca yükleyebilir ve başkalarının özetlerinden faydalanabilirim, bu da organizasyon konusunda bana çok yardımcı oluyor.
Lisa M
Android kullanıcısı
Ders çalışırken genellikle yeterince genel bakışa sahip olmadığımı hissederdim, ama Knowunity'yi kullanmaya başladığımdan beri bu artık sorun değil - ders notlarımı yüklüyorum ve platformda her zaman yardımcı özetler buluyorum, bu da öğrenmemi çok daha kolaylaştırıyor.
David K
iOS kullanıcısı
Uygulama acayip iyi! Konuyu yazıyorum hemen yanıt alıyorum. Bi şeyi anlamak için 10 tane youtube videosu izlemem gerekmiyor. Kesssinlikle tavsiye ederim!
Sudenaz Ocak
Android kullanıcısı
Matematikte baya kötüydüm ama bu uygulama sayesinde şimdi daha iyiyim. Uygulamayı yapanlara için çok teşekkürler!
G.B.
Android kullanıcısı
Sunumlarım için tüm bilgileri toplamak gerçekten zordu. Ama Knowunity'yi kullanmaya başladığımdan beri, notlarımı yüklüyorum ve başkalarından harika özetler buluyorum - bu da çalışmamı çok daha verimli hale getiriyor!
Julia S
Android kullanıcısı
Tüm çalışma materyalleriyle sürekli stres altındaydım, ama Knowunity'yi kullanmaya başladığımdan beri, notlarımı yüklüyor ve başkalarının harika özetlerine bakıyorum - her şeyi daha iyi yönetmemi sağlıyor ve çok daha az stresli.
Marco B
iOS kullanıcısı
QUİZLER VE FLASHCARDLAR ÇOK FAYDALI VE Knowunity AI'I ÇOK SEVİYORUM. AYRICA TAM OLARAK CHATGPT GİBİ AMA DAHA AKILLI!! RİMEL SORUNLARIMDA DA YARDIM ETTİ!! GERÇEK DERSLERİMDE DE TABII Kİ! DUHHH 😍😁😲🤑💗✨🎀😮
Sarah L
Android kullanıcısı
Eskiden okul materyallerini Google'da aramakla saatler harcardım, ama şimdi sadece notlarımı Knowunity'ye yüklüyorum ve başkalarının faydalı özetlerine bakıyorum - sınavlara hazırlanırken kendimi çok daha güvende hissediyorum.
Paul T
iOS kullanıcısı
Said
@said_999ff

Tüm belgeleri görebilirsin
Notlarını Yükselt
Milyonlarca öğrenciye katıl
Artık çoktan seçmeli sorularla uğraşmayacaksın! 9. sınıf Türk Dili ve Edebiyatı sınavları tamamen açık uçlu ve kısa cevaplı sorulardan oluşuyor. Bu da senin düşüncelerini daha özgürce ifade edebileceğin anlamına geliyor.
Sınavlarda eşleştirme, doğru/yanlış gibi soru türleri kesinlikle çıkmayacak. Bunun yerine metinleri anlayıp yorumlaman, kendi cümlelerinde açıklaman isteniyor.
Öğrenme çıktıları sadece öğretmenlerin rehberlik etmesi için verilmiş - sınav kağıdında bu kodları görmeyeceksin. Sen sadece soruları okuyup cevaplamaya odaklan.
💡 İpucu: Açık uçlu sorularda tam puan alabilmek için örneklerle desteklediğin, detaylı cevaplar vermeye alış!

Tüm belgeleri görebilirsin
Notlarını Yükselt
Milyonlarca öğrenciye katıl
İlk soru türünde karşında bilimsel metin analizi var. İsmet Özel'in metninde hayvanların müzik zevkleri, renk algıları gibi konular işlenmiş. Bu tür sorularda metnin hangi bilim dalından yararlandığını bulmak gerekiyor.
Metinde kedilerin ney sesinden, kaplanların keman sesinden hoşlanması, köpeklerin farklı müzik türlerine tepkileri anlatılıyor. Böceklerin renk seçimi de bahsedilen konular arasında.
Çözüm stratejin: Metinde geçen konuları tespit et, hangi bilim dalıyla ilgili olduğunu düşün. Sonra metinden somut örnekler vererek cevabını destekle.
💡 İpucu: Bu tip sorularda genellikle zooloji, botanik, psikoloji gibi bilim dalları sorgulanır. Metindeki ipuçlarını takip et!

Tüm belgeleri görebilirsin
Notlarını Yükselt
Milyonlarca öğrenciye katıl
Cemal Süreya'nın "Fotoğraf" şiirinde açık ileti ve örtük ileti ayrımını yapman isteniyor. Bu oldukça önemli bir beceri çünkü şiirin derinliklerini anlaman gerekiyor.
Açık ileti: Şiirde doğrudan söylenen, açıkça belirtilen anlamlar. "Durakta üç kişi" gibi somut ifadeler buraya girer.
Örtük ileti: Şiirin satır aralarında gizli olan, ima edilen anlamlar. "Güzel anılar gibi hüzünlü, hüzünlü şarkılar gibi güzel" gibi çelişkili ifadeler hayatın karmaşıklığını ima ediyor.
💡 İpucu: Örtük iletileri bulurken şairin kelime seçimlerine, zıtlıklara ve ima edilen duygulara dikkat et!

Tüm belgeleri görebilirsin
Notlarını Yükselt
Milyonlarca öğrenciye katıl
Bu soruda edebî metin ile resmî metin arasındaki dil farklarını tespit etmen isteniyor. Arif Nihat Asya'nın şiiri ile Türk Bayrağı Kanunu'nu karşılaştırıyorsun.
Edebî metinde: Mecazlı anlatım, duygusal dil, "Ey mavi göklerin beyaz ve kızıl süsü" gibi sanatlı ifadeler var. Kişisel ve duygusal yaklaşım hâkim.
Resmî metinde: Nesnel, açık, kesin ifadeler kullanılmış. "Bu Kanunun amacı..." gibi doğrudan, sade bir dil var.
Temel farklar: Dil seviyesi, üslup, amaç, hitap tarzı gibi başlıklardan ikisini seçip açıklayabilirsin.
💡 İpucu: Bu tür karşılaştırmalarda sadece farkı belirtmekle kalma, her iki metinden örnek de ver!

Tüm belgeleri görebilirsin
Notlarını Yükselt
Milyonlarca öğrenciye katıl
Turgut Uyar'ın şiirinde duygu analizi ve imge inceleme yapman isteniyor. Bu sorular genellikle iki bölümden oluşuyor.
a) Duygu tespiti: "Sevda, veda, yareli yüreğimde" ifadelerinden hüzün ve özlem duygularının hâkim olduğunu anlayabilirsin. "Ağlayıp ağlayıp avunsam" dizesi de bunu destekliyor.
b) İmge analizi: "İki tel kumral saç" imgesi sevgiliye olan özlemi somutlaştırıyor. "Dağ dağ üstüne" tekrarı da acının büyüklüğünü vurguluyor.
İmgelerin şiirin genel anlamına nasıl katkıda bulunduğunu da açıklaman önemli. Her imge duyguyu güçlendirme amacı taşıyor.
💡 İpucu: İmge sorularında sadece imgeyi bulmakla kalma, şiirin anlamına etkisini mutlaka açıkla!

Tüm belgeleri görebilirsin
Notlarını Yükselt
Milyonlarca öğrenciye katıl
Tanpınar'ın metninde metin türü analizi yapman isteniyor. Bu biraz karmaşık görünse de sistematik yaklaşırsan kolay.
Gerçeklik boyutu: Ankara Kalesi'ne çıkma, arkadaşla sohbet etme gibi yaşanmış olaylar var. Ama "zaman denizlerinde yüzme" gibi hayali ifadeler de mevcut.
Öznellik-Nesnellik: Yazar kişisel gözlemlerini, duygularını aktarıyor. "Gözümün önünde", "hazırlanıyordum" gibi ifadeler öznelliği gösteriyor.
Yazılış amacı: Bu analiz sonucunda metnin kişisel gözlem ve deneyim paylaşma amacıyla yazıldığını söyleyebilirsin.
💡 İpucu: Bu tip sorularda metnin türünü (anı, gezi yazısı vs.) belirlemen de cevabını güçlendirir!

Tüm belgeleri görebilirsin
Notlarını Yükselt
Milyonlarca öğrenciye katıl
Son soru yazma becerini ölçüyor. Necip Fazıl'ın şiirinden hareketle betimleyici paragraf yazman isteniyor.
Yazma kriterlerin: Anlatım biçimi, içerik, söz varlığı, akıcılık, yazım ve noktalama kuralları. Bu beş kriterde de başarılı olman gerekiyor.
Şiirdeki "sonbahar", "ihtiyar", "gözyaşı" gibi ögeleri kullanarak kendi betimlemeni yapabilirsin. Kendi gözlemlerini de ekleyebilirsin.
Stratejin: Önce şiirdeki ana unsurları belirle, sonra bunları kendi cümlelerinle zenginleştir. Duyulara hitap eden ifadeler kullan.
💡 İpucu: Betimlemede görsel, işitsel, dokunsal detayları kullanman metnini daha etkili kılacak!
Yapay zeka arkadaşımız öğrencilerin ihtiyaçlarına göre özel olarak tasarlanmıştır. Platformda bulunan milyonlarca içeriğe dayanarak öğrencilere gerçekten anlamlı ve ilgili yanıtlar verebiliyoruz. Ancak mesele sadece cevaplar değil, refakatçi aynı zamanda kişiselleştirilmiş öğrenme planları, sınavlar veya sohbet içerikleri ve öğrencilerin becerilerine ve gelişimlerine dayalı %100 kişiselleştirme ile öğrencilere günlük öğrenme zorluklarında rehberlik ediyor.
Uygulamayı Google Play Store ve Apple App Store'dan indirebilirsiniz.
Knowunity uygulaması ücretsiz! Uygulamamız çok yakında indirmeye hazır olacak, bekle bizi. 💙
2
Akıllı Araçlar YENİ
Bu notu şunlara dönüştür: ✓ 50+ Alıştırma Sorusu ✓ Etkileşimli Flash Kartları ✓ Tam Deneme Sınavı ✓ Kompozisyon Taslakları
App Store
Google Play
Uygulama çok kolay kullanılıyor ve güzel tasarlanmış. Şu ana kadar aradığım her şeyi buldum ve sunumlardan çok şey öğrendim! Kesinlikle ödevlerim için hep kullanacağım!
A.S.
iOS kullanıcısı
Uygulama çok iyi. Çok fazla ders notu ve yardımlaşma var. Örneğin benim problem yaşadığım bir ders Geometriydi ve ANINDA yardım ettiler beraber hem sorularımı çözdük hem konu anlatımı buldum. Herkese tavsiye ederim.
S.L.
Android kullanıcısı
BEN ŞOK. Reklamını sık sık gördüğüm için uygulamayı denedim ve gerçekten hayran kaldım. Bu uygulama okul için tam ihtiyacım olan şey. Anında ödev yardımı, konu anlatımı, örnek sınavlar, flaşkartlar hepsi hepsi var, şiddetle tavsiye ederim ✅
A.
iOS kullanıcısı
Knowunity'yi keşfedinceye kadar ödevlerimi zamanında tamamlamakta zorlanıyordum, Knowunity sadece kendi ders notlarımı yüklemeyi kolaylaştırmakla kalmıyor, aynı zamanda çalışmamı daha hızlı ve verimli hale getiren harika özetler de sunuyor.
Thomas R
iOS kullanıcısı
Ödevlerim için önemli bilgilerin tümünü bulmak her zaman bir zorluktu - Knowunity'yi kullanmaya başladığımdan beri, ders notlarımı kolayca yükleyebilir ve başkalarının özetlerinden faydalanabilirim, bu da organizasyon konusunda bana çok yardımcı oluyor.
Lisa M
Android kullanıcısı
Ders çalışırken genellikle yeterince genel bakışa sahip olmadığımı hissederdim, ama Knowunity'yi kullanmaya başladığımdan beri bu artık sorun değil - ders notlarımı yüklüyorum ve platformda her zaman yardımcı özetler buluyorum, bu da öğrenmemi çok daha kolaylaştırıyor.
David K
iOS kullanıcısı
Uygulama acayip iyi! Konuyu yazıyorum hemen yanıt alıyorum. Bi şeyi anlamak için 10 tane youtube videosu izlemem gerekmiyor. Kesssinlikle tavsiye ederim!
Sudenaz Ocak
Android kullanıcısı
Matematikte baya kötüydüm ama bu uygulama sayesinde şimdi daha iyiyim. Uygulamayı yapanlara için çok teşekkürler!
G.B.
Android kullanıcısı
Sunumlarım için tüm bilgileri toplamak gerçekten zordu. Ama Knowunity'yi kullanmaya başladığımdan beri, notlarımı yüklüyorum ve başkalarından harika özetler buluyorum - bu da çalışmamı çok daha verimli hale getiriyor!
Julia S
Android kullanıcısı
Tüm çalışma materyalleriyle sürekli stres altındaydım, ama Knowunity'yi kullanmaya başladığımdan beri, notlarımı yüklüyor ve başkalarının harika özetlerine bakıyorum - her şeyi daha iyi yönetmemi sağlıyor ve çok daha az stresli.
Marco B
iOS kullanıcısı
QUİZLER VE FLASHCARDLAR ÇOK FAYDALI VE Knowunity AI'I ÇOK SEVİYORUM. AYRICA TAM OLARAK CHATGPT GİBİ AMA DAHA AKILLI!! RİMEL SORUNLARIMDA DA YARDIM ETTİ!! GERÇEK DERSLERİMDE DE TABII Kİ! DUHHH 😍😁😲🤑💗✨🎀😮
Sarah L
Android kullanıcısı
Eskiden okul materyallerini Google'da aramakla saatler harcardım, ama şimdi sadece notlarımı Knowunity'ye yüklüyorum ve başkalarının faydalı özetlerine bakıyorum - sınavlara hazırlanırken kendimi çok daha güvende hissediyorum.
Paul T
iOS kullanıcısı
Uygulama çok kolay kullanılıyor ve güzel tasarlanmış. Şu ana kadar aradığım her şeyi buldum ve sunumlardan çok şey öğrendim! Kesinlikle ödevlerim için hep kullanacağım!
A.S.
iOS kullanıcısı
Uygulama çok iyi. Çok fazla ders notu ve yardımlaşma var. Örneğin benim problem yaşadığım bir ders Geometriydi ve ANINDA yardım ettiler beraber hem sorularımı çözdük hem konu anlatımı buldum. Herkese tavsiye ederim.
S.L.
Android kullanıcısı
BEN ŞOK. Reklamını sık sık gördüğüm için uygulamayı denedim ve gerçekten hayran kaldım. Bu uygulama okul için tam ihtiyacım olan şey. Anında ödev yardımı, konu anlatımı, örnek sınavlar, flaşkartlar hepsi hepsi var, şiddetle tavsiye ederim ✅
A.
iOS kullanıcısı
Knowunity'yi keşfedinceye kadar ödevlerimi zamanında tamamlamakta zorlanıyordum, Knowunity sadece kendi ders notlarımı yüklemeyi kolaylaştırmakla kalmıyor, aynı zamanda çalışmamı daha hızlı ve verimli hale getiren harika özetler de sunuyor.
Thomas R
iOS kullanıcısı
Ödevlerim için önemli bilgilerin tümünü bulmak her zaman bir zorluktu - Knowunity'yi kullanmaya başladığımdan beri, ders notlarımı kolayca yükleyebilir ve başkalarının özetlerinden faydalanabilirim, bu da organizasyon konusunda bana çok yardımcı oluyor.
Lisa M
Android kullanıcısı
Ders çalışırken genellikle yeterince genel bakışa sahip olmadığımı hissederdim, ama Knowunity'yi kullanmaya başladığımdan beri bu artık sorun değil - ders notlarımı yüklüyorum ve platformda her zaman yardımcı özetler buluyorum, bu da öğrenmemi çok daha kolaylaştırıyor.
David K
iOS kullanıcısı
Uygulama acayip iyi! Konuyu yazıyorum hemen yanıt alıyorum. Bi şeyi anlamak için 10 tane youtube videosu izlemem gerekmiyor. Kesssinlikle tavsiye ederim!
Sudenaz Ocak
Android kullanıcısı
Matematikte baya kötüydüm ama bu uygulama sayesinde şimdi daha iyiyim. Uygulamayı yapanlara için çok teşekkürler!
G.B.
Android kullanıcısı
Sunumlarım için tüm bilgileri toplamak gerçekten zordu. Ama Knowunity'yi kullanmaya başladığımdan beri, notlarımı yüklüyorum ve başkalarından harika özetler buluyorum - bu da çalışmamı çok daha verimli hale getiriyor!
Julia S
Android kullanıcısı
Tüm çalışma materyalleriyle sürekli stres altındaydım, ama Knowunity'yi kullanmaya başladığımdan beri, notlarımı yüklüyor ve başkalarının harika özetlerine bakıyorum - her şeyi daha iyi yönetmemi sağlıyor ve çok daha az stresli.
Marco B
iOS kullanıcısı
QUİZLER VE FLASHCARDLAR ÇOK FAYDALI VE Knowunity AI'I ÇOK SEVİYORUM. AYRICA TAM OLARAK CHATGPT GİBİ AMA DAHA AKILLI!! RİMEL SORUNLARIMDA DA YARDIM ETTİ!! GERÇEK DERSLERİMDE DE TABII Kİ! DUHHH 😍😁😲🤑💗✨🎀😮
Sarah L
Android kullanıcısı
Eskiden okul materyallerini Google'da aramakla saatler harcardım, ama şimdi sadece notlarımı Knowunity'ye yüklüyorum ve başkalarının faydalı özetlerine bakıyorum - sınavlara hazırlanırken kendimi çok daha güvende hissediyorum.
Paul T
iOS kullanıcısı