Üslü sayılar matematikteki en temel ve işe yarar konulardan biri!... Daha fazla göster
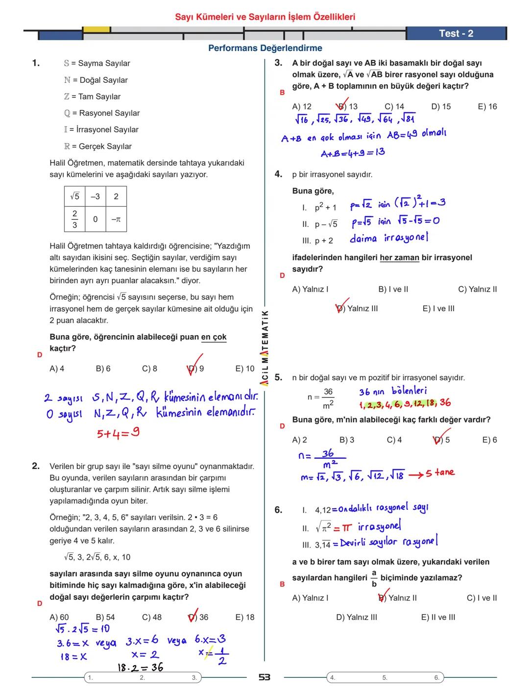
Ders notlarını görmek için kaydolÜcretsiz!
Tüm belgeleri görebilirsin
Notlarını Yükselt
Milyonlarca öğrenciye katıl
Knowunity AI
Daha fazla
Dersler
Triangle Congruence and Similarity Theorems
Triangle Properties and Classification
Linear Equations and Graphs
Geometric Angle Relationships
Trigonometric Functions and Identities
Equation Solving Techniques
Circle Geometry Fundamentals
Division Operations and Methods
Basic Differentiation Rules
Exponent and Logarithm Properties
Tüm konuları göster
Human Organ Systems
Reproductive Cell Cycles
Biological Sciences Subdisciplines
Cellular Energy Metabolism
Autotrophic Energy Processes
Inheritance Patterns and Principles
Biomolecular Structure and Organization
Cell Cycle and Division Mechanics
Cellular Organization and Development
Biological Structural Organization
Tüm konuları göster
Chemical Sciences and Applications
Atomic Structure and Composition
Molecular Electron Structure Representation
Atomic Electron Behavior
Matter Properties and Water
Mole Concept and Calculations
Gas Laws and Behavior
Periodic Table Organization
Chemical Thermodynamics Fundamentals
Chemical Bond Types and Properties
Tüm konuları göster
European Renaissance and Enlightenment
European Cultural Movements 800-1920
American Revolution Era 1763-1797
American Civil War 1861-1865
Global Imperial Systems
Mongol and Chinese Dynasties
U.S. Presidents and World Leaders
Historical Sources and Documentation
World Wars Era and Impact
World Religious Systems
Tüm konuları göster
Classic and Contemporary Novels
Literary Character Analysis
Rhetorical Theory and Practice
Classic Literary Narratives
Reading Analysis and Interpretation
Narrative Structure and Techniques
English Language Components
Influential English-Language Authors
Basic Sentence Structure
Narrative Voice and Perspective
Tüm konuları göster
49
•
Güncellendi Mar 17, 2026
•
Mustafa Yılmaz
@mustafayl_zfrqs
Üslü sayılar matematikteki en temel ve işe yarar konulardan biri!... Daha fazla göster



































































Üslü sayılar aslında tekrar eden çarpmaları kısaltmanın akıllıca bir yolu. ifadesi, a sayısının n kere kendisiyle çarpılması demek. Mesela $5^4 = 5 × 5 × 5 × 5$.
Negatif sayıların üsleri biraz dikkat istiyor. Üs çift ise sonuç her zaman pozitif çıkar: . Ama üs tek ise sonuç negatif kalır: . Bu kuralla çok karşılaşacaksın!
Özel durumlar var ki bunları ezberlemelisin. Sıfırdan farklı herhangi bir sayının sıfırıncı kuvveti her zaman 1'dir: $7^0 = 1$. Negatif üsler ise kesir anlamına gelir: $2^{-3} = \frac{1}{2^3} = \frac{1}{8}$.
sayısının üsleri çok pratik: tek üslerde -1, çift üslerde +1 çıkar. Bu bilgi çoktan seçmelilerde işini hızlandırır!
İpucu: Üslü sayı hesaplarında önce işaretle, sonra sayıyla uğraş. Böylece hata yapma ihtimalin azalır.

Toplama-çıkarma için taban ve üslerin aynı olması şart. Öyle olduğunda ortak çarpan parantezine al: $3×5^6 + 4×5^6 = (3+4)×5^6 = 7×5^6$. Farklı tabanları veya üsleri olan sayıları toplayamazsın!
Çarpma işlemleri çok daha esnek. İki farklı durum var: Tabanlar aynıysa üsleri topla $2^3 × 2^5 = 2^8$, üsler aynıysa tabanları çarp $3^4 × 5^4 = 15^4$.
Karışık çarpmalarda önce sayıları uygun şekle getir. Mesela $32^8^8 = 2^{40}$. Bu tür dönüştürmeleri gördükten sonra işlemler çok kolaylaşır.
Pratik taktik: Büyük sayıları küçük tabanlara dönüştürmeye çalış. $81 = 3^416 = 2^425 = 5^2$ gibi bilinen eşitlikleri hatırla.
Not: Çarpma kuralları toplama kurallarından çok daha sık kullanılır. Bu yüzden çarpma kurallarını iyice pekiştir!

Aynı tabanlı sayıları çarparken üsleri toplamaya devam et: $5^x × 5^y = 5^{x+y}$. Bu kural değişkenli ifadelerde çok işe yarıyor.
Değişkenli problemlerde verilenleri iyi analiz et. $2^x = a4^x = ^x = ^2 = a^2$ olur. Bu mantıkla daha karmaşık ifadeleri çözebilirsin.
Eşitlik problemlerinde her iki tarafı da aynı tabana dönüştürmeye çalış. $45^x = 6^x = 2×3$ şeklinde ayırarak çözebilirsin.
Kesirli tabanlar da önemli. gibi. Negatif üs kesri tersine çevirir, bunu unutma!
Hızlı çözüm: Karmaşık görünen problemlerde önce tüm sayıları asal çarpanlarına ayır. Sonra işlemler çok basitleşecek.

Aynı tabanlı bölmelerde üsleri çıkar: . Bu çarpmanın tam tersi bir işlem.
Aynı üslü bölmelerde tabanları böl: . Bu kural çok pratik, özellikle ondalıklı sayılarda işe yarıyor.
Karışık bölmelerde önce çarpma-bölmeyi yap, sonra toplama-çıkarmaya geç. gibi ifadelerde ortak çarpanları dışarı at.
Negatif üslü ifadelerde dikkatli ol. ama olur. İşaret takibini doğru yap!
Dikkat: Bölme işlemlerinde taban sıfır olamaz. Bu durumu her zaman kontrol et!

Küçük sayılar için virgülü sağa kaydırdığın kadar negatif üs kullan: $0,0025 = 2,5 × 10^{-3}$. Virgül kaç basamak kaydıysa o kadar negatif üs.
Büyük sayılar için virgülü sola kaydırdığın kadar pozitif üs kullan: $45000 = 4,5 × 10^4$. Bu astronomide ve fizikste çok kullanılır.
Bilimsel gösterimde ilk rakam 1-9 arası olmalı. $1,5 × 10^815 × 10^7$ yanlış yazım. Her zaman bu kurala uy.
İşlem yaparken üsleri ayrı, sayıları ayrı hesapla. $2 × 10^3 × 3 × 10^4 = 6 × 10^7$ gibi.
Gerçek hayat: Bilimsel gösterim özellikle teknoloji, tıp ve mühendislikte hayat kurtarır. Nanometre, mikrogram gibi birimleri rahatça ifade edersin.

Geometrik artış problemleri üslü sayıların en güzel kullanım alanı. Her adımda 2,5 kat artan nüfus, her turda yarısı elenen yarışmacılar gibi durumlar.
Büyük çarpımları hesaplarken sayıları asal çarpanlarına ayır. $81 × 27 × 263^4 × 3^3 × 2 × 13$ şeklinde yazarak kolayca hesapla.
Alan ve hacim problemlerinde üslü ifadeler sıkça karşılaşır. $3 × 2^318 × 3^2$ boyu olan dikdörtgenin alanını hesaplarken çarpanları gruplandır.
Mesafe problemlerinde ondalıklı ifadeleri üslü şekle çevir. $0,05 × 10^{-2} = 5 × 10^{-4}$ gibi dönüştürmeler hızını artırır.
Strateji: Gerçek hayat problemlerinde önce hangi sayıları üslü forma çevirebileceğini belirle. Bu sana büyük zaman kazandırır.

Kesirli ifadelerde pay ve paydayı ayrı ayrı hesapla. gibi ifadelerde önce paydaki kesri düzelt, sonra sadeleştir.
Denklem problemlerinde verileni işine yarayacak şekle getir. $2^{1-n} = 62^n = \frac{1}{3}$ bulup diğer ifadelerde kullan.
Üstel eşitliklerde her iki tarafı da aynı tabana indirmeye çalış. $20^{x-1} = 5^{x+1}20 = 4 × 5$ ayrımını kullan.
Çoklu seçenekli sorularda sayıları küçük tabanlara çevir. $216^2 = ^2 = 6^6$ gibi dönüştürmeler yapabilirsin mi kontrol et.
Test taktiği: Karmaşık görünen ifadelerde önce basit örneklerle mantığı kavra, sonra asıl problemi çöz.

Negatif üslü karışık ifadelerde işaret takibini dikkatli yap. ile ün farklı işaretlerde olduğunu unutma.
Orantı problemlerinde verilen değerleri doğru yorumla. Dart tahtasındaki puanları karşılaştırırken ortak paydaya getir.
Geometrik şekillerde kenar uzunlukları üslü sayı olarak verildiğinde, önce bunları hesapla sonra alan/çevre bul.
Kağıt boyutu gibi pratik problemlerde her katlamada boyutun yarıya indiğini unutma. , , gibi.
Zaman yönetimi: Test sorularında uzun hesaplardan kaçın. Çoğu sorunun kısa yolu mutlaka vardır.

Sembol sorularında verilen kuralı doğru uygula. n kenarlı şekil anlamına geliyorsa, bu bilgiyi denklem kurarken kullan.
Kağıt boyutları gibi standart problemlerde her seviyede boyutun yarıya indiğini hatırla. Bu bilgi birçok soruda işine yarayacak.
Karmaşık kesirli ifadelerde pay ve paydadaki ortak çarpanları bul. gibi sorularda $3^3$'ü ortak çarpan al.
Merdiven boyama gibi yaratıcı problemlerde hangi sayıların ortak olduğunu bul. $2^a4^b4 = 2^2$ olduğunu kullan.
Problem çözme: Alışılmışın dışındaki sorularda panik yapma. Verilen bilgileri adım adım işle, çözüm kendiliğinden gelecek.

Dikdörtgen problemlerinde kısa ve uzun kenarı doğru belirle. ve $2^5$ gibi ifadeleri önce hesapla, sonra çevre/alan bul.
Doğal sayı koşullu problemlerde hangi x değerleri için sonucun tam sayı olduğunu bul. $120×^x$ gibi ifadelerde 5'in üssünü kontrol et.
Çok adımlı hesaplamalarda ara sonuçları not al. Uzun ifadelerde kaybolmamak için her adımı temiz yaz.
Merdivendeki ortak basamakları bulurken $2^a = 4^b4 = 2^2$ olduğu için bazı değerler çakışır.
Final tavsiye: Üslü sayılar pratiğe dayalı bir konu. Ne kadar çok soru çözersen, o kadar hızlı ve doğru hesaplama yaparsın!
























































Yapay zeka arkadaşımız öğrencilerin ihtiyaçlarına göre özel olarak tasarlanmıştır. Platformda bulunan milyonlarca içeriğe dayanarak öğrencilere gerçekten anlamlı ve ilgili yanıtlar verebiliyoruz. Ancak mesele sadece cevaplar değil, refakatçi aynı zamanda kişiselleştirilmiş öğrenme planları, sınavlar veya sohbet içerikleri ve öğrencilerin becerilerine ve gelişimlerine dayalı %100 kişiselleştirme ile öğrencilere günlük öğrenme zorluklarında rehberlik ediyor.
Uygulamayı Google Play Store ve Apple App Store'dan indirebilirsiniz.
Knowunity uygulaması ücretsiz! Uygulamamız çok yakında indirmeye hazır olacak, bekle bizi. 💙
Tyt Matematik Kavram Haritası özet
App Store
Google Play
Uygulama çok kolay kullanılıyor ve güzel tasarlanmış. Şu ana kadar aradığım her şeyi buldum ve sunumlardan çok şey öğrendim! Kesinlikle ödevlerim için hep kullanacağım!
A.S.
iOS kullanıcısı
Uygulama çok iyi. Çok fazla ders notu ve yardımlaşma var. Örneğin benim problem yaşadığım bir ders Geometriydi ve ANINDA yardım ettiler beraber hem sorularımı çözdük hem konu anlatımı buldum. Herkese tavsiye ederim.
S.L.
Android kullanıcısı
BEN ŞOK. Reklamını sık sık gördüğüm için uygulamayı denedim ve gerçekten hayran kaldım. Bu uygulama okul için tam ihtiyacım olan şey. Anında ödev yardımı, konu anlatımı, örnek sınavlar, flaşkartlar hepsi hepsi var, şiddetle tavsiye ederim ✅
A.
iOS kullanıcısı
Knowunity'yi keşfedinceye kadar ödevlerimi zamanında tamamlamakta zorlanıyordum, Knowunity sadece kendi ders notlarımı yüklemeyi kolaylaştırmakla kalmıyor, aynı zamanda çalışmamı daha hızlı ve verimli hale getiren harika özetler de sunuyor.
Thomas R
iOS kullanıcısı
Ödevlerim için önemli bilgilerin tümünü bulmak her zaman bir zorluktu - Knowunity'yi kullanmaya başladığımdan beri, ders notlarımı kolayca yükleyebilir ve başkalarının özetlerinden faydalanabilirim, bu da organizasyon konusunda bana çok yardımcı oluyor.
Lisa M
Android kullanıcısı
Ders çalışırken genellikle yeterince genel bakışa sahip olmadığımı hissederdim, ama Knowunity'yi kullanmaya başladığımdan beri bu artık sorun değil - ders notlarımı yüklüyorum ve platformda her zaman yardımcı özetler buluyorum, bu da öğrenmemi çok daha kolaylaştırıyor.
David K
iOS kullanıcısı
Uygulama acayip iyi! Konuyu yazıyorum hemen yanıt alıyorum. Bi şeyi anlamak için 10 tane youtube videosu izlemem gerekmiyor. Kesssinlikle tavsiye ederim!
Sudenaz Ocak
Android kullanıcısı
Matematikte baya kötüydüm ama bu uygulama sayesinde şimdi daha iyiyim. Uygulamayı yapanlara için çok teşekkürler!
G.B.
Android kullanıcısı
Sunumlarım için tüm bilgileri toplamak gerçekten zordu. Ama Knowunity'yi kullanmaya başladığımdan beri, notlarımı yüklüyorum ve başkalarından harika özetler buluyorum - bu da çalışmamı çok daha verimli hale getiriyor!
Julia S
Android kullanıcısı
Tüm çalışma materyalleriyle sürekli stres altındaydım, ama Knowunity'yi kullanmaya başladığımdan beri, notlarımı yüklüyor ve başkalarının harika özetlerine bakıyorum - her şeyi daha iyi yönetmemi sağlıyor ve çok daha az stresli.
Marco B
iOS kullanıcısı
QUİZLER VE FLASHCARDLAR ÇOK FAYDALI VE Knowunity AI'I ÇOK SEVİYORUM. AYRICA TAM OLARAK CHATGPT GİBİ AMA DAHA AKILLI!! RİMEL SORUNLARIMDA DA YARDIM ETTİ!! GERÇEK DERSLERİMDE DE TABII Kİ! DUHHH 😍😁😲🤑💗✨🎀😮
Sarah L
Android kullanıcısı
Eskiden okul materyallerini Google'da aramakla saatler harcardım, ama şimdi sadece notlarımı Knowunity'ye yüklüyorum ve başkalarının faydalı özetlerine bakıyorum - sınavlara hazırlanırken kendimi çok daha güvende hissediyorum.
Paul T
iOS kullanıcısı
Uygulama çok kolay kullanılıyor ve güzel tasarlanmış. Şu ana kadar aradığım her şeyi buldum ve sunumlardan çok şey öğrendim! Kesinlikle ödevlerim için hep kullanacağım!
A.S.
iOS kullanıcısı
Uygulama çok iyi. Çok fazla ders notu ve yardımlaşma var. Örneğin benim problem yaşadığım bir ders Geometriydi ve ANINDA yardım ettiler beraber hem sorularımı çözdük hem konu anlatımı buldum. Herkese tavsiye ederim.
S.L.
Android kullanıcısı
BEN ŞOK. Reklamını sık sık gördüğüm için uygulamayı denedim ve gerçekten hayran kaldım. Bu uygulama okul için tam ihtiyacım olan şey. Anında ödev yardımı, konu anlatımı, örnek sınavlar, flaşkartlar hepsi hepsi var, şiddetle tavsiye ederim ✅
A.
iOS kullanıcısı
Knowunity'yi keşfedinceye kadar ödevlerimi zamanında tamamlamakta zorlanıyordum, Knowunity sadece kendi ders notlarımı yüklemeyi kolaylaştırmakla kalmıyor, aynı zamanda çalışmamı daha hızlı ve verimli hale getiren harika özetler de sunuyor.
Thomas R
iOS kullanıcısı
Ödevlerim için önemli bilgilerin tümünü bulmak her zaman bir zorluktu - Knowunity'yi kullanmaya başladığımdan beri, ders notlarımı kolayca yükleyebilir ve başkalarının özetlerinden faydalanabilirim, bu da organizasyon konusunda bana çok yardımcı oluyor.
Lisa M
Android kullanıcısı
Ders çalışırken genellikle yeterince genel bakışa sahip olmadığımı hissederdim, ama Knowunity'yi kullanmaya başladığımdan beri bu artık sorun değil - ders notlarımı yüklüyorum ve platformda her zaman yardımcı özetler buluyorum, bu da öğrenmemi çok daha kolaylaştırıyor.
David K
iOS kullanıcısı
Uygulama acayip iyi! Konuyu yazıyorum hemen yanıt alıyorum. Bi şeyi anlamak için 10 tane youtube videosu izlemem gerekmiyor. Kesssinlikle tavsiye ederim!
Sudenaz Ocak
Android kullanıcısı
Matematikte baya kötüydüm ama bu uygulama sayesinde şimdi daha iyiyim. Uygulamayı yapanlara için çok teşekkürler!
G.B.
Android kullanıcısı
Sunumlarım için tüm bilgileri toplamak gerçekten zordu. Ama Knowunity'yi kullanmaya başladığımdan beri, notlarımı yüklüyorum ve başkalarından harika özetler buluyorum - bu da çalışmamı çok daha verimli hale getiriyor!
Julia S
Android kullanıcısı
Tüm çalışma materyalleriyle sürekli stres altındaydım, ama Knowunity'yi kullanmaya başladığımdan beri, notlarımı yüklüyor ve başkalarının harika özetlerine bakıyorum - her şeyi daha iyi yönetmemi sağlıyor ve çok daha az stresli.
Marco B
iOS kullanıcısı
QUİZLER VE FLASHCARDLAR ÇOK FAYDALI VE Knowunity AI'I ÇOK SEVİYORUM. AYRICA TAM OLARAK CHATGPT GİBİ AMA DAHA AKILLI!! RİMEL SORUNLARIMDA DA YARDIM ETTİ!! GERÇEK DERSLERİMDE DE TABII Kİ! DUHHH 😍😁😲🤑💗✨🎀😮
Sarah L
Android kullanıcısı
Eskiden okul materyallerini Google'da aramakla saatler harcardım, ama şimdi sadece notlarımı Knowunity'ye yüklüyorum ve başkalarının faydalı özetlerine bakıyorum - sınavlara hazırlanırken kendimi çok daha güvende hissediyorum.
Paul T
iOS kullanıcısı
Mustafa Yılmaz
@mustafayl_zfrqs
Üslü sayılar matematikteki en temel ve işe yarar konulardan biri! Büyük sayıları küçültmek, küçük sayıları büyütmek ve karmaşık hesaplamaları basitleştirmek için sürekli kullanıyoruz. Bu konuyu öğrendikten sonra bilimsel hesap makinelerini daha rahat kullanabilecek ve ilerideki matematik konularında çok daha güçlü... Daha fazla göster

Tüm belgeleri görebilirsin
Notlarını Yükselt
Milyonlarca öğrenciye katıl
Üslü sayılar aslında tekrar eden çarpmaları kısaltmanın akıllıca bir yolu. ifadesi, a sayısının n kere kendisiyle çarpılması demek. Mesela $5^4 = 5 × 5 × 5 × 5$.
Negatif sayıların üsleri biraz dikkat istiyor. Üs çift ise sonuç her zaman pozitif çıkar: . Ama üs tek ise sonuç negatif kalır: . Bu kuralla çok karşılaşacaksın!
Özel durumlar var ki bunları ezberlemelisin. Sıfırdan farklı herhangi bir sayının sıfırıncı kuvveti her zaman 1'dir: $7^0 = 1$. Negatif üsler ise kesir anlamına gelir: $2^{-3} = \frac{1}{2^3} = \frac{1}{8}$.
sayısının üsleri çok pratik: tek üslerde -1, çift üslerde +1 çıkar. Bu bilgi çoktan seçmelilerde işini hızlandırır!
İpucu: Üslü sayı hesaplarında önce işaretle, sonra sayıyla uğraş. Böylece hata yapma ihtimalin azalır.

Tüm belgeleri görebilirsin
Notlarını Yükselt
Milyonlarca öğrenciye katıl
Toplama-çıkarma için taban ve üslerin aynı olması şart. Öyle olduğunda ortak çarpan parantezine al: $3×5^6 + 4×5^6 = (3+4)×5^6 = 7×5^6$. Farklı tabanları veya üsleri olan sayıları toplayamazsın!
Çarpma işlemleri çok daha esnek. İki farklı durum var: Tabanlar aynıysa üsleri topla $2^3 × 2^5 = 2^8$, üsler aynıysa tabanları çarp $3^4 × 5^4 = 15^4$.
Karışık çarpmalarda önce sayıları uygun şekle getir. Mesela $32^8^8 = 2^{40}$. Bu tür dönüştürmeleri gördükten sonra işlemler çok kolaylaşır.
Pratik taktik: Büyük sayıları küçük tabanlara dönüştürmeye çalış. $81 = 3^416 = 2^425 = 5^2$ gibi bilinen eşitlikleri hatırla.
Not: Çarpma kuralları toplama kurallarından çok daha sık kullanılır. Bu yüzden çarpma kurallarını iyice pekiştir!

Tüm belgeleri görebilirsin
Notlarını Yükselt
Milyonlarca öğrenciye katıl
Aynı tabanlı sayıları çarparken üsleri toplamaya devam et: $5^x × 5^y = 5^{x+y}$. Bu kural değişkenli ifadelerde çok işe yarıyor.
Değişkenli problemlerde verilenleri iyi analiz et. $2^x = a4^x = ^x = ^2 = a^2$ olur. Bu mantıkla daha karmaşık ifadeleri çözebilirsin.
Eşitlik problemlerinde her iki tarafı da aynı tabana dönüştürmeye çalış. $45^x = 6^x = 2×3$ şeklinde ayırarak çözebilirsin.
Kesirli tabanlar da önemli. gibi. Negatif üs kesri tersine çevirir, bunu unutma!
Hızlı çözüm: Karmaşık görünen problemlerde önce tüm sayıları asal çarpanlarına ayır. Sonra işlemler çok basitleşecek.

Tüm belgeleri görebilirsin
Notlarını Yükselt
Milyonlarca öğrenciye katıl
Aynı tabanlı bölmelerde üsleri çıkar: . Bu çarpmanın tam tersi bir işlem.
Aynı üslü bölmelerde tabanları böl: . Bu kural çok pratik, özellikle ondalıklı sayılarda işe yarıyor.
Karışık bölmelerde önce çarpma-bölmeyi yap, sonra toplama-çıkarmaya geç. gibi ifadelerde ortak çarpanları dışarı at.
Negatif üslü ifadelerde dikkatli ol. ama olur. İşaret takibini doğru yap!
Dikkat: Bölme işlemlerinde taban sıfır olamaz. Bu durumu her zaman kontrol et!

Tüm belgeleri görebilirsin
Notlarını Yükselt
Milyonlarca öğrenciye katıl
Küçük sayılar için virgülü sağa kaydırdığın kadar negatif üs kullan: $0,0025 = 2,5 × 10^{-3}$. Virgül kaç basamak kaydıysa o kadar negatif üs.
Büyük sayılar için virgülü sola kaydırdığın kadar pozitif üs kullan: $45000 = 4,5 × 10^4$. Bu astronomide ve fizikste çok kullanılır.
Bilimsel gösterimde ilk rakam 1-9 arası olmalı. $1,5 × 10^815 × 10^7$ yanlış yazım. Her zaman bu kurala uy.
İşlem yaparken üsleri ayrı, sayıları ayrı hesapla. $2 × 10^3 × 3 × 10^4 = 6 × 10^7$ gibi.
Gerçek hayat: Bilimsel gösterim özellikle teknoloji, tıp ve mühendislikte hayat kurtarır. Nanometre, mikrogram gibi birimleri rahatça ifade edersin.

Tüm belgeleri görebilirsin
Notlarını Yükselt
Milyonlarca öğrenciye katıl
Geometrik artış problemleri üslü sayıların en güzel kullanım alanı. Her adımda 2,5 kat artan nüfus, her turda yarısı elenen yarışmacılar gibi durumlar.
Büyük çarpımları hesaplarken sayıları asal çarpanlarına ayır. $81 × 27 × 263^4 × 3^3 × 2 × 13$ şeklinde yazarak kolayca hesapla.
Alan ve hacim problemlerinde üslü ifadeler sıkça karşılaşır. $3 × 2^318 × 3^2$ boyu olan dikdörtgenin alanını hesaplarken çarpanları gruplandır.
Mesafe problemlerinde ondalıklı ifadeleri üslü şekle çevir. $0,05 × 10^{-2} = 5 × 10^{-4}$ gibi dönüştürmeler hızını artırır.
Strateji: Gerçek hayat problemlerinde önce hangi sayıları üslü forma çevirebileceğini belirle. Bu sana büyük zaman kazandırır.

Tüm belgeleri görebilirsin
Notlarını Yükselt
Milyonlarca öğrenciye katıl
Kesirli ifadelerde pay ve paydayı ayrı ayrı hesapla. gibi ifadelerde önce paydaki kesri düzelt, sonra sadeleştir.
Denklem problemlerinde verileni işine yarayacak şekle getir. $2^{1-n} = 62^n = \frac{1}{3}$ bulup diğer ifadelerde kullan.
Üstel eşitliklerde her iki tarafı da aynı tabana indirmeye çalış. $20^{x-1} = 5^{x+1}20 = 4 × 5$ ayrımını kullan.
Çoklu seçenekli sorularda sayıları küçük tabanlara çevir. $216^2 = ^2 = 6^6$ gibi dönüştürmeler yapabilirsin mi kontrol et.
Test taktiği: Karmaşık görünen ifadelerde önce basit örneklerle mantığı kavra, sonra asıl problemi çöz.

Tüm belgeleri görebilirsin
Notlarını Yükselt
Milyonlarca öğrenciye katıl
Negatif üslü karışık ifadelerde işaret takibini dikkatli yap. ile ün farklı işaretlerde olduğunu unutma.
Orantı problemlerinde verilen değerleri doğru yorumla. Dart tahtasındaki puanları karşılaştırırken ortak paydaya getir.
Geometrik şekillerde kenar uzunlukları üslü sayı olarak verildiğinde, önce bunları hesapla sonra alan/çevre bul.
Kağıt boyutu gibi pratik problemlerde her katlamada boyutun yarıya indiğini unutma. , , gibi.
Zaman yönetimi: Test sorularında uzun hesaplardan kaçın. Çoğu sorunun kısa yolu mutlaka vardır.

Tüm belgeleri görebilirsin
Notlarını Yükselt
Milyonlarca öğrenciye katıl
Sembol sorularında verilen kuralı doğru uygula. n kenarlı şekil anlamına geliyorsa, bu bilgiyi denklem kurarken kullan.
Kağıt boyutları gibi standart problemlerde her seviyede boyutun yarıya indiğini hatırla. Bu bilgi birçok soruda işine yarayacak.
Karmaşık kesirli ifadelerde pay ve paydadaki ortak çarpanları bul. gibi sorularda $3^3$'ü ortak çarpan al.
Merdiven boyama gibi yaratıcı problemlerde hangi sayıların ortak olduğunu bul. $2^a4^b4 = 2^2$ olduğunu kullan.
Problem çözme: Alışılmışın dışındaki sorularda panik yapma. Verilen bilgileri adım adım işle, çözüm kendiliğinden gelecek.

Tüm belgeleri görebilirsin
Notlarını Yükselt
Milyonlarca öğrenciye katıl
Dikdörtgen problemlerinde kısa ve uzun kenarı doğru belirle. ve $2^5$ gibi ifadeleri önce hesapla, sonra çevre/alan bul.
Doğal sayı koşullu problemlerde hangi x değerleri için sonucun tam sayı olduğunu bul. $120×^x$ gibi ifadelerde 5'in üssünü kontrol et.
Çok adımlı hesaplamalarda ara sonuçları not al. Uzun ifadelerde kaybolmamak için her adımı temiz yaz.
Merdivendeki ortak basamakları bulurken $2^a = 4^b4 = 2^2$ olduğu için bazı değerler çakışır.
Final tavsiye: Üslü sayılar pratiğe dayalı bir konu. Ne kadar çok soru çözersen, o kadar hızlı ve doğru hesaplama yaparsın!

Tüm belgeleri görebilirsin
Notlarını Yükselt
Milyonlarca öğrenciye katıl

Tüm belgeleri görebilirsin
Notlarını Yükselt
Milyonlarca öğrenciye katıl

Tüm belgeleri görebilirsin
Notlarını Yükselt
Milyonlarca öğrenciye katıl

Tüm belgeleri görebilirsin
Notlarını Yükselt
Milyonlarca öğrenciye katıl

Tüm belgeleri görebilirsin
Notlarını Yükselt
Milyonlarca öğrenciye katıl

Tüm belgeleri görebilirsin
Notlarını Yükselt
Milyonlarca öğrenciye katıl

Tüm belgeleri görebilirsin
Notlarını Yükselt
Milyonlarca öğrenciye katıl

Tüm belgeleri görebilirsin
Notlarını Yükselt
Milyonlarca öğrenciye katıl

Tüm belgeleri görebilirsin
Notlarını Yükselt
Milyonlarca öğrenciye katıl

Tüm belgeleri görebilirsin
Notlarını Yükselt
Milyonlarca öğrenciye katıl

Tüm belgeleri görebilirsin
Notlarını Yükselt
Milyonlarca öğrenciye katıl

Tüm belgeleri görebilirsin
Notlarını Yükselt
Milyonlarca öğrenciye katıl

Tüm belgeleri görebilirsin
Notlarını Yükselt
Milyonlarca öğrenciye katıl

Tüm belgeleri görebilirsin
Notlarını Yükselt
Milyonlarca öğrenciye katıl

Tüm belgeleri görebilirsin
Notlarını Yükselt
Milyonlarca öğrenciye katıl

Tüm belgeleri görebilirsin
Notlarını Yükselt
Milyonlarca öğrenciye katıl

Tüm belgeleri görebilirsin
Notlarını Yükselt
Milyonlarca öğrenciye katıl

Tüm belgeleri görebilirsin
Notlarını Yükselt
Milyonlarca öğrenciye katıl

Tüm belgeleri görebilirsin
Notlarını Yükselt
Milyonlarca öğrenciye katıl

Tüm belgeleri görebilirsin
Notlarını Yükselt
Milyonlarca öğrenciye katıl

Tüm belgeleri görebilirsin
Notlarını Yükselt
Milyonlarca öğrenciye katıl

Tüm belgeleri görebilirsin
Notlarını Yükselt
Milyonlarca öğrenciye katıl

Tüm belgeleri görebilirsin
Notlarını Yükselt
Milyonlarca öğrenciye katıl

Tüm belgeleri görebilirsin
Notlarını Yükselt
Milyonlarca öğrenciye katıl

Tüm belgeleri görebilirsin
Notlarını Yükselt
Milyonlarca öğrenciye katıl

Tüm belgeleri görebilirsin
Notlarını Yükselt
Milyonlarca öğrenciye katıl

Tüm belgeleri görebilirsin
Notlarını Yükselt
Milyonlarca öğrenciye katıl

Tüm belgeleri görebilirsin
Notlarını Yükselt
Milyonlarca öğrenciye katıl

Tüm belgeleri görebilirsin
Notlarını Yükselt
Milyonlarca öğrenciye katıl

Tüm belgeleri görebilirsin
Notlarını Yükselt
Milyonlarca öğrenciye katıl

Tüm belgeleri görebilirsin
Notlarını Yükselt
Milyonlarca öğrenciye katıl

Tüm belgeleri görebilirsin
Notlarını Yükselt
Milyonlarca öğrenciye katıl

Tüm belgeleri görebilirsin
Notlarını Yükselt
Milyonlarca öğrenciye katıl

Tüm belgeleri görebilirsin
Notlarını Yükselt
Milyonlarca öğrenciye katıl

Tüm belgeleri görebilirsin
Notlarını Yükselt
Milyonlarca öğrenciye katıl

Tüm belgeleri görebilirsin
Notlarını Yükselt
Milyonlarca öğrenciye katıl

Tüm belgeleri görebilirsin
Notlarını Yükselt
Milyonlarca öğrenciye katıl

Tüm belgeleri görebilirsin
Notlarını Yükselt
Milyonlarca öğrenciye katıl

Tüm belgeleri görebilirsin
Notlarını Yükselt
Milyonlarca öğrenciye katıl

Tüm belgeleri görebilirsin
Notlarını Yükselt
Milyonlarca öğrenciye katıl

Tüm belgeleri görebilirsin
Notlarını Yükselt
Milyonlarca öğrenciye katıl

Tüm belgeleri görebilirsin
Notlarını Yükselt
Milyonlarca öğrenciye katıl

Tüm belgeleri görebilirsin
Notlarını Yükselt
Milyonlarca öğrenciye katıl

Tüm belgeleri görebilirsin
Notlarını Yükselt
Milyonlarca öğrenciye katıl

Tüm belgeleri görebilirsin
Notlarını Yükselt
Milyonlarca öğrenciye katıl

Tüm belgeleri görebilirsin
Notlarını Yükselt
Milyonlarca öğrenciye katıl

Tüm belgeleri görebilirsin
Notlarını Yükselt
Milyonlarca öğrenciye katıl

Tüm belgeleri görebilirsin
Notlarını Yükselt
Milyonlarca öğrenciye katıl

Tüm belgeleri görebilirsin
Notlarını Yükselt
Milyonlarca öğrenciye katıl

Tüm belgeleri görebilirsin
Notlarını Yükselt
Milyonlarca öğrenciye katıl

Tüm belgeleri görebilirsin
Notlarını Yükselt
Milyonlarca öğrenciye katıl

Tüm belgeleri görebilirsin
Notlarını Yükselt
Milyonlarca öğrenciye katıl

Tüm belgeleri görebilirsin
Notlarını Yükselt
Milyonlarca öğrenciye katıl

Tüm belgeleri görebilirsin
Notlarını Yükselt
Milyonlarca öğrenciye katıl

Tüm belgeleri görebilirsin
Notlarını Yükselt
Milyonlarca öğrenciye katıl

Tüm belgeleri görebilirsin
Notlarını Yükselt
Milyonlarca öğrenciye katıl
Yapay zeka arkadaşımız öğrencilerin ihtiyaçlarına göre özel olarak tasarlanmıştır. Platformda bulunan milyonlarca içeriğe dayanarak öğrencilere gerçekten anlamlı ve ilgili yanıtlar verebiliyoruz. Ancak mesele sadece cevaplar değil, refakatçi aynı zamanda kişiselleştirilmiş öğrenme planları, sınavlar veya sohbet içerikleri ve öğrencilerin becerilerine ve gelişimlerine dayalı %100 kişiselleştirme ile öğrencilere günlük öğrenme zorluklarında rehberlik ediyor.
Uygulamayı Google Play Store ve Apple App Store'dan indirebilirsiniz.
Knowunity uygulaması ücretsiz! Uygulamamız çok yakında indirmeye hazır olacak, bekle bizi. 💙
1
Akıllı Araçlar YENİ
Bu notu şunlara dönüştür: ✓ 50+ Alıştırma Sorusu ✓ Etkileşimli Flash Kartları ✓ Tam Deneme Sınavı ✓ Kompozisyon Taslakları
Tyt Matematik Kavram Haritası özet
App Store
Google Play
Uygulama çok kolay kullanılıyor ve güzel tasarlanmış. Şu ana kadar aradığım her şeyi buldum ve sunumlardan çok şey öğrendim! Kesinlikle ödevlerim için hep kullanacağım!
A.S.
iOS kullanıcısı
Uygulama çok iyi. Çok fazla ders notu ve yardımlaşma var. Örneğin benim problem yaşadığım bir ders Geometriydi ve ANINDA yardım ettiler beraber hem sorularımı çözdük hem konu anlatımı buldum. Herkese tavsiye ederim.
S.L.
Android kullanıcısı
BEN ŞOK. Reklamını sık sık gördüğüm için uygulamayı denedim ve gerçekten hayran kaldım. Bu uygulama okul için tam ihtiyacım olan şey. Anında ödev yardımı, konu anlatımı, örnek sınavlar, flaşkartlar hepsi hepsi var, şiddetle tavsiye ederim ✅
A.
iOS kullanıcısı
Knowunity'yi keşfedinceye kadar ödevlerimi zamanında tamamlamakta zorlanıyordum, Knowunity sadece kendi ders notlarımı yüklemeyi kolaylaştırmakla kalmıyor, aynı zamanda çalışmamı daha hızlı ve verimli hale getiren harika özetler de sunuyor.
Thomas R
iOS kullanıcısı
Ödevlerim için önemli bilgilerin tümünü bulmak her zaman bir zorluktu - Knowunity'yi kullanmaya başladığımdan beri, ders notlarımı kolayca yükleyebilir ve başkalarının özetlerinden faydalanabilirim, bu da organizasyon konusunda bana çok yardımcı oluyor.
Lisa M
Android kullanıcısı
Ders çalışırken genellikle yeterince genel bakışa sahip olmadığımı hissederdim, ama Knowunity'yi kullanmaya başladığımdan beri bu artık sorun değil - ders notlarımı yüklüyorum ve platformda her zaman yardımcı özetler buluyorum, bu da öğrenmemi çok daha kolaylaştırıyor.
David K
iOS kullanıcısı
Uygulama acayip iyi! Konuyu yazıyorum hemen yanıt alıyorum. Bi şeyi anlamak için 10 tane youtube videosu izlemem gerekmiyor. Kesssinlikle tavsiye ederim!
Sudenaz Ocak
Android kullanıcısı
Matematikte baya kötüydüm ama bu uygulama sayesinde şimdi daha iyiyim. Uygulamayı yapanlara için çok teşekkürler!
G.B.
Android kullanıcısı
Sunumlarım için tüm bilgileri toplamak gerçekten zordu. Ama Knowunity'yi kullanmaya başladığımdan beri, notlarımı yüklüyorum ve başkalarından harika özetler buluyorum - bu da çalışmamı çok daha verimli hale getiriyor!
Julia S
Android kullanıcısı
Tüm çalışma materyalleriyle sürekli stres altındaydım, ama Knowunity'yi kullanmaya başladığımdan beri, notlarımı yüklüyor ve başkalarının harika özetlerine bakıyorum - her şeyi daha iyi yönetmemi sağlıyor ve çok daha az stresli.
Marco B
iOS kullanıcısı
QUİZLER VE FLASHCARDLAR ÇOK FAYDALI VE Knowunity AI'I ÇOK SEVİYORUM. AYRICA TAM OLARAK CHATGPT GİBİ AMA DAHA AKILLI!! RİMEL SORUNLARIMDA DA YARDIM ETTİ!! GERÇEK DERSLERİMDE DE TABII Kİ! DUHHH 😍😁😲🤑💗✨🎀😮
Sarah L
Android kullanıcısı
Eskiden okul materyallerini Google'da aramakla saatler harcardım, ama şimdi sadece notlarımı Knowunity'ye yüklüyorum ve başkalarının faydalı özetlerine bakıyorum - sınavlara hazırlanırken kendimi çok daha güvende hissediyorum.
Paul T
iOS kullanıcısı
Uygulama çok kolay kullanılıyor ve güzel tasarlanmış. Şu ana kadar aradığım her şeyi buldum ve sunumlardan çok şey öğrendim! Kesinlikle ödevlerim için hep kullanacağım!
A.S.
iOS kullanıcısı
Uygulama çok iyi. Çok fazla ders notu ve yardımlaşma var. Örneğin benim problem yaşadığım bir ders Geometriydi ve ANINDA yardım ettiler beraber hem sorularımı çözdük hem konu anlatımı buldum. Herkese tavsiye ederim.
S.L.
Android kullanıcısı
BEN ŞOK. Reklamını sık sık gördüğüm için uygulamayı denedim ve gerçekten hayran kaldım. Bu uygulama okul için tam ihtiyacım olan şey. Anında ödev yardımı, konu anlatımı, örnek sınavlar, flaşkartlar hepsi hepsi var, şiddetle tavsiye ederim ✅
A.
iOS kullanıcısı
Knowunity'yi keşfedinceye kadar ödevlerimi zamanında tamamlamakta zorlanıyordum, Knowunity sadece kendi ders notlarımı yüklemeyi kolaylaştırmakla kalmıyor, aynı zamanda çalışmamı daha hızlı ve verimli hale getiren harika özetler de sunuyor.
Thomas R
iOS kullanıcısı
Ödevlerim için önemli bilgilerin tümünü bulmak her zaman bir zorluktu - Knowunity'yi kullanmaya başladığımdan beri, ders notlarımı kolayca yükleyebilir ve başkalarının özetlerinden faydalanabilirim, bu da organizasyon konusunda bana çok yardımcı oluyor.
Lisa M
Android kullanıcısı
Ders çalışırken genellikle yeterince genel bakışa sahip olmadığımı hissederdim, ama Knowunity'yi kullanmaya başladığımdan beri bu artık sorun değil - ders notlarımı yüklüyorum ve platformda her zaman yardımcı özetler buluyorum, bu da öğrenmemi çok daha kolaylaştırıyor.
David K
iOS kullanıcısı
Uygulama acayip iyi! Konuyu yazıyorum hemen yanıt alıyorum. Bi şeyi anlamak için 10 tane youtube videosu izlemem gerekmiyor. Kesssinlikle tavsiye ederim!
Sudenaz Ocak
Android kullanıcısı
Matematikte baya kötüydüm ama bu uygulama sayesinde şimdi daha iyiyim. Uygulamayı yapanlara için çok teşekkürler!
G.B.
Android kullanıcısı
Sunumlarım için tüm bilgileri toplamak gerçekten zordu. Ama Knowunity'yi kullanmaya başladığımdan beri, notlarımı yüklüyorum ve başkalarından harika özetler buluyorum - bu da çalışmamı çok daha verimli hale getiriyor!
Julia S
Android kullanıcısı
Tüm çalışma materyalleriyle sürekli stres altındaydım, ama Knowunity'yi kullanmaya başladığımdan beri, notlarımı yüklüyor ve başkalarının harika özetlerine bakıyorum - her şeyi daha iyi yönetmemi sağlıyor ve çok daha az stresli.
Marco B
iOS kullanıcısı
QUİZLER VE FLASHCARDLAR ÇOK FAYDALI VE Knowunity AI'I ÇOK SEVİYORUM. AYRICA TAM OLARAK CHATGPT GİBİ AMA DAHA AKILLI!! RİMEL SORUNLARIMDA DA YARDIM ETTİ!! GERÇEK DERSLERİMDE DE TABII Kİ! DUHHH 😍😁😲🤑💗✨🎀😮
Sarah L
Android kullanıcısı
Eskiden okul materyallerini Google'da aramakla saatler harcardım, ama şimdi sadece notlarımı Knowunity'ye yüklüyorum ve başkalarının faydalı özetlerine bakıyorum - sınavlara hazırlanırken kendimi çok daha güvende hissediyorum.
Paul T
iOS kullanıcısı